
커널(kernel) 모드에서 실행하는 소프트웨어를 말한다.운영체제 즉, OS 는 하드웨어와 직접적으로 소통하는 소프트웨어이다.응용 프로그램과 프로그래머에게 지저분한 하드웨어의 모습 대신 깨끗한 추상적 모습을 제공하는 것하드웨어 자원들을 관리하는 기능을 제공. 여러개의

컴퓨터 하드웨어 복습 개인용 컴퓨터는 그림처럼 간략화 시킬 수 있다. CPU, 메모리, I/O 장치들은 모두 시스템 버스에 연결되어 있고 버스를 통해 모든 통신이 이루어진다. 프로세서 CPU 는 컴퓨터의 뇌 이며 메모리에서 명령을 반입하여 실행한다. 모든 CPU

프로세스 프로세스 개요 현대 컴퓨터는 여러가지 일을 하고, 이러한 다중 작업을 지원하기 위해 여러 프로세스를 지원하는 다중프로그래밍 시스템이 사용된다. 모든 다중 프로그래밍 시스템에서 CPU는 한 프로세스에서 다른 프로세스로 빠르게 전환하며 각 프로세스를 수십에서

OS 에서 메모리 계층 구조 관리를 담당하는 부분을 메모리 관리자(Memory Manager) 이라고 한다.메모리 관리자의 역할:현재 사용중인 메모리 부분을 파악프로세스들이 메모리를 필요로 하면 할당프로세스들이 더이상 메모리를 사용하지 않으면 할당 해제메모리 관리의 목

장기 기억 정보 저장소를 위한 세가지 필수 요구 사항은 다음과 같다.많은 양의 데이터를 저장해야 한다. 저장된 정보는 이를 사용하는 프로세스가 종료된 후에도 유지되어야 한다. 여러 프로세스가 동시에 정보에 액세스할 수 있어야 한다.우리는 파일 이라는 새로운 추상화를 통

OS 는 프로세스, 주소공간, 파일들에 대한 추상을 제공할 뿐만 아니라, 컴퓨터의 입출력 장치들을 관리한다.여기에서는 OS 가 입출력을 어떻게 관리하는지 알아보겠다.운영체제에서 가장 크고 복잡한 서브시스템가장 많은 코드 라인을 포함코드 변경률이 가장 높음운영체제 엔지니

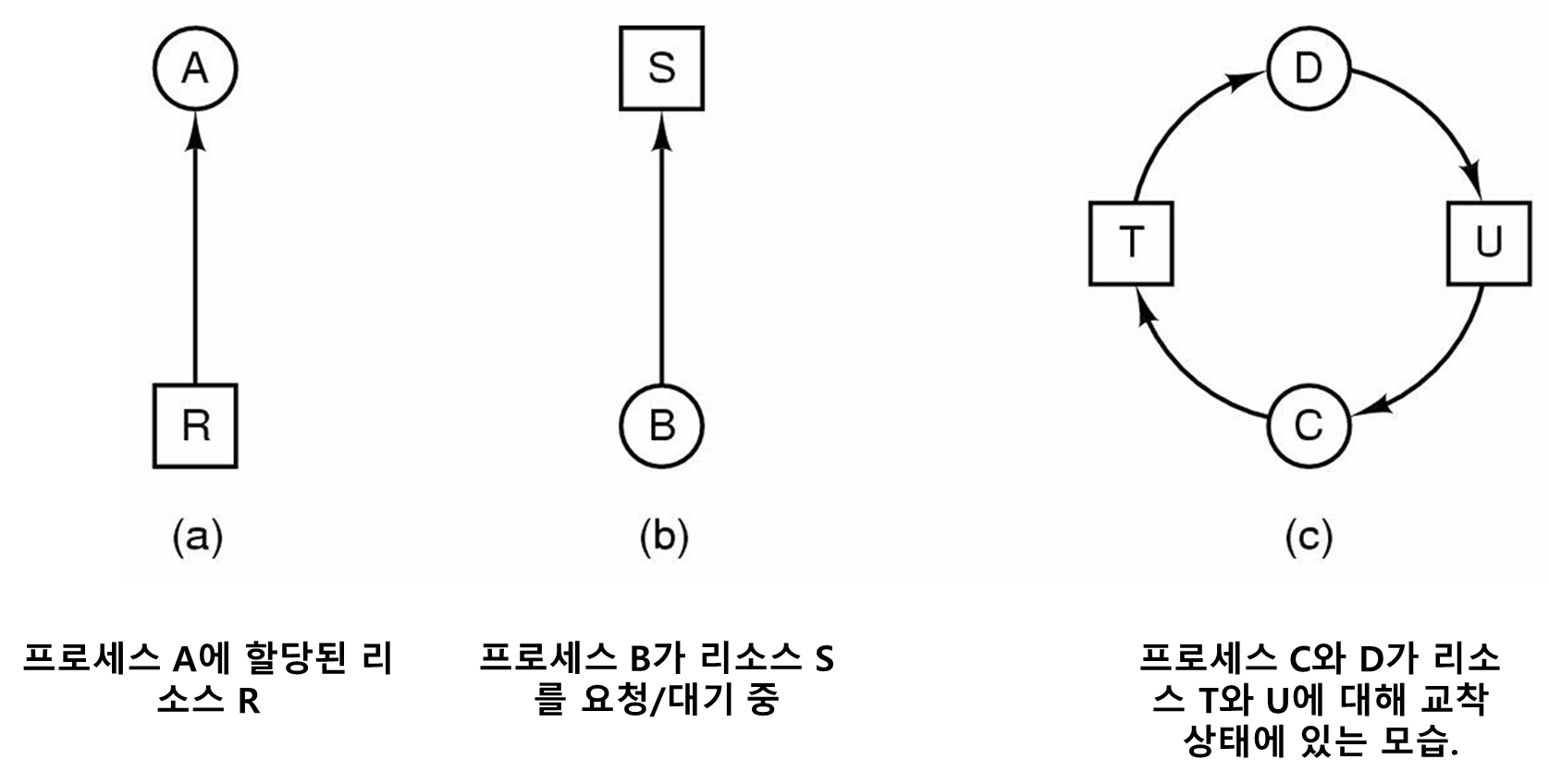
몇가지 종류의 교착 상태 (DeadLock) 에 대해 알아보고, 이들이 어떻게 발생하는지, 예방하거나 회피하는 방법은 무엇이 있는지에 대해 알아보겠다.자원은 하드웨어 장치일 수도, 정보의 일부분일 수도 있다.컴퓨터는 서로 다른 획득 가능한 많은 자원들을 가진다.시간이