Euclidean algorithm, RSA

Seungyun Lee·2026년 2월 25일

Cybersecurity

목록 보기
9/24

1. Euclidean Algorithm (유클리드 알고리즘)

목표: 주어지는 두 수 I0I_0I1I_1의 최대공약수(GCD)를 빠르고 효율적으로 찾기 위함입니다.

핵심 아이디어: "큰 수를 작은 수로 나눈 나머지를 구하는 과정을, 나머지가 0이 될 때까지 반복한다."수학적으로 표현하면 gcd(I0,I1)=gcd(I0modI1,I1)gcd(I_0, I_1) = gcd(I_0 \bmod I_1, I_1)이 성립한다는 원리를 이용합니다.

gcd(973,301)gcd(973, 301) 구하기
나머지를 I2,I3I_2, I_3 \dots 순으로 정의하며 나눗셈을 반복합니다.

  • 973=3301+70973 = 3 \cdot 301 + 70 (여기서 나머지 I2=70I_2 = 70)
  • 301=470+21301 = 4 \cdot 70 + 21 (여기서 나머지 I3=21I_3 = 21)
  • 70=321+770 = 3 \cdot 21 + 7 (여기서 나머지 I4=7I_4 = 7)
  • 21=37+021 = 3 \cdot 7 + 0 (나머지가 0이 됨)

결론: 나머지가 0이 되기 직전의 나머지인 77이 두 수의 최대공약수가 됩니다.

2. 확장 유클리드 알고리즘 (Extended Euclidean Algorithm)

목표: 방금 구한 최대공약수(77)를, 처음 시작했던 두 수(973973301301)의 선형 결합(곱셈과 덧셈) 형태로 표현하는 것입니다.우리가 최종적으로 도달해야 하는 수식의 형태는 다음과 같습니다.

gcd(I0,I1)=sI0+tI1gcd(I_0, I_1) = s \cdot I_0 + t \cdot I_1

여기서 우리가 찾아내야 하는 핵심 파라미터가 바로 계수 sstt입니다. 앞서 계산한 나눗셈 식들을 나머지 기준으로 다시 정리한 뒤, 밑에서부터 위로 역추적(Backward Substitution)하며 대입해 올라갑니다.

[역추적 상세 단계]

Step 1: I2I_2 식 정리
70=1973330170 = 1 \cdot 973 - 3 \cdot 301

Step 2: I3I_3 식 정리 및 대입
21=30147021 = 301 - 4 \cdot 70

이 식의 7070 자리에 Step 1의 결과를 통째로 대입합니다.
21=3014(19733301)21 = 301 - 4 \cdot (1 \cdot 973 - 3 \cdot 301)
21=4973+1330121 = -4 \cdot 973 + 13 \cdot 301

Step 3: I4I_4 식 정리 및 대입
7=703217 = 70 - 3 \cdot 21

이 식에 앞서 구한 70702121의 식을 모두 대입합니다.
7=(19733301)3(4973+13301)7 = (1 \cdot 973 - 3 \cdot 301) - 3 \cdot (-4 \cdot 973 + 13 \cdot 301)

괄호를 풀고 973973301301로 각각 묶어서 정리합니다.
7=13973+(42)3017 = 13 \cdot 973 + (-42) \cdot 301
결론: 최종 형태를 맞추었으므로, 우리가 찾던 계수는 s=13s = 13, t=42t = -42가 됩니다.

3. 알고리즘 일반화 (재귀 공식 도출)

위와 같은 수작업 역추적은 컴퓨터가 수행하기엔 매우 비효율적입니다. 따라서 컴퓨터가 루프(Loop)를 돌며 쉽게 계산할 수 있도록, 이전 단계의 값들로 현재 값을 구하는 점화식(Recursive Formula)을 유도해야 합니다.

