Pruning-as-Search: Efficient Neural Architecture Search via Channel Pruning and Structural Reparameterization

박정민 (Jungmin Park)·2025년 1월 8일

논문 리뷰

목록 보기
13/21

Abstract & Introduction

  • NAS는 depth와 width를 자동으로 찾지만, searching overhead가 있어서 모델을 찾는데 엄청난 cost가 소모된다.
  • structured pruning(network pruning)은 layer당 filter을 얼마나 줄일지 ratio를 자동적으로 결정하는 것이 어렵다.
  • 이 논문에서는 Pruning-as-Search(PAS)를 제안하여서 layer당 filter의 압축률을 자동으로 최적화하고 end-to-end로 기법을 적용하여 효율화한다. 이는 기존과 비슷한 훈련 cost를 가지면서 자동으로 sub-network를 찾는다.
  • depth-wise convolution(DBC)을 각 convolution layer 뒤에 추가하여 pruning indicator로 활용한다.
  • DBC layer의 훈련 능력을 위해서 Straight-Through-Estimator(STE)를 적용했다.
  • pre-trained network에서 시작하기 때문에 fine-tuning은 추가로 한번만 필요하다.
  • magnitude trap에서 벗어나 있기 때문에 이전의 pruning 방식들과는 다르다.
  • layer width의 유연성을 위해서 identical path를 convolution layer에 structural reparameterization하여, inference 단계에서 sub-network들의 residual connection을 없앤다.

Challenges and Motivations

C1. NAS의 방대한 양의 searching cost

  • 후보군이 많을수록 저장공간이 많이 필요하다.

C2. Pruning에서의 magnitude trap

  • 일반적으로는 filter/channel들이 작은 magnitude를 가지면 최종 정확도에 영향을 덜 줄것이라고 생각하지만, 이러한 생각은 반드시 참이 아니며 small channel들을 바로 제거하면 정확도에 영향을 줄만큼 커질 기회를 없애는 문제가 발생하며 이를 Magnitude trap이라고 한다.

C3. Width의 뻣뻣함 제약

  • ResNet에는 residual connection이 있고, 이는 입력차원 = 출력차원의 제한을 가지며, 이로 인해 design flexibility가 감소된다.

Pruning as Search Algorithm

Depth-Wise Binary Convolution Layers

  • 자동 channel pruning을 위해서 depth-wise 1x1 convolution layer을 사용하였다.
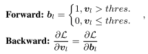
  • v1v_1은 DBC layer의 파라미터이며 pruning indicator로 사용된다.
  • 여기서 v1v_1의 이진화로 인해서 미분불가능하여 back propagation 할 수 없는 문제가 발생하는데, 이를 STE를 이용하여 해결한다.

  • 임곗값은 0.5로 하였고, 0과 1로 v1v_1을 이진화한다.
  • STE와 DBC layer의 결합을 통해 pruning policy와 parameter 학습을 분리하며, DBC layer에서 gradient 소실을 방지하여 pruned channel의 정보를 보존한다.
  • pruned model을 적용하기 위해서 DBC layer의 이진화 값을 이용하여 0인 것은 앞쪽으로, 1인 것은 뒤쪽으로 재구성하여 그룹화한다.

Training Loss Function

  • 앞쪽 항은 모델 학습 단계에서의 loss이고, 뒤쪽은 계산 복잡도에 관련된 regularization 항이다.

  • 위 식은 현재 MAC와 목표 MAC 사이의 L2L_2 norm의 제곱으로 정의한다.

Simultaneous Pruning and Training for C1

  • end-to-end channel pruning 방식은 DBC와 STE를 활용하여 모델의 학습과 pruning indicator을 동시에 할 수 있기에 학습 단계에서 효율적이다.

DBC layer as Indicators for C2

  • DBC layer은 pruning indicator로서 2 가지 장점을 가진다.
    1. SGD를 활용하여 자연스럽게 학습이 가능하며 이를 통해 pruning policy도 학습동안 역동적으로 업데이트 된다.
    2. STE를 활용하였기 때문에 DBC layer에 의해서 pruning된 채널은 forward에서도, backward에서도 사용되지 않으며, 이는 결과적으로 모델 원본 weight를 파괴하는 soft-mask와 구별된다.

Structural Reparameterization for C3

  • skip connection이 한 개의 convolution만 건너서 연결할 때 가능하기에 ResNet을 사용한 것이 아닌 RepVGG에서 제시한 모델을 사용한다.

  • 합 연산 이후 DBC layer을 두어서 reparameterization이 가능하도록 한다.

  • 이 과정 이후에 skip connection을 제거하여 압축모델을 만들어서 추론 속도를 가속한다.
profile
1999.09.10 / LIG Nex1 AI Researcher

0개의 댓글