





ACCEPT인지 확인(DROP이면 바꾸기)
1인지 확인하기
0.0.0.0 게이트 웨이 설정
ifconfig로 설정된 것 확인
ip addr add


global ens32 확인

SNAT
iptables -t nat –F
iptables -t nat -L
연결이 올바르게 되었으면Win클라이언트에서 ping이 간다.
윈도우 10 클라이언트에서 ip확인하고,
IP tables



제거 방법


====
DNAT
새로운 주소 할 당




리눅스 웹서버 하나 새롭게 만든다.
IP 설정 및 httpd 설치
Hello echo




라우터에서 접속 가능



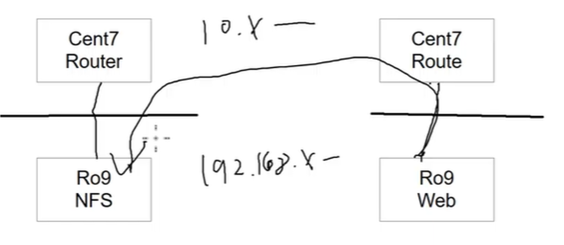
SNAT
192.168.x.80 > 10.x.0.242
DNAT
라우터에서 192.168.x.80으로 들어갈 수 있어야 한다.
10.x.0.242 -> 192.168.x.80

===

NAT-PAT
외부에서 10.x.0.242 주소로 접속할 때
오답을 누가 해야하는가?



81번 포트로 바꾼다.
확인


DNAT
http(80) > 192.168.x.80:81
ftp(21) -> 192.168.x.21:21


==
다른사람




설치






오타이슈

NFS 서버 시작했는데 에러




에러난 것 대응



연결 완료
