스트림Stream은 자바 8부터 추가된 컬렉션(배열 포함)의 저장 요소를 하나씩 참조해서 람다식으로 처리할 수 있도록 해주는 반복자입니다.
import java.util.*;
public class Main {
public static void main(String[] args) {
List<String> list = Arrays.asList("홍길동", "김자바", "아무개");
// Iterator
Iterator<String> iterator = list.iterator();
while (iterator.hasNext()) {
String name = iterator.next();
System.out.println(name);
}
System.out.println();
// Stream
Stream<String> stream = list.stream();
stream.forEach(name -> System.out.println(name));
}
}
Stream이 제공하는 대부분의 요소 처리 메소드는 함수적 인터페이스 매개 타입을 가지기 때문에 람다식 또는 메소드 참조를 이용해서 요소 처리 내용을 매개값으로 전달할 수 있습니다.
import java.util.*;
class Student {
private String name;
private int score;
public Student (String name, int score) {
this.name = name;
this.scroe = score;
}
public String getName() {
return name;
}
public int getScore() {
return score;
}
}
public class Main {
public static void main(String[] args) {
List<Student> list = Arrays.asList(
new Student("홍길동", 90),
new Student("김자바", 92)
);
Stream<Student> stream = list.stream();
stream.forEach(s-> {
String name = s.getName();
int score = s.getScore();
System.out.println(name + "-" + score);
});
}
}
외부 반복자 (external iterator): 개발자가 코드로 직접 컬렉션의 요소를 반복해서 가져오는 코드 패턴
index를 이용하는 for문, Iterator를 이용하는 while문은 모두 외부 반복자를 이용하는 것임
내부 반복자 (internal iterator): 컬렉션 내부에서 요소들을 반복시키고, 요소당 처리해야 할 코드만 제공하는 코드 패턴

내부 반복자를 사용하면 컬렉션 내부에서 어떻게 요소를 반복시킬 것인가는 컬렉션에게 맡겨두고, 개발자는 요소 처리 코드에만 집중할 수 있다는 이점을 얻을 수 있습니다. 내부 반복자는 요소들의 반복 순서를 변경하거나, 멀티 코어 CPU를 최대한 활용하기 위해 요소들을 분배시켜 병렬 작업을 할 수 있게 도와주기 때문에 하나씩 처리하는 순차적 외부 반복자보다 효율적으로 요소를 반복시킬 수 있습니다.
스트림은 컬렉션의 요소에 대해 중간 처리와 최종 처리를 수행합니다. 중간 처리에서는 매핑, 필터링, 정렬을 수행하고 최종 처리에서는 반복, 카운팅, 평균, 총합 등의 집계 처리를 수행합니다.

public class Main {
public static void main(String[] args) {
List<Student> studentList = Arrays.asList(
new Student("홍길동", 10),
new Student("김자바", 20),
new Student("아무개", 30)
);
double avg = studentList.stream()
// 중간 처리 (학생 객체를 점수로 매핑)
.mapToInt(Student :: getScore)
// 최종 처리 (평균 점수)
.average().getAsDouble();
System.out.println("평균 점수: " + avg);
}
}

BaseStream 인터페이스에는 모든 스트림에서 사용할 수 있는 공통 메소드들이 정의되어 있고, 하위 스트림들을 통해서 사용합니다. 스트림 인터페이스의 구현 객체는 주로 컬렉션과 배열에서 얻지만, 다음과 같은 소스로부터 스트림 구현 객체를 얻을 수도 있습니다.
