말뭉치
: 자연어 처리에서 사용하는 텍스트 데이터의 모음, 훈련 데이터셋
토큰
: 텍스트에서 공백으로 구분되는 문자열, 종종 소문자로 변환하고 구둣점은 삭제함
원-핫 인코딩
: 어떤 클래스에 해당하는 원소만 1이고 나머지는 모두 0인 벡터, 정수로 변환된 토큰을 원-핫 인코딩으로 변환하려면 어휘 사전 크기의 벡터가 필요함
단어 임베딩
: 정수로 변환된 토큰을 비교적 작은 크기의 실수 밀집 벡터로 변환, 이 밀집 벡터는 단어 사이의 관계를 표현할 수 있기 때문에 자연어 처리에서 좋은 성능을 발휘
일반적으로 영어 문장은 모두 소문자로 바꾸고 구둣점을 삭제한 다음 공백을 기준으로 분리함 -> 토큰(token), 하나의 샘플은 여러개의 토큰으로 이루어짐, 1개의 토큰이 하나의 타임스텝에 해당
# 실행마다 동일한 결과를 얻기 위해 케라스에 랜덤 시드를 사용하고 텐서플로 연산을 결정적으로 만듭니다.
import tensorflow as tf
tf.keras.utils.set_random_seed(42)
from tensorflow.keras.datasets import imdb
(train_input, train_target), (test_input, test_target) = imdb.load_data(
num_words=200)
print(train_input.shape, test_input.shape)
-> (25000,) (25000,)
위 코드의 결과값을 보면 1차원 배열인 것을 알 수 있음, IMDB 리뷰 텍스트의 길이는 제각각이기 때문에 크기가 고정되어 있는 2차원 배열보다 이뷰마다 별도의 파이썬 리스트에 담아야 메모리를 효율적으로 사용가능함.

개별 리뷰를 담은 파이썬 리스트 객체로 이루어진 넘파이 배열임
print(len(train_input[0]))
->
218 # 218개 토큰
print(len(train_input[1]))
->
189 # 189개 토큰
하나의 리뷰 == 하나의 샘플
[첫번째 리뷰에 담긴 내용]
print(train_input[0])
->
[1, 14, 22, 16, 43, 2, 2, 2, 2, 65, 2, 2, 66, 2, 4, 173, 36, 2, 5,
25, 100, 43, 2, 112, 50, 2, 2, 9, 35, 2, 2, 5, 150, 4, 172, 112, 167,
2, 2, 2, 39, 4, 172, 2, 2, 17, 2, 38, 13, 2, 4, 192, 50, 16, 6, 147,
2, 19, 14, 22, 4, 2, 2, 2, 4, 22, 71, 87, 12, 16, 43, 2, 38, 76, 15,
13, 2, 4, 22, 17, 2, 17, 12, 16, 2, 18, 2, 5, 62, 2, 12, 8, 2, 8,
106, 5, 4, 2, 2, 16, 2, 66, 2, 33, 4, 130, 12, 16, 38, 2, 5, 25, 124,
51, 36, 135, 48, 25, 2, 33, 6, 22, 12, 2, 28, 77, 52, 5, 14, 2, 16,
82, 2, 8, 4, 107, 117, 2, 15, 2, 4, 2, 7, 2, 5, 2, 36, 71, 43, 2, 2,
26, 2, 2, 46, 7, 4, 2, 2, 13, 104, 88, 4, 2, 15, 2, 98, 32, 2, 56,
26, 141, 6, 194, 2, 18, 4, 2, 22, 21, 134, 2, 26, 2, 5, 144, 30, 2,
18, 51, 36, 28, 2, 92, 25, 104, 4, 2, 65, 16, 38, 2, 88, 12, 16, 2,
5, 16, 2, 113, 103, 32, 15, 16, 2, 19, 178, 32]
[타깃 데이터 출력]
print(train_target[:20])
->
[1 0 0 1 0 0 1 0 1 0 1 0 0 0 0 0 1 1 0 1]
from sklearn.model_selection import train_test_split
train_input, val_input, train_target, val_target = train_test_split(
train_input, train_target, test_size=0.2, random_state=42)
# 훈련세트 8: 검즘세트 2로 훈련세트 나눔
import numpy as np
lengths = np.array([len(x) for x in train_input])
print(np.mean(lengths), np.median(lengths))
->
239.00925 178.0
import matplotlib.pyplot as plt
plt.hist(lengths)
plt.xlabel('length')
plt.ylabel('frequency')
plt.show()

from tensorflow.keras.preprocessing.sequence import pad_sequences
train_seq = pad_sequences(train_input, maxlen=100)
print(train_seq.shape)
->
(20000, 100)
print(train_seq[5])
->
[ 0 0 0 0 1 2 195 19 49 2 2 190 4 2 2 2 183 10
10 13 82 79 4 2 36 71 2 8 2 25 19 49 7 4 2 2
2 2 2 10 10 48 25 40 2 11 2 2 40 2 2 5 4 2
2 95 14 2 56 129 2 10 10 21 2 94 2 2 2 2 11 190
24 2 2 7 94 2 2 10 10 87 2 34 49 2 7 2 2 2
2 2 2 2 46 48 64 18 4 2]
from tensorflow import keras
model = keras.Sequential()
model.add(keras.layers.SimpleRNN(8, input_shape=(100, 500)))
model.add(keras.layers.Dense(1, activation='sigmoid'))
# 원-핫 인코딩으로 변환
val_oh = keras.utils.to_categorical(val_seq)
train_oh = keras.utils.to_categorical(train_seq)
print(train_oh.shape)
->
(20000, 100, 500)
모델 구조 출력
#책에서는 500으로 설정, 코랩 코드 내에서는 200으로 설정해서 책하고 param 값 다름
model.summary()

