https://leetcode.com/problems/serialize-and-deserialize-binary-tree/
Serialization is the process of converting a data structure or object into a sequence of bits so that it can be stored in a file or memory buffer, or transmitted across a network connection link to be reconstructed later in the same or another computer environment.
Design an algorithm to serialize and deserialize a binary tree. There is no restriction on how your serialization/deserialization algorithm should work. You just need to ensure that a binary tree can be serialized to a string and this string can be deserialized to the original tree structure.
Clarification: The input/output format is the same as how LeetCode serializes a binary tree. You do not necessarily need to follow this format, so please be creative and come up with different approaches yourself.
BFS방식으로 한 층씩 순회하며 값을 리스트에 옮긴다. 존재하지 않는 노드의 경우 None을 넣으려 하였으나, 리스트를 하나의 문자열로 join하는 과정에서 None을 처리하지 못하는 에러가 발생해 그냥 아무것도 없는 문자열을 넣어주었다('').
리스트를 문자열로 바꾸는 과정에서 값을 구별하기 위해 csv파일처럼 구분자로 콤마(,)를 넣어주었다.

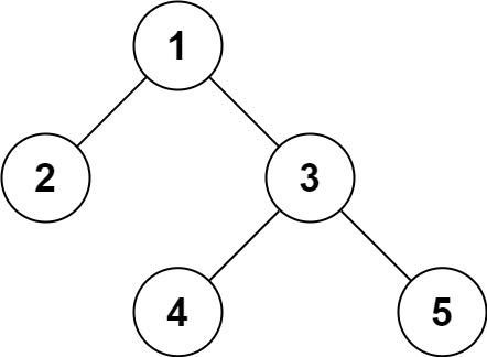
위와 같은 트리의 경우, 직렬화를 하면 '1,2,3,,,4,5'와 같은 형태로 반환된다.
def serialize(self, root):
"""Encodes a tree to a single string.
:type root: TreeNode
:rtype: str
"""
q = collections.deque()
q.append(root)
values = []
while q:
node = q.popleft()
if node:
values.append(str(node.val))
q.append(node.left)
q.append(node.right)
else:
values.append('')
return ','.join(values)
문자열을 받아오면 split()을 이용하여 콤마 단위로 분리해 다시 리스트 형태로 만들어주었다.
이 후, 완전 이진 트리 구조에서 자식 노드의 인덱스값이 부모노드의 두 배가 되는 것을 이용하여 트리를 만드려고 하였으나, 문제에서 주어진 트리는 완전 이진 트리가 아니므로 위에서 사용한 직렬화 방식으로는 인덱스의 값으로 노드의 위치를 특정할 수 없는 문제가 발생하였다.



def deserialize(self, data):
"""Decodes your encoded data to tree.
:type data: str
:rtype: TreeNode
"""
if data == '':
return None
nodes = [None if val == '' else TreeNode(int(val)) for val in data.split(',')]
kids = nodes[::-1]
root = kids.pop()
for node in nodes:
if node:
if kids:
node.left = kids.pop()
if kids:
node.right = kids.pop()
return root