Binary Classification
주어진 데이터를 두 개의 클래스 중 하나로 분류하는 작업
ex.
- 이메일이 스팸인지 아닌지 판단
- 고객이 상품을 구매할지 말지 예측
Logistic Classification
- 로지스틱 회귀는 이진 분류 문제를 해결하는 대표적 알고리즘
-
선형 결합: 입력 특성들의 가중치 합 계산
z=w0+w1x1+w2x2+...+wnxn
-
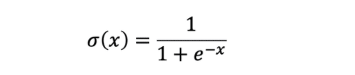
sigmoid 함수 적용: 선형 결합 결과를 함수에 대입

-
확률 해석: 함수의 출력(0~1사이의 값)을 클래스 1에 속할 확률로 해석
-
분류: 일반적으로 확률이 0.5 이상이면 클래스 1, 미만이면 클래스 0으로 분류
Cost function