[점화식 유도 과정]1. 가정 설정: 특정 ii 단계 직전의 두 식을 다음과 같이 일반화할 수 있다고 가정합니다.
Ii2=si2I0+ti2I1I_{i-2} = s_{i-2} \cdot I_0 + t_{i-2} \cdot I_1
Ii1=si1I0+ti1I1I_{i-1} = s_{i-1} \cdot I_0 + t_{i-1} \cdot I_1

  1. 나눗셈 식 정리: 일반 유클리드 알고리즘의 나눗셈 식을 나머지 IiI_i에 대해 정리합니다.
    Ii2=qi1Ii1+Ii    Ii=Ii2qi1Ii1I_{i-2} = q_{i-1} \cdot I_{i-1} + I_i \implies I_i = I_{i-2} - q_{i-1} \cdot I_{i-1}

  2. 대입 및 계수 추출: 앞서 가정한 식들을 방금 정리한 IiI_i 식에 대입합니다.
    Ii=(si2I0+ti2I1)qi1(si1I0+ti1I1)I_i = (s_{i-2} \cdot I_0 + t_{i-2} \cdot I_1) - q_{i-1} \cdot (s_{i-1} \cdot I_0 + t_{i-1} \cdot I_1)
    이를 I0I_0I1I_1로 묶어냅니다.

Ii=(si2qi1si1)I0+(ti2qi1ti1)I1I_i = (s_{i-2} - q_{i-1} \cdot s_{i-1}) \cdot I_0 + (t_{i-2} - q_{i-1} \cdot t_{i-1}) \cdot I_1

  1. 최종 점화식 완성: 괄호 안의 식들이 곧 새로운 sis_itit_i가 됩니다.
    si=si2qi1si1s_i = s_{i-2} - q_{i-1} \cdot s_{i-1}
    ti=ti2qi1ti1t_i = t_{i-2} - q_{i-1} \cdot t_{i-1}

  2. 초기값 (Base Cases): 이 루프를 시작하기 위한 초기 세팅입니다.
    s0=1,t0=0s_0 = 1, t_0 = 0 (초기식 I0=1I0+0I1I_0 = 1 \cdot I_0 + 0 \cdot I_1 을 만족하기 위해)
    s1=0,t1=1s_1 = 0, t_1 = 1 (초기식 I1=0I0+1I1I_1 = 0 \cdot I_0 + 1 \cdot I_1 을 만족하기 위해)

3. 오일러 파이 함수 (Euler's Phi Function, Phi(m))

  • 정의: 어떤 수 M이 주어졌을 때, M보다 작으면서 M과 서로소(최대공약수가 1)인 양의 정수의 개수를 의미합니다.

  • 예시 1: M = 6일 때, 6과 서로소인 수는 1과 5 두 개이므로 Phi(6) = 2 입니다.

  • 예시 2 (큰 수의 계산법): RSA 암호화에 쓰이는 매우 큰 수들은 일일이 셀 수 없으므로 소인수분해 공식을 사용합니다.
    공식: M을 소인수분해한 결과가 P1^E1 P2^E2 ... 라면,
    Phi(M) = (P1^E1 - P1^(E1 - 1))
    (P2^E2 - P2^(E2 - 1)) ... 와 같이 계산합니다.

  • 계산 예시: M = 240
    240을 소인수분해하면 2^4 3^1 5^1 입니다.
    공식에 대입하면 (2^4 - 2^3) (3^1 - 3^0) (5^1 - 5^0) = 8 2 4 = 64가 됩니다.

