
DC-DC 컨버터에서 인덕터 전압이 정상 상태에서 균형을 이루는 원리
한 주기 동안 인덕터 양단의 전압(V_L)의 적분 값은 0이 되어야 함
인덕터에 걸리는 전압의 면적(Voltage × Time) 이 한 주기 내에서
양(+)과 음(-)이 동일해야 함
정상상태에서 인덕터 내부 증가된 자속 = 감소된 자속
인덕터 전압의 적분값이 0 이 아니면, 시간이 지나면서 인덕터 전류가 무한대로 증가하거나 감소하여 정상 상태 (steady-state) 를 유지할 수 없음
한 주기 동안 증가된 자속 크기가 큰 경우 : 시간 지날수록 인덕터 전류 증가
한 주기동안 감소된 자속 크기 큰 경우 : 시간 지날수록 인덕터 전류 감소

VL(t) : 인덕터의 전압
T : 스위칭 주기 (1/frequency)
커패시터의 Amp-sec 평형조건

스위칭 순간에서의 인덕터와 커패시터 성질
전력 전자회로에서 스위치 ON/OFF 에 따라 불연속 전압이나 전류 발생 (KVL, KCL 성립)
인덕터 전류 순간적으로 변할 수 없음 -> Slope 가지고 변화

커패시터 전압 순간적으로 변할 수 없음 -> Slope 가지고 변화

Duty Cycle

Switch on 되는 시간 : Ton
Switch 한 주기 : Ts
D = Ton / Ts (0 ≤ D ≤ 1)
컨버터가 두가지 모드로 동작함 (전류 연속적 / 불연속적)

CCM (Continuos Conduction Mode, 연속 전도 모드)
인덕터에 흐르는 전류가 연속적으로 흐름 (0A로 가지 않음)
DCM (Discontinuous Conduction Mode, 불연속 전도 모드)
인덕터에 흐르는 전류가 안 흐르는, 끊어진 구간 존재 (0A)
DCM 동작 발생 요인

스위치 ON 상태
입력 전압이 인덕터를 통해 부하로 전달
인덕터는 에너지를 저장하며 전류가 증가
스위치 OFF 상태
인덕터에 저장된 에너지가 다이오드를 통해 부하로 전달
이때 인덕터는 에너지를 방출하며 전류가 유지
Vout = D x Vin

스위칭 소자가 ON 상태
스위칭 소자가 ON 상태일 때는 전류가 흐르게 되는데 LC 회로에 의해 고주파 부분은 GND로 빠져나가고 저주파 부분만 통과
Switch 양단 전압 쇼트
Vin이 걸려 Diode는 역 바이어스 되어 OFF
인덕터에 Vin-Vo 전압 걸림
diL / dt = VL / L 이므로
IL 기울기 (Vin-Vo) / L 로 증가

스위칭 소자가 OFF 상태
스위칭 소자가 OFF 상태가 될 때는 LC 회로에 의해 전류가 더디게 감소
Switch FET OFF
Diode를 통해 전류 흐름
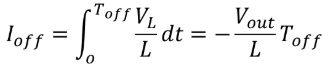
VL = -Vo
diL / dt = -Vo / L
iL 기울기 -Vo / L 로 전류 감소 -> 전류 0


Volt-Sec 조건에 의해
ON 일때의 인덕터 전압 (t = 0 ~ DT) = OFF 일때의 인덕터 전압 (t = DT ~ T)

전압전달비 Gv = Vo/Vi = D, D = Ton / Ts
인덕터 전류는 리플 발생

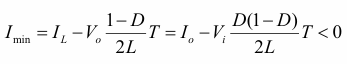
전류불연속모드 (Discontinuous mode) 조건
인덕터 전류의 최소값이 0보다 작아야 함.
리플 값

DCM 조건 (I < △IL)