모델의 파라미터는 입력 토큰 500개 x 순환층 뉴런 8개 + 은닉상태 크기 8개 x 뉴런 8개 + 절편 8개 = 4072개
Dense층의 가중치 개수 9개까지 더해서 총 4081개가 됨
RMSprop 가 default 이지만 학습률을 0.0001,
patience 는 3 으로 설정하였고 조기종료하여 최적 모델을 저장하도록 설정
epoch 횟수 100으로 늘리고 배치 크기는 64로 설정
rmsprop = keras.optimizers.RMSprop(learning_rate=1e-4)
model.compile(optimizer=rmsprop, loss='binary_crossentropy',
metrics=['accuracy'])
checkpoint_cb = keras.callbacks.ModelCheckpoint('best-simplernn-model.keras',
save_best_only=True)
early_stopping_cb = keras.callbacks.EarlyStopping(patience=3,
restore_best_weights=True)
history = model.fit(train_oh, train_target, epochs=100, batch_size=64,
validation_data=(val_oh, val_target),
callbacks=[checkpoint_cb, early_stopping_cb])
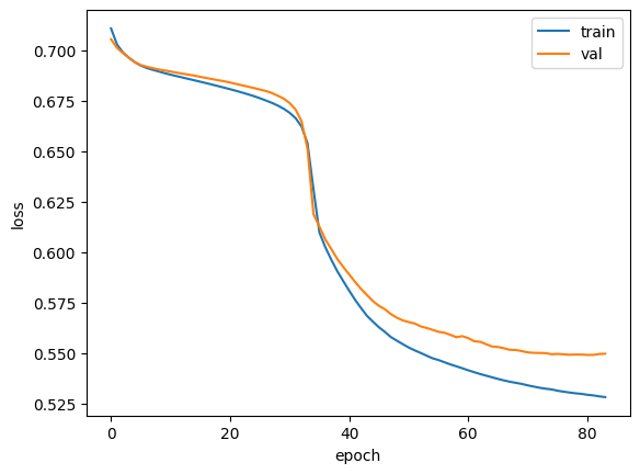
plt.plot(history.history['loss'])
plt.plot(history.history['val_loss'])
plt.xlabel('epoch')
plt.ylabel('loss')
plt.legend(['train', 'val'])
plt.show()

중간에 한번 튀는데 뭐지...
여튼 80번째쯤 가서 에포크 감소가 둔해지는 것으로 보아 에포크 훈련이 83번째에서 훈련을 멈췄다고 볼 수 있다.
keras.utils.to_categorical() 을 사용하여 원-핫 인코딩을 사용해 500개 중 하나만 1이고 나머지를 0으로 만들어서 크기 속성을 없애주었습니다.
하지만 토큰 1개를 500차원으로 늘렸기 때문에 데이터가 엄청 커짐
실제로 원-핫 인코딩 방식은 단어의 의미나 단어 사이의 관계를 전혀 고려하지 않고 만약 단어를 2000개로 늘리면 더욱 크기가 늘어나게 된다
: 각 단어를 고정된 크기의 실수 벡터로 바꿔줌
단어를 고정된 크기의 실수 벡터로 바꾸어주는 방법인데 단어의 의미를 고려하여 벡터로 표현한 것이다. 예를 들어, [고양이, 강아지, 개구리] 가 있다면 각각을 벡터로 표현하지만 고양이와 강아지 사이의 거리가 개구리와의 거리보다 가깝습니다. 고양이와 강아지는 포유류이고 개구리는 양서류이기 때문이다
참고

원-핫 인코딩된 벡터보다 의미 있는 값으로 채워져 있기 때문에 자연어 처리에서 더 좋은 성능을 내는 경우가 많음
단어 임베딩의 장점은 입력으로 정수 데이터를 받는 다는 것
즉, 원-핫 인코딩으로 변경된 train_oh가 아니라 train_seq를 사용할 수 있음 때문에 메모리를 효율적으로 사용가능
앞서 원-핫 인코딩은 샘플 하나를 500차원으로 늘렸기 때문에 (100, )크기의 샘플이 (100, 500)으로 커졌음.
이와 비슷하게 임베딩도 (100, )크기의 샘플을 (100, 20)과 같이 2차원 배열로 늘림, 원-핫 인코딩과 다르게 훨씬 작은 크기로도 단어를 표현할 수 있음
model2 = keras.Sequential()
# 500 => 어휘 사전 크기, 16 => 임베팅 벡터 크기
model2.add(keras.layers.Embedding(500, 16, input_shape=(100,)))
model2.add(keras.layers.SimpleRNN(8))
model2.add(keras.layers.Dense(1, activation='sigmoid'))
model2.summary()
input_shape=(100,) 이 부분은 책에서 input_lenght=100으로 나오는데 실습 코드에서는 shape으로 사용한다. 이유는?
여튼 앞서 샘플 길이를 100으로 맞추었기 때문에 100으로 나타냄

500개 토큰을 크기 16 벡터로 변경하였기 때문에 500x16 크기의 모델 파라미터를 가진다. 뉴런이 8개 이기 때문에 16x8 개, 은닉상태의 가중치 8x8 + 8개 절편 -> 8200개 모델파라미터가 있고 Dense층 9개이므로 8209개


validation loss가 Epoch 27/100 에서 제일 낫기 때문에 조기종료
train loss 는 계속 줄어드는 것을 확인 가능