| 리턴 타입 | 메소드(매개 변수) | 소스 |
|---|---|---|
| Stream< T > | java.util.Collection.stream() java.util.Collection.parallelStream() | 컬렉션 |
| Stream< T > IntStream LongStream DoubleStream | Arrays.stream(T[]), Stream(T[]) Arrays.stream(int[]), IntStream.of(int[]) Arrays.stream(long[]), LongStream.of(long[]) Arrays.stream(double[]), DoubleStream.of(double[]) | 배열 |
| IntStream | IntStream.range(int, int) IntStream.rangeClosed(int, int) | int 범위 |
| LongStream | LongStream.range(long, long) LongStream.rangeClosed(long, long) | long 범위 |
| Stream< Path > | Files.find(Path, int, BiPredicate, FileVisitOption) Files.list(Path) | 디렉토리 |
| Stream< String > | Files.lines(Path, Charset) BufferdReader.lines() | 파일 |
| DoubleStream IntStream LongStream | Random.doubles(...) Random.ints() Random.longs() | 랜덤 수 |
데이터의 합계, 평균값, 최대값, 최소값 등은 대표적인 리덕션의 결과물입니다.
리덕션 Reduction: 대량의 데이터를 가공해서 축소하는 것
컬렉션의 요소를 리덕션의 결과물로 바로 집계할 수 없을 경우에는 집계하기 좋도록 필터링, 매핑, 정렬, 그룹핑 등의 중간 처리가 필요합니다.
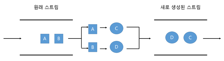
스트림은 파이프라인으로 중간 처리와 최종 처리를 해결합니다.
파이프라인 pipelines: 여러 개의 스트림이 연결되어 있는 구조
중간 스트림이 생성될 때 요소들이 바로 중간 처리필터링 매핑 정렬되는 것이 아니라, 최종 처리가 시작되기 쩐까지 중간 처리는 지연됩니다. 최종 처리가 시작되면 비로소 컬렉션의 요소가 하나씩 중간 스트림에서 처리되고 최종 처리까지 오게 됩니다.
Stream<Member> maleFemaleStream = list.stream();
Stream<Member> maleStream = maleFemaleStream.filter(m -> m.getGender()==Member.MALE);
IntStream ageStream = maleStream.mapToInt(Mamber :: getAge);
OptionalDouble optionalDouble = ageStream.average();
double ageAvg = optionDouble.getAsDouble();
// 로컬 변수 생략
double ageAvg = list.stream() // 오리지날 스트림
.filter(m -> m.getGender()==Member.MALE) // 중간 처리 스트림
.mapToInt(Mamber :: getAge) // 중간 처리 스트림
.average() // 최종 처리
.getAsDouble();


리턴 타입이 스트림이라면 중간 처리 메소드이고, 기본 타입이거나
OptionalXXX라면 최종 처리 메소드
필터링은 중간 처리 기능으로 요소를 걸러내는 역할을 합니다. 필터링 메소드인 distinct() filter() 는 모든 스트림이 가지고 있는 공통 메소드입니다.
| 메소드(매개 변수) | 설명 |
|---|---|
| distinct() | 중복 제거 |
| filter(Predicate) filter(IntPredicate) filter(LongPredicate) filter(DoublePredicate) | 조건 필터링 |
distinct() 메소드는 Stream의 경우 Object.equals(Object)가 true이면 중복을 제거
나머지는 동일값일 경우 중복을 제거함
filter() 메소드는 매개값으로 주어진 Predicate가 true를 리턴하는 요소만 필터링
import java.util.*;
public class Main {
public static void main(String[] args) {
List<String> names = Arrays.asList("홍길동", "김자바", "아무개", "홍길동");
names.stream()
.distinct()
.forEach(n -> System.out.println(n));
System.out.println();
names.stream()
.filter(n -> n.startsWith("홍"))
.forEach(n -> System.out.println(n));
System.out.println();
names.stream()
.distinct()
.filter(n -> n.startsWith("홍"))
.forEach(n -> System.out.println(n));
}
}
매핑은 중간 처리 기능으로 스트림의 요소를 다른 요소로 대체하는 작업을 의미합니다. 스트림에서 제공하는 매핑 메소드는 flatXXX() mapXXX() asDoubleStream() asLongStream() boxed()가 있습니다.