1) 인덕터전류 (iL)
2) 출력전압 (vo)
컨버터 입력 에너지 Ein = 출력으로 유출되는 에너지 Eo
스위치 On 상태 : DT 구간 동안 선형적으로 전류 상승
스위치 Off 상태 : (1-D)T 구간 동안 다이오드는 On 상태를 유지하여 인덕터 전류는 선형적으로 하강
(1-D)T 구간 중 DAT 이후부터 스위치가 On 되는 시점까지 인덕터 전류가 0이 되면, 다이오드는 Off 상태를 유지

값 해석


승압형 컨버터 (Step-Up converter) :
입력전압보다 출력전압이 항상 큼
회로 구성 : 인덕터 1개, 다이오드 1개, 스위칭 부분으로 구성

스위치 ON (에너지 저장 단계)
트랜지스터가 켜지면, 전류가 인덕터를 통해 흐름
인덕터는 자기장 형태로 에너지를 저장.
부하에는 전류가 거의 흐르지 않음 (다이오드가 차단됨).
스위치 OFF (에너지 전달 단계)
트랜지스터가 꺼지면, 인덕터의 자기장이 붕괴하면서 전류를 밀어냄.
인덕터 전류는 다이오드를 통해 부하 및 커패시터로 흐름
인덕터 전압이 입력 전압보다 더해져 높은 전압이 출력
Vout = Vin / (1-D)
※ 0 < D < 1

스위칭 소자가 ON 상태
전류가 스위칭 회로 쪽으로 흐르면서 인덕터에 전류가 충전.
스위치 저항성분이 0에 가까워, 저항회로 전류분배 법칙으로 스위치로 흐름
또한 출력 커패시터에 충전되어 있는 전류는 다이오드에 의해 역방향으로 흐르지 않음.
스위칭 소자가 OFF 상태
인덕터에 충전되어 있던 전류가 방전되면서 입력 전압보다 더 큰 전압이 생성.
또한 출력 커패시터는 고주파를 흡수

인덕터 전압 Volt-sec 평형 조건 적용


Buck-Boost Converter 는 전압의 극성이 반전되면서 전압을 변환할 수 있는 회로.
전압의 극성이 반대가 되므로 전원전압과의 직렬연결로 또다른 전압을 얻을 수도 있고,
양전원을 필요로 할 때에도 사용
인덕터 1개와 다이오드 1개, 스위칭소자 부분으로 구성

스위치 ON (에너지 저장)
스위치가 닫히면 인덕터에 전류가 흐르며 에너지를 저장
다이오드는 역방향으로 차단되어 부하에는 전류가 흐르지 않음.
스위치 OFF (에너지 방출)
스위치가 열리면 인덕터는 방향을 바꾸어 자기장을 방출하면서 전류를 밀어냄
전류는 다이오드를 통해 부하와 커패시터로 흐르고, 출력 전압을 생성
Vout = - D x Vin / 1-D

스위치 소자가 ON 상태
전류가 다이오드 쪽이 막혀있어 인덕터 쪽으로 흐름
스위치 소자가 OFF 상태
프리휠링에 의해 전류가 다이오드에서부터 인덕터로 흐르면서 출력 전압을 제어.
또한, Buck-boost converter의 특징으로 입력 전압과 반대 극성의 출력 전압을 얻을 수 있음

Volt-sec 평형조건 적용



Ref
https://cafe.daum.net/mogunbang/RmLL/9
http://kor.pe.kr/make/electromagnetic/dc-dc_converter/
https://brunch.co.kr/@1212ac31a500435/126
https://m.blog.naver.com/lagrange0115/220705465363?recommendTrackingCode=2
https://okmom4-1.tistory.com/20
https://blog.naver.com/lagrange0115/221389839356
http://contents.kocw.or.kr/KOCW/document/2015/chungnam/chahanju/8.pdf
http://contents.kocw.net/KOCW/document/2015/sungkyunkwan/leebyeongguk3/5.pdf