페르마의 소정리 (Fermat's Little Theorem)

필기 상단에 적힌 이 정리는 소수(Prime Number)의 아주 특별한 성질을 보여줍니다.어떤 정수 aa와 소수 PP가 있을 때, 다음과 같은 공식이 항상 성립합니다.

aPa(modP)a^P \equiv a \pmod P
이 공식의 양변을 aa로 나누어 주면(단, aaPP의 배수가 아닐 때) 다음과 같이 표현할 수 있습니다.
aP11(modP)a^{P-1} \equiv 1 \pmod P
여기서 이전 시간에 배웠던 오일러 파이 함수(Φ\Phi)를 떠올려 봅시다. 소수 PP에 대한 파이 함수 값은 자신보다 작은 모든 수와 서로소이므로 Φ(P)=P1\Phi(P) = P - 1이 됩니다.
이 사실을 위의 공식에 대입하면 다음과 같은 최종 형태가 도출됩니다.

aΦ(P)1(modP)a^{\Phi(P)} \equiv 1 \pmod P

오일러의 정리 (Euler's Theorem)

필기 중간의 오일러의 정리는 페르마의 소정리를 한 단계 더 확장한 것입니다. 페르마의 정리는 모듈러 값이 반드시 '소수(PP)'일 때만 성립했지만, 오일러는 이를 '어떤 수(mm)'에 대해서도 성립하도록 일반화했습니다.

조건은 단 하나, 밑이 되는 수 aa와 모듈러가 되는 수 mm서로소(gcd(a,m)=1gcd(a, m) = 1)여야 한다는 것입니다. 이 조건만 만족하면 다음 공식이 무조건 성립합니다.

오일러의 정리 검증 예시 (Ex)
필기 하단은 이 마법 같은 오일러의 정리가 진짜로 성립하는지 구체적인 숫자를 넣어 증명해보는 과정입니다.

[가정] a=5a = 5, m=12m = 12 라고 해봅시다. 551212는 최대공약수가 11인 서로소이므로 오일러의 정리를 적용할 수 있습니다.

Step 1:

Φ(12)\Phi(12) 계산하기
1212를 소인수분해하면 34=31223 \cdot 4 = 3^1 \cdot 2^2 입니다.
파이 함수 공식에 넣으면:

Φ(12)=(2221)(3130)\Phi(12) = (2^2 - 2^1) \cdot (3^1 - 3^0)
=(42)(31)=22=4= (4 - 2) \cdot (3 - 1) = 2 \cdot 2 = 4

즉, Φ(12)=4\Phi(12) = 4 입니다.

Step 2:

오일러 공식에 대입하기
오일러의 정리에 따르면 5Φ(12)1(mod12)5^{\Phi(12)} \equiv 1 \pmod{12} 가 성립해야 하므로, 결국 54(mod12)5^4 \pmod{12} 의 결과가 11이 나오는지 확인하면 됩니다.

Step 3:

모듈러 연산 풀이
545^4을 한 번에 계산하면 625625로 너무 크니까, 필기에서는 연산을 쪼개는 팁(Equivalent Class 활용)을 썼습니다.

545252(mod12)5^4 \equiv 5^2 \cdot 5^2 \pmod{12}
52=255^2 = 25
2525(mod12)\equiv 25 \cdot 25 \pmod{12}

여기서 25251212로 나누면 몫이 22(2424)이고 나머지가 11이 됩니다. 따라서 25(mod12)125 \pmod{12} \equiv 1 로 바꿀 수 있습니다.

11(mod12)\equiv 1 \cdot 1 \pmod{12}
1(mod12)\equiv 1 \pmod{12}

결론: 수작업으로 계산해 본 결과도 정확히 11이 나옴으로써, 오일러의 정리(aΦ(m)1(modm)a^{\Phi(m)} \equiv 1 \pmod m)가 완벽하게 증명되었습니다!

이 두 정리가 훗날 RSA에서 XEDX(modN)X^{E \cdot D} \equiv X \pmod N (암호화했다가 복호화하면 원래 평문이 나온다)을 증명하는 데 핵심 키로 사용됩니다.