요소를 대체하는 복수 개의 요소들로 구성된 새로운 스트림을 리턴합니다.

| 리턴 타입 | 메소드(매개 변수) | 요소 -> 대체 요소 |
|---|---|---|
| Stream< R > | flatMap(Function<T, Stream< R >>) | T -> Stream< R > |
| DoubleStream | flatMap(DoubleFunction< DoubleStream >) | double -> DoubleStream |
| IntStream | flatMap(IntFunction< IntStream >) | int -> IntStream |
| LongStream | flatMap(LongFunction< LongStream >) | long -> LongStream |
| DoubleStream | flatMapToDouble(Function<T, DoubleStream>) | T -> DoubleStream |
| IntStream | flatMapToInt(Function<T, IntStream>) | T -> IntStream |
| LongStream | flatMapToLong(Function<T, LongStream>) | T -> LongStream |
요소를 대체하는 요소로 구성된 새로운 스트림을 리턴합니다.

| 리턴 타입 | 메소드(매개 변수) | 요소 -> 대체 요소 |
|---|---|---|
| Stream< R > | map(Function<T, R>) | T -> R |
| DoubleStream | mapToDouble(ToDoubleFucntion< T >) | T -> double |
| IntStream | mapToInt(ToIntFunction< T >) | T -> int |
| LongStream | mapToLong(ToLongFunction< T >) | T -> long |
| DoubleStream | map(DoubleUnaryOperator) | double -> double |
| IntStream | mapToInt(DoubleToIntFunction) | double -> int |
| LongStream | mapToLong(DoubleToLongFunction) | double -> long |
| Stream< U > | mapToObj(DoubleFunction< U >) | double -> U |
| IntStream | map(IntUnaryOperator) | int -> int |
| DoubleStream | mapToDouble(IntToDoubleFunction) | int -> double |
| LongStream | mapToLong(IntToLongFunction) | int -> long |
| Stream< U > | mapToObj(IntFunction< U >) | int -> U |
| LongStream | map(LongUnaryOperator) | long -> long |
| DoubleStream | mapToDouble(LongToDoubleFunction) | long -> double |
| IntStream | mapToInt(LongToIntFunction) | long -> Int |
| Stream< U > | mapToObj(LongFunction< U >) | long -> U |
| 리턴 타입 | 메소드(매개 변수) | 설명 |
|---|---|---|
| DoubleStream | asDoubleStream() | int -> double long -> double |
| LongStream | asLongStream() | int -> long |
| Stream< Interger > Stream< Long > Stream< Double > | boxed() | int -> Integer long -> Long double -> Double |
스트림은 요소가 최종 처리되기 전에 중간 단계에서 요소를 정렬해서 최종 처리 순서를 변경할 수 있습니다.
| 리턴 타입 | 메소드(매개 변수) | 설명 |
|---|---|---|
| Stream< T > | sorted() | 객체를 Comparable 구현 방법에 따라 정렬 |
| Stream< T > | sorted(Comparator< T >) | 객체를 주어진 Comparator에 따라 정렬 |
| DoubleStream | sorted() | double 요소를 오름차순으로 정렬 |
| IntStream | sorted() | int 요소를 오름차순으로 정렬 |
| LongStream | sorted() | long 요소를 오름차순으로 정렬 |
객체 요소일 경우에는 클래스가 Comparable을 구현하지 않으면 sorted() 메소드를 호출했을 때 ClassCastException이 발생합니다.
