https://leetcode.com/problems/longest-univalue-path/
Given the
rootof a binary tree, return the length of the longest path, where each node in the path has the same value. This path may or may not pass through the root.
The length of the path between two nodes is represented by the number of edges between them.
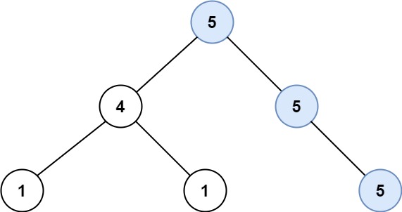
Example 1:

Input: root = [5,4,5,1,1,null,5]
Output: 2
Explanation: The shown image shows that the longest path of the same value (i.e. 5).
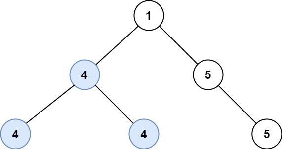
Example 2:
Input: root = [1,4,5,4,4,null,5]
Output: 2
Explanation: The shown image shows that the longest path of the same value (i.e. 4).
edges 라는 변수를 주어 부모노드와 자식노드의 값이 같다면 다음 노드로 넘어갈 때 1을 추가하는 방식으로 접근했다.


왼쪽 자식노드에서 올라온 값과, 오른쪽 자식노드에서 올라온 값을 가지고 부모 노드의 밸류값과 비교하여 조건에 맞는 edges값을 부모노드로 보내는 방식으로 접근하였다.
다만, 이 방식으로 접근하면 한 줄로 이어진 가장 긴 경로를 반환하는 것이 아닌, 밸류가 같은 노드사이의 연결된 간선의 갯수를 리턴하게 된다.

# Definition for a binary tree node.
# class TreeNode:
# def __init__(self, val=0, left=None, right=None):
# self.val = val
# self.left = left
# self.right = right
class Solution:
def longestUnivaluePath(self, root: Optional[TreeNode]) -> int:
self.max_len = 0
def dfs(node, prev):
if node is None: return 0
left_edges = dfs(node.left, node.val)
right_edges = dfs(node.right, node.val)
self.max_len = max(self.max_len, left_edges + right_edges)
return max(left_edges, right_edges) + 1 if node.val == prev else 0
dfs(root, 0)
return self.max_len
이 문제도 위와 같은 방식으로 풀리는 문제였는데, 위 문제는 노드마다 주어진 밸류값이 달라 매 탐색마다 값을 비교하여 경로가 연결되는지, 끊어지는지를 확인하였지만 이 문제는 노드의 값을 비교하지 않고 그저 가장 긴 경로만 반환하면 된다.
따라서 위 문제에서 모든 노드의 값이 똑같다는 식으로 가정을 하고 풀면 쉽게 풀 수 있다.
# Definition for a binary tree node.
# class TreeNode:
# def __init__(self, val=0, left=None, right=None):
# self.val = val
# self.left = left
# self.right = right
class Solution:
def diameterOfBinaryTree(self, root: Optional[TreeNode]) -> int:
self.max_len = 0
def dfs(node):
if node is None: return 0
left_len = dfs(node.left)
right_len = dfs(node.right)
self.max_len = max(self.max_len, left_len + right_len)
return max(left_len, right_len) + 1
dfs(root)
return self.max_len