EMI의 주요 원인
스위칭 노이즈(Switching Noise)
고속 신호 전송 및 고전류 스위칭 시 발생하는 간섭.
예: SMPS(Switching Mode Power Supply), 인버터, 모터 드라이버 등.
PCB 설계 문제
트레이스 길이가 길거나 신호 라우팅이 잘못되면 EMI가 증가.
신호가 빠른 클럭(Clock) 또는 고속 디지털 신호일 경우 EMI가 심해짐.
무선 신호 간섭 : Wi-Fi, Bluetooth, 4G/5G 등의 RF 신호가 다른 전자 기기에 영향을 줌.
외부 환경 요인 : 고압 송전선, 전기 모터, 레이더 등의 강한 전자기파가 전자 기기에 영향을 줌.
EMI의 유형
전도성 EMI (Conducted EMI)
전력선이나 신호선을 통해 전파되는 간섭.
전원선(AC/DC)이나 PCB 트레이스를 따라 전파됨.
해결 방법: 필터링(Ferrite Bead, LC 필터, EMI 필터)
복사 EMI (Radiated EMI)
공기 중으로 방사되는 전자기파가 다른 기기에 영향을 줌.
해결 방법: 실드(Shielding), 접지(Grounding), PCB 레이아웃 최적화
전자기 적합성
(Electromagnetic Compatibility)
EMC의 주요 목표
EMC 테스트 종류
전도 방출(Conducted Emission, CE) 테스트
전원선 및 신호선을 통해 전파되는 EMI를 측정.
복사 방출(Radiated Emission, RE) 테스트
공기 중으로 방출되는 EMI를 측정.
전도 내성(Conducted Immunity, CI) 테스트
전원선에 노이즈를 주입하여 기기의 내성을 확인.
복사 내성(Radiated Immunity, RI) 테스트
외부에서 강한 전자기 신호를 가해 기기의 동작 여부를 확인.
정전기 방전(ESD, Electrostatic Discharge) 테스트
정전기 충격(수 kV 이상)에도 기기가 정상적으로 동작하는지 확인.
EMI 필터는 전자기 간섭(EMI)을 줄이기 위해 사용하는 필터
전원선이나 신호선에 침투하는 외부 전자기파(노이즈)를 차단하거나 감소
반대로, 회로에서 발생하는 노이즈가 외부로 나가는 것도 막아줌
EMI 필터의 구성 요소
인덕터 (코일): 고주파 노이즈를 차단하는 역할을 합니다.
콘덴서 (커패시터): 고주파 노이즈를 접지로 우회시켜 제거합니다.
보통 LC(인덕터 + 커패시터) 조합으로 구성돼 있어요.



RC LPF (Low Pass Filter)
Low pass filter는 신호의 고주파 노이즈를 제거하기 위해 주로 사용된다.
특징:
차단 주파수 이하 통과
커패시터가 고주파 성분을 접지로 보내며 필터링
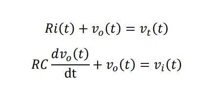
키르히호프 전압법칙에서 유도


파형

저주파 대역에서는 전압이득이 최대 전압이득값이 유지 되며 저주파 차단주파수 이후로는 전압이득이 감소, 출력값이 줄어듬.
저주파 차단주파수 ωc는 전압이득보다 -3dB만큼 낮은 지점에서 형성.
차단주파수 : 전력이 1/2가 되는 주파수 지점.
전력식 dB화 10log(출력전력/입력전력)
출력전력/입력전력 0.5일때 10 log(0.5)= -3dB. (0.707V)
RC HPF (High Pass Filter)

High pass filter는 고주파 신호를 통과시키고 저주파 신호를 차단시키는 필터
특징:
커패시터가 저주파 성분을 차단
고주파는 저항을 통해 출력으로 전달됨
Vi = Vo x R / (R + C) 이고, 이 식을 임피던스 측면에서 해석을 하면,
Vi = Vo x R / (R + 1/jwC) 로 나타낼 수 있다.
Vi = Vo x (jwRC / jwCR + 1) 에서 주파수가 무한히 크면 1에 달한다.
파형 



LC LPF

저역 통과 필터(LPF)는 DC 및 저주파 신호를 통과시키고 고주파 신호를 차단하는 필터 회로
LC HPF

고역 통과 필터(HPF)는 DC 및 저주파 신호를 차단하고 고주파 신호를 통과시키는 필터 회로
LC BPF

회로 구성 (직렬 공진형)

장점 : 높은 전압이득, 높은 입력 임피던스, 낮은 출력 임피던스,
부하가 내부 회로와 절연이 되어있어 부하 변동은 필터의 특성에 영향을 미치지 않음
단점 : DC 전압이 필요, OP-AMP의 주파수 응답에 따라 고주파 사용이 제한.
전원 공급 장치의 변경으로 출력 신호 크기가 변경될 수 있음.
피드백 루프가 진동 및 노이즈 생성에 기여
수동 필터는 신호의 에너지를 소비하지만 전력 게인은 없다. 활성 필터에는 전력 이득이 있음
능동 필터에는 외부 전원 공급 장치가 필요하지만 수동 필터는 신호 입력에서만 작동
수동 필터만 인덕터를 사용
활성 필터만 활성 요소인 opamp 및 tr 사용
이론적으로 수동 필터에는 주파수 제한이 없고 능동 필터에는 활성 요소로 인해 제한
패시브 필터는 안정성이 높고 큰 전류를 견딜 수 있다.
Ref
https://m.blog.naver.com/lagrange0115/220659006305
https://www.ariat-tech.kr/blog/detailed-analysis-of-rc-series-circuit.html
https://amanan1004.tistory.com/36
https://yeji1214.tistory.com/30
https://industrial.panasonic.com/kr/ss/technical/b4
https://www.researchgate.net/figure/EMI-filter-structure-common-mode-and-differential-mode_fig2_251992627
https://resources.altium.com/kr/p/what-types-emi-filters-are-best-passing-emc-certification