import java.util.*;
import java.util.stream.IntStream;
class Student implements Comparable<Student> {
private String name;
private int score;
public Student(String name, int score) {
this.name = name;
this.score = score;
}
public String getName() {
return name;
}
public int getScore() {
return score;
}
@Override
public int compareTo(Student o) {
return Integer.compare(score, o.score);
}
}
public class Main {
public static void main(String[] args) {
// 숫자 요소일 경우
IntStream intStream = Arrays.stream(new int[]{5, 3, 2, 1, 4});
intStream
.sorted() // 오름차순 정렬
.forEach(n -> System.out.print(n + ", "));
System.out.println();
// 객체 요소일 경우
List<Student> studentList = Arrays.asList(
new Student("홍길동", 30),
new Student("김자바", 10),
new Student("아무개", 20)
);
studentList.stream()
.sorted()
.forEach(s -> System.out.print(s.getScore() + ", "));
System.out.println();
studentList.stream()
.sorted(Comparator.reverseOrder())
.forEach(s -> System.out.print(s.getScore() + ", "));
}
}
두 메소드는 루핑한다는 기능에서는 동일하지만, peek()은 중간 처리 메소드이고, forEach()는 최종 처리 메소드입니다.
import java.util.*;
public class Main {
public static void main(String[] args) {
int[] intArr = {1, 2, 3, 4, 5};
System.out.println("[peek()을 마지막에 호출한 경우]");
Arrays.stream(intArr)
.filter(a -> a%2==0)
.peek(n -> System.out.println(n)); // 동작하지 않음
System.out.println("[최종 처리 메소드를 마지막에 호출한 경우]");
int total = Arrays.stream(intArr)
.filter(a -> a%2==0)
.peek(n -> System.out.println(n))
.sum();
System.out.println("총합: " + total);
System.out.println("[forEach()를 마지막에 호출한 경우]");
Arrays.stream(intArr)
.filter(a -> a%2==0)
.forEach(n -> System.out.println(n));
}
}
스트림 클래스는 최종 처리 단계에서 요소들이 특정 조건에 만족하는지 조사할 수 있도록 세 가지 매칭 메소드를 제공합니다.
allMatch(): 모든 요소들이 조건을 만족하는지 조사anyMatch(): 최소한 한 개의 요소가 조건을 만족하는지 조사noneMatch(): 모든 요소들이 조건을 만족하지 않는지 조사| 리턴 타입 | 메소드(매개 변수) | 제공 인터페이스 |
|---|---|---|
| boolean | allMatch(Predicate< T > predicate) anyMatch(Predicate< T > predicate) noneMatch(Predicate< T > predicate) | Stream |
| boolean | allMatch(IntPredicate predicate) anyMatch(IntPredicate predicate) noneMatch(IntPredicate predicate) | IntStream |
| boolean | allMatch(LongPredicate predicate) anyMatch(LongPredicate predicate) noneMatch(LongPredicate predicate) | LongStream |
| boolean | allMatch(DoublePredicate predicate) anyMatch(DoublePredicate predicate) noneMatch(DoublePredicate predicate) | DoubleStream |
집계는 최종 처리 기능으로 요소들을 처리해서 하나의 값으로 산출하는 것을 의미합니다. 집계는 대량의 데이터를 가공해서 축소하기 때문에 리덕션이라고 볼 수 있습니다.
| 리턴 타입 | 메소드(매개 변수) | 설명 |
|---|---|---|
| long | count() | 요소 개수 |
| OptionalXXX | findFirst() | 첫 번째 요소 |
| Optional< T > OptionalXXX | max(Comparator< T >) max() | 최대 요소 |
| Optional< T > OptionalXXX | min(Comparator< T >) min() | 최소 요소 |
| OptionalDouble | average() | 요소 평균 |
| int, long, double | sum() | 요소 총합 |
Optional 클래스는 집계 값이 존재하지 않을 경우 디폴트 값을 설정할 수도 있고, 집계 값을 처리하는 Consumer도 등록할 수 있습니다.