2. 대칭키(비밀키) 암호화 vs 공개키(비대칭키) 암호화

대칭키(Symmetric Key)의 문제점:
Alice와 Bob이 동일한 키(KK)로 암복호화를 하려면, 사전에 안전한 채널(Secure Channel)을 통해 이 키를 주고받아야 합니다(Key Distribution). 하지만 인터넷처럼 개방된 네트워크에서 안전한 채널을 구축하는 것은 현실적으로 불가능에 가깝습니다.

공개키(Asymmetric Key)의 해결책:
수신자인 Bob이 사전에 두 개의 열쇠 꾸러미(키 쌍)를 만듭니다

  • 누구나 볼 수 있게 공개하는 열쇠 (KpubK_{pub}): 암호화 전용
  • 자기 자신만 꽁꽁 숨겨두는 열쇠 (KprK_{pr}): 복호화 전용이제 Alice는 Bob의 공개키로 데이터를 암호화(y=eKpub(x)y = e_{K_{pub}}(x))해서 보내면 됩니다. 해커가 중간에 데이터를 가로채도, 복호화 키는 오직 Bob만 가지고 있으므로 안전하게 통신할 수 있습니다!

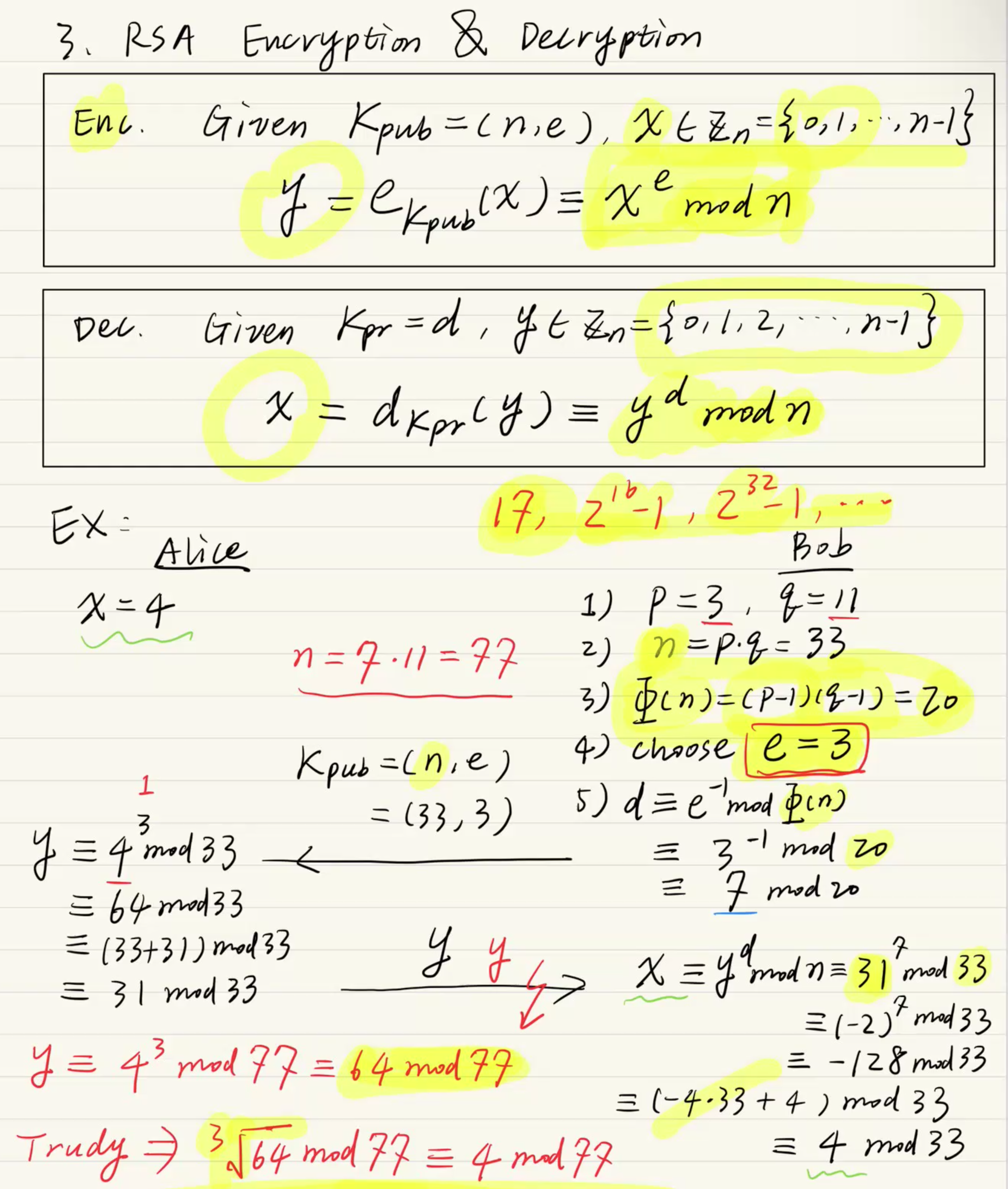
3. RSA Algorithm

[1단계: 키 생성 (Key Generation)] - 모듈러 Phi(n) 사용

  1. 아주 큰 두 소수 ppqq를 고릅니다. (보통 512512비트 이상의 거대한 수)
  2. 두 소수를 곱해서 모듈러 nn을 만듭니다: n=pqn = p \cdot q
  3. 오일러 파이 함수를 이용해 Φ(n)\Phi(n)을 계산합니다: Φ(n)=(p1)(q1)\Phi(n) = (p-1) \cdot (q-1)
  4. 공개키 ee를 선택합니다. (단, eeΦ(n)\Phi(n)과 서로소여야 함, 즉 gcd(e,Φ(n))=1gcd(e, \Phi(n)) = 1)
