공부하는 중이라 부정확하고 부족한 지식일 수있습니다! 댓글로 지적 부탁드립니다!
경로(Path)
- R을 집합 A에 관한 관계라고 할때, a부터 시작하여 b에서 끝나는 유한수열
π=a,x1,x2,...xn−1,b (a에서 b까지의 길이가 n인 경로)
예제1
R = {(1,2),(2,2),(2,3),(2,4),(2,5),(4,3),(5,1),(5,4)}에서 길이가 2인 경로를 찾아라.
- π1=1,2,3
- π2=1,2,2
- π3=1,2,4
- π4=1,2,5
- π5=2,2,2
- π6=2,2,3
- π7=2,2,4
- π8=2,2,5
- π9=5,1,2
- π10=5,4,3
순환(Cycle)
자신에서 시작하여 자신에서 끝나는 경로
관계와 경로
- 길이가 n인 관계 Rn
xRny는 x에서 시작하여 y로 끝나는 길이가 n
인 경로 존재
- 연결관계(Connectivity Relation) R∞
xR∞y는 x에서 시작하여 y로 끝나는 경로 존재
- 도달관계(Reachability Relation) R∗
x=y 혹은 xR∞y
유향그래프에서 임의의 두 정점 사이에 도달 관계 성립시, 강하게 연결(Strongly Connected)
예제2
A = {1,2,3,4,5,6}이고 유향그래프가 다음과 같을 때, 관계 R로부터 경로의 길이가 2인 경로들을 모두 찾아라

- 1R22 =>1,2,2
- 1R24 =>1,2,4
- 1R25 =>1,2,5
- 2R22 =>2,2,2
- 2R24 =>2,2,4
- 2R25 =>2,2,5
- 2R26 =>2,5,6
- 3R25 =>3,4,5
- 4R26 =>4,5,6
R2 = {(1,2),(1,4),(1,5),(2,2),(2,4),(2,5),(2,6),(3,5),(4,6)}
A = {a,b,c,d,e}, R = {(a,a),(a,b),(b,c),(c,d),(c,e),(d,e)}일 때, 다음을 구하여라
- R2
- aR2a => a,a,a
- aR2b => a,a,b
- aR2c => a,b,c
- bR2d => b,c,d
- bR2e => b,c,e
- cR2e => c,d,e
* R2 = {(a,a),(a,b),(a,c),(b,d),(b,e),(c,e)}
- R∞
경로의 길이에 상관없이 경로가 있는 모든 순서쌍을 구하면 된다.
- a에서 갈 수 있는 노드 = {a,b,c,d,e}
{(a,a),(a,b),(a,c),(a,d),(a,e)}
- b에서 갈 수 있는 노드 = {c,e,d}
{(b,c),(b,e),(b,d)}
- c에서 갈 수 있는 노드 = {e,d}
{(c,e),(c,d)}
- d에서 갈 수 있는 노드 = {e}
{(d,e)}
- e에서 갈 수 있는 노드 = ø
R∞ = {(a,a),(a,b),(a,c),(a,d),(a,e),(b,c),(b,e),(b,d),(c,e),(c,d),(d,e)}
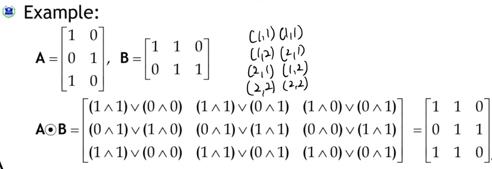
부울곱을 이용해 길이가 n인 경로 찾기
관계 R의 관계 행렬 MR일때, MRn = (MR)n = n개MR⊙ MR⊙ MR⊙...⊙MR
부울곱(Boolean Product)


예제3
관계 R = {(a,a),(a,b),(b,c),(c,d),(c,e),(d,e)}일 때, 부울곱을 이용해서 R2을 구하여라.
관계 행렬 MR을 구하면

MR2을 부울곱을 통해 구하면

따라서 관계 행렬 MR2을 통해 R2를 구하면
R2 = {(a,a),(a,b),(a,c),(b,d),(b,e),(c,e)}
경로의 합성(Composition of Path)
- π1의 경로 = a,x1,x2,x3...xn−1,b
- π2의 경로 = b,y1,y2,y3...yn−1,c
- π1과 π2 합성 경로 = π1⋅π2 = a,x1,x2,x3...xn−1,y1,y2,y3...yn−1,c
- π1과 π2의 합성이 되기 위해서는 π1의 끝나는 정점과 π2의 시작 정점이
같을때만
가능
예제4
두 경로 π1 = 1,2,3과 π2 = 3,5,6,2,4일 때, 합성 π1⋅π2를 구하여라.
π1의 끝나는 정점 = 3, π2의 시작 정점 = 3 이므로 합성 가능
π1⋅π2 = 1,2,3,5,6,2,4
역경로(Inverse Path)
경로 π = a,x1,x2,x3...xn−1,b일 때,
역경로 $$π^{-1}$$ = $$b, x_{n-1},... x_3,x_2,x_1, b$$
예제5
두 경로 π1 = 1,2,3과 π2 = 3,5,6,2,4일 때, 역경로를 구하여라.
- π1−1 = 3,2,1
- π2−1 = 4,2,6,5,3