| 리턴 타입 | 메소드(매개 변수) | 설명 |
|---|---|---|
| boolean | isPresent() | 값이 저장되어 있는지 여부 |
| T double int long | orElse(T) orElse(double) orElse(int) orElse(long) | 값이 저장되어 있지 않을 경우 디폴트 값 지정 |
| void | ifPresent(Consumer) ifPresent(DoubleConsumer) ifPresent(IntConsumer) ifPresent(LongConsumer) | 값이 저장되어 있을 경우 Consumer에서 처리 |
List<Integer> list = new ArrayList<>();
double avg = list.stream()
.mapToInt(Integer :: intValue)
.average()
.getAsDouble();
System.out.println("평균: " + avg);
위 코드에서 컬렉션의 요소가 추가되지 않아 저장된 요소가 없는 상황이 생길 수 있습니다. 그럴 경우 평균값도 구할 수 없기 때문에 NoSuchElementException 예외가 발생합니다.
요소가 없을 경우 예외를 피하는 세 가지 방법이 있습니다.
// 방법 1 - Optional 객체를 얻어 isPresent() 메소드로 평균값 여부 확인:
OptionalDouble optional = list.stream()
.mapToInt(Integer :: intValue)
.average();
if (optional.isPresent()) {
System.out.println("평균: " + optional.getAsDouble());
} else {
System.out.println("평균: 0.0");
}
// 방법 2 - orElse() 메소드로 디폴트 값 정해놓기
double avg = list.stream()
.mapToInt(Integer :: intValue)
.average()
.orElse(0.0);
System.out.println("평균: " + avg);
// 방법 3 - ifPresent() 메소드로 평균값이 있을 경우에만 람다식 실행
list.stream()
.mapToInt(Integer :: intValue)
.average()
.ifPresent(a -> System.out.println("평균: " + a));
스트림은 기본 집계 메소드인 sum() average() count() max() min()을 제공하지만, 다양한 집계 결과물을 만들 수 있도록 reduce() 메소드도 제공합니다.
| 인터페이스 | 리턴 타입 | 메소드(매개 변수) |
|---|---|---|
| Stream | Optional< T > T | reduce(BinaryOperator< T > accumulator) reduce(T identity, BinaryOperator< T > accumulator) |
| IntStream | OptionalInt int | reduce(IntBinaryOperator op) reduce(int identity, IntBinaryOperator op) |
| LongStream | OptionalLong long | reduce(LongBinaryOperator op) reduce(long identity, LongBinaryOperator op) |
| DoubleStream | OptionalDouble double | reduce(DoubleBinaryOperator op) reduce(double identiry, DoubleBinaryOperator op) |
// 예제 1:
int sum = studentList.stream()
.map(Student :: getScore)
.reduce((a, b) -> a+b)
.get();
// 예제 2:
int sum = studentList.stream()
.map(Student :: getScore)
.reduce(0, (a, b) -> a+b);
스트림은 요소들을 필터링 또는 매핑한 후 요소들을 수집하는 최종 처리 메소드 collect()를 제공합니다. 이 메소드를 이용하면 필요한 요소만 컬렉션으로 담을 수 있습니다.
| 리턴 타입 | 메소드(매개 변수) | 인터페이스 |
|---|---|---|
| R | collect(Collector<T, A, R> collector) | Stream |
타입 파라미터 T는 요소, A는 누적기 (accumulator), R은 요소가 저장될 컬렉션을 의미함
| 리턴 타입 | Collectors의 정적 메소드 | 설명 |
|---|---|---|
| Collector<T, ?, List< T >> | toList() | T를 List에 저장 |
| Collector<T, ?, Set< T >> | toSet() | T를 Set에 저장 |
| Collector<T, ?, Collection< T >> | toCollection( Supplier<Collection< T >> ) | T를 Supplier가 제공한 Collection에 저장 |
| Collector<T, ?, Map<K, U>> | toMap( Function<T, K> keyMapper, Function<T, U> valueMapper) | T를 K와 U로 매핑해서 K를 키로, U를 값으로 Map에 저장 |
| Collector<T, ?, ConcurrentMap<K, U>> | toConcurrentMap( Function<T, K> keyMapper, Function<T, U> valueMapper) | T를 K와 U로 매핑해서 K를 키로, U를 값으로 ConcurrentMap에 저장 |
ConcurrentMap은 스레드에 안전함
List, Set, Map과 같은 컬렉션이 아니라 사용자 정의 컨테이너 객체에 요소들을 수집할 수도 있습니다.
