gunwoohan.log
로그인
gunwoohan.log
로그인
TIL 2021/08/11
한건우
·
2021년 8월 17일
팔로우
0
TIL
부스트캠프 AI Tech
0
boostcamp aitech
목록 보기
3/13
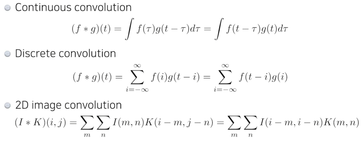
Convolution
같은 구조를 가지면서 깊게 모델 아키텍처를 가지가려고함
이런 경향 때문에 같은 아키텍처를 가지면서 최대한 최소한의 파라미터를 가지려고 노력함
1x1 Conv
한건우
아마추어 GAN잽이
팔로우
이전 포스트
TIL 2021/08/10
다음 포스트
TIL 2021/08/12
0개의 댓글
댓글 작성