  5. 비밀키 dd를 계산합니다. 앞서 배운 확장 유클리드 알고리즘(EEA)을 이용해 ee의 모듈러 역원을 구합니다
    de1(modΦ(n))d \cdot e \equiv 1 \pmod{\Phi(n)}

결론: 이렇게 만들어진 (e,n)(e, n) 묶음은 공개키가 되어 널리 배포되고, dd는 개인키가 되어 수신자만 안전하게 보관합니다.

  1. RSA의 실제 연산과 계산 예제
    세 번째 장은 방금 만든 키로 어떻게 암호화/복호화를 하는지 공식과 예제를 보여줍니다.

[암호화 / 복호화 공식]

  • 암호화 (Alice): 평문 xx를 Bob의 공개키 eenn을 이용해 암호화합니다.
    y=xemodny = x^e \bmod n
  • 복호화 (Bob): 암호문 yy를 자신의 개인키 ddnn을 이용해 복호화합니다.
    x=ydmodnx = y^d \bmod n

[손으로 풀어보는 RSA 예제]
수업 시간에 진행한 예제 수치를 그대로 따라가 보겠습니다.

  • 평문 (Alice): x=4x = 4
    키 생성 (Bob):
  1. p=3,q=11p = 3, q = 11 선택
  2. n=311=33n = 3 \cdot 11 = 33
  3. Φ(n)=210=20\Phi(n) = 2 \cdot 10 = 20
  4. 공개키 e=3e = 3 선택 (임의로 작은 수 선택)
  5. 개인키 dd 계산: 3d1(mod20)3 \cdot d \equiv 1 \pmod{20} 이므로, d=7d = 7(공개키: (33,3)(33, 3) / 개인키: 77)

암호화 (Alice):
y=43mod33y = 4^3 \bmod 33
=64mod33=31= 64 \bmod 33 = 31
(Alice는 암호문 3131을 전송합니다.)

