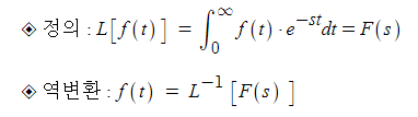
시간함수 t로 표현된 미분방정식을 복소변수 S의 대수적 방정식으로 변환시키는 기법

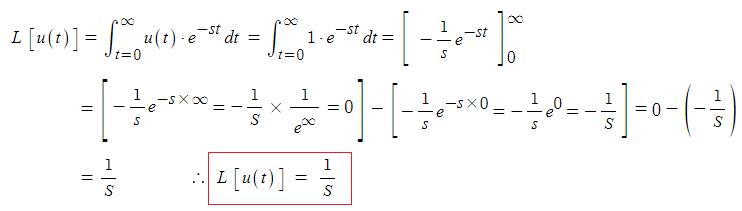
단위계단 함수 (Unit Step Function)
신호에서 "ON" 또는 "OFF"로 되는 함수

특정 신호를 살리려면 x × 1 = x. 제거하려면 x × 0 = 0 하는 함수.

단위 임펄스 함수
크기, 즉 면적이 "1"인 함수를 말하며 순간적으로 "1"의 크기가 나타났다가 사라지는 파형을 나타내는 함수

단위 경사함수 (램프함수)
기울기가 "1" 인 함수이며 t, t · u(t) 로 나타내며 같은 함수

삼각함수


라플라스 S함수를 시간함수 t 함수로 변환하는 것으로 라플라스 변환식을 역으로
적용을 하며 F(s) 함수을 분모를 인수분해하여 부분분수로 변환하여 역변환.


이계도함수





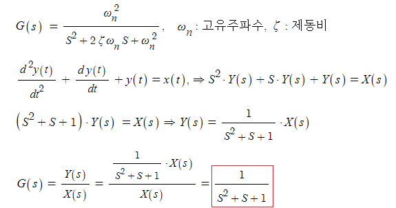
입력신호와 출력신호의 비 ( H(W) = Y(W)/X(W) = 출력/입력 )
어떤 입력에 대하여 출력을 발생시키는 과정, 어떤 특성을 전달한다는 의미
초기값을 "0"으로 한 상태에서 입력신호와 출력 신호의 라플라스 변환비
※ 라플라스는 "0" → "∞"까지의 변화를 분석하는 것
전달함수의 분모 = 0 : 특성방정식
극점(Pole) : 분모가 0이 되는 s값 → 시스템의 고유 응답 결정
영점(Zero) : 분자가 0이 되는 s값 → 특정 주파수에서 출력을 0으로 만듦











Ref
https://m.blog.naver.com/ok1659/222630405986
https://m.blog.naver.com/monopoly15/221836333704
https://m.blog.naver.com/cwi1125/221190718888
https://m.blog.naver.com/ok1659/222632763659?recommendTrackingCode=2