| 인터페이스 | 리턴 타입 | 메소드(매개 변수) |
|---|---|---|
| Stream | R | collect(Supplier< R >, BiConsumer<R, ?, super T>, BiConsumer<R, R>) |
| IntStream | R | collect(Supplier< R >, ObjIntConsumer< R >, BiConsumer<R, R>) |
| LongStream | R | collect(Supplier< R >, ObjLongConsumer< R >, BiConsumer<R, R>) |
| DoubleStream | R | collect(Supplier< R >, ObjDoubleConsumer< R >, BiConsumer<R, R>) |
Supplier는 요소들이 수집될 컨테이너 객체(R)를 생성하는 역할을 합니다. 순차 처리(싱글 스레드) 스트림에서는 단 한 번 실행되고 하나의 컨테이너 객체를 생성합니다. 병렬 처리(멀티 스레드) 스트림에서는 여러 번 실행되고 스레드별로 여러 개의 컨테이너 객체를 생성합니다. 하지만 최종적으로 하나의 컨테이너 객체로 결합됩니다.XXXConsumer는 컨테이너 객체(R)에 요소(T)를 수집하는 역할을 합니다. 스트림에서 요소를 컨테이너에 수집할 때마다 실행됩니다.BiConsumer는 컨테이너 객체(R)를 결합하는 역할을 합니다. 순차 처리 스트림에서는 호출되지 않고, 병렬 처리 스트림에서만 호출되어 스레드별로 생성된 컨테이너 객체를 결합해서 최종 컨테이너 객체를 완성합니다.collect() 메소드는 단순히 요소를 수집하는 기능 이외에 컬렉션의 요소들을 그룹핑해서 Map객체를 생성하는 기능도 제공합니다. collect()를 호출할 때 Collectors의 groupingBy() 또는 groupingByConcurrent()가 리턴하는 Collector를 매개값으로 대입하면 됩니다.
groupingBy()는 스레드에 안전하지 않은 Map을 생성하고,
groupingByConcurrent()는 스레드에 안전한 ConcurrentMap을 생성합니다.

Collectors는 집계를 위해 다양한 Collector를 리턴하는 메소드를 제공합니다.

병렬 처리Parallel Operation란 멀티 코어 CPU 환경에서 하나의 작업을 분할해서 각각의 코어가 병렬적으로 처리하는 것을 의미합니다. 자바 8부터 요소를 병렬 처리할 수 있도록 하기 위해 병렬 스트림을 제공합니다.

전체 데이터를 쪼개어 서브 데이터들로 만들고, 이 서브 데이터들을 병렬 처리해서 작업을 빨리 끝내는 것을 의미합니다. 예를 들어 쿼드 코어 CPU일 경우 4개의 서브 요소들로 나누고, 4개의 스레드가 각각의 서브 요소들을 병렬 처리합니다.
자바 8에서 지원하는 병렬 스트림은 데이터 병렬성을 구현한 것입니다.
서로 다른 작업을 병렬 처리하는 것을 의미합니다. 대표적인 예는 웹 서버입니다. 웹 서버는 각각의 브라우저에서 요청한 내용을 개별 스레드에서 병렬로 처리합니다.
병렬 스트림은 요소들을 병렬 처리하기 위해 포크조인 프레임워크를 사용합니다.

포크조인 프레임워크는 포크와 조인 기능 이외에 스레드풀인 ForkJoinPool을 제공합니다. 각각의 코어에서 서브 요소를 처리하는 것은 개별 스레드가 해야 하므로 스레드 관리가 필요한데, ExecutorService의 