복호화 (Bob):
x=317mod33x = 31^7 \bmod 33
이 계산을 쉽게 하기 위해 Equivalent Class를 사용합니다. 312(mod33)31 \equiv -2 \pmod{33} 이므로,
=(2)7mod33= (-2)^7 \bmod 33
=128mod33= -128 \bmod 33
128-128433+4-4 \cdot 33 + 4 이므로, 최종 평문은 원래 Alice가 보냈던 44가 튀어나옵니다!

e=3e=3 같이 작은 숫자를 공개키로 쓰면 안 될까?
필기 맨 아래 빨간 글씨로 적힌 'Trudy'의 해킹 시나리오가 그 답을 줍니다.
만약 암호문 y=x3mod77y = x^3 \bmod 77 처럼, x3x^3 값이 모듈러 nn(7777)을 넘지 못하는 상황(예: x=4x=4일 때 43=644^3 = 64)이 발생하면 모듈러 연산이 사실상 무력화됩니다. 해커(Trudy)는 그냥 암호문에 세제곱근(643\sqrt[3]{64})을 씌워버리는 것만으로 평문(44)을 쉽게 알아낼 수 있습니다. 따라서 실제 구현에서는 ee 값을 최소한 1717이나 6553765537(216+12^{16} + 1) 같은 큰 소수로 설정해야만 안전합니다.

4. RSA의 응용 및 최적화 이슈

1. RSA 알고리즘은 왜 안전할까? (보안의 핵심)

  • 해커가 개인키를 알아내려면 Φ(n)\Phi(n) 값을 반드시 계산해야 합니다.
  • 하지만 Φ(n)\Phi(n)을 구하려면 거대한 수 nn을 두 소수 ppqq로 소인수분해(Factorize)해야만 합니다.
  • nn28002^{800} 이상으로 매우 큰 수일 경우, 이를 소인수분해하는 것은 현재의 컴퓨팅 파워로는 "매우 어렵다(very difficult)" 혹은 사실상 불가능합니다. 이것이 RSA가 안전한 이유입니다.

이전 수업에서 언급했듯이 해커(Trudy)가 가로채는 정보는 공개키 ee와 모듈러 nn입니다. 해커가 비밀키 dd를 구하려면 de1(modΦ(n))d \cdot e \equiv 1 \pmod{\Phi(n)} 공식을 풀어야 하므로 Φ(n)\Phi(n)의 값을 반드시 알아야 합니다.

  • Φ(n)=(p1)(q1)\Phi(n) = (p-1) \cdot (q-1) 이므로, Φ(n)\Phi(n)을 알기 위해서는 거대한 수 nn을 소수 ppqq소인수분해(Factorization)해야 합니다.
  • 현대 수학 및 컴퓨터 공학 관점에서 볼 때, nn10241024비트나 20482048비트 단위의 엄청나게 큰 수일 경우 이를 소인수분해하는 것은 우주의 나이만큼이나 오랜 시간이 걸리는 'NP 난제'에 속합니다.
  • 결론적으로 RSA의 안전성은 "큰 수의 소인수분해는 현실적으로 불가능에 가깝다"는 수학적 한계에 철저히 기반을 두고 있습니다.

2. RSA의 응용: 동형 암호화 (Homomorphic Encryption)

RSA는 단순히 데이터를 숨기는 것을 넘어, 암호화된 상태(Ciphertext) 그대로 유의미한 연산을 수행할 수 있는 놀라운 성질을 가지고 있습니다. 이를 동형 곱셈(Homomorphic Multiplication)이라고 부릅니다.

  • 개념: 두 평문 m1m_1m2m_2를 각각 암호화한 상태에서 서로 곱한 결과는, 애초에 두 평문을 곱한 뒤 한 번에 암호화한 결과와 완벽하게 일치합니다.
    E(m1)E(m2)=E(m1m2)E(m_1) \cdot E(m_2) = E(m_1 \cdot m_2)

  • 수학적 증명: (동일한 공개키 eenn을 사용한다고 가정)
    m1e(modn)m2e(modn)(m1m2)e(modn)m_1^e \pmod n \cdot m_2^e \pmod n \equiv (m_1 \cdot m_2)^e \pmod n

숫자 예제 검증: m1=4,m2=3,e=3,n=33m_1 = 4, m_2 = 3, e = 3, n = 33 일 때

  1. 따로 암호화해서 곱하기:
    e(m1)=43mod33=31e(m_1) = 4^3 \bmod 33 = 31
    e(m2)=33mod33=27e(m_2) = 3^3 \bmod 33 = 27
    3127mod33(2)(6)mod33=12mod3331 \cdot 27 \bmod 33 \equiv (-2) \cdot (-6) \bmod 33 = 12 \bmod 33

  2. 곱한 뒤 암호화하기:
    e(43)=123mod33e(4 \cdot 3) = 12^3 \bmod 33
    이것은 (43)3mod33=4333mod33=3127mod33(4 \cdot 3)^3 \bmod 33 = 4^3 \cdot 3^3 \bmod 33 = 31 \cdot 27 \bmod 33 이 되어 결국 위와 똑같이 12mod3312 \bmod 33 이 나옵니다!

참고 (Homomorphic ADD): RSA는 동형 곱셈만 지원하지만, 'Paillier(파이에)' 알고리즘 같은 것을 사용하면 암호문끼리 곱했을 때 평문끼리의 '덧셈' 결과를 얻어낼 수도 있습니다.

  • 활용: 이 성질을 이용하면 클라우드 서버나 데이터베이스 관리자가 사용자의 실제 데이터(평문)를 전혀 들여다보지 않고도 암호문 상태로 데이터 연산을 수행할 수 있습니다.

3. RSA 연산 최적화: 고속 거듭제곱 (Fast Exponentiation)

RSA의 암/복호화 과정에는 x1024x^{1024}처럼 지수(Exponent)가 엄청나게 큰 모듈러 거듭제곱 연산이 필수적으로 수반됩니다. 이를 컴퓨터로 어떻게 효율적으로 계산할지가 핵심 문제입니다.

[비교 1] x4x^4 계산하기

  • Naive (단순 반복): xxxxx \cdot x \cdot x \cdot x \rightarrow 곱셈 3번 필요
  • Better (제곱 활용): x2x2=x4x^2 \cdot x^2 = x^4 \rightarrow 곱셈 2번 필요

[비교 2] x8x^8 계산하기

  • Naive: 곱셈 7번 필요
  • Better: x4x4=x8x^4 \cdot x^4 = x^8 \rightarrow 곱셈 3번 필요 (xx2x4x8x \rightarrow x^2 \rightarrow x^4 \rightarrow x^8)

나이브 접근법 (Naive Approach):
x4x^4를 구할 때 xxxxx \cdot x \cdot x \cdot x처럼 하나씩 차례대로 곱하는 방식입니다.지수가 210242^{1024}일 경우 총 2102412^{1024} - 1번이라는 천문학적인 횟수의 곱셈(선형 복잡도, O(n)O(n))을 수행해야 하므로 사실상 계산이 불가능합니다.

효율적인 접근법 (Better Approach):
xx2x4x8x \rightarrow x^2 \rightarrow x^4 \rightarrow x^8 처럼 앞서 계산한 결과값을 통째로 제곱(Square)해 나가는 방식입니다.
이렇게 하면 지수가 210242^{1024}일 때 겨우 10241024번의 곱셈(로그 복잡도, O(logn)O(\log n))만으로 결과를 얻어낼 수 있습니다.

Q. 지수가 홀수이거나 2의 거듭제곱 꼴이 아닐 때는 어떻게 하나요?
이때 사용하는 범용적인 알고리즘이 바로 'Square-and-Multiply Algorithm'입니다. 자세한 동작 방식은 다음 수업 시간에 이어서 다루게 될 예정입니다.

profile
Design Verification engineer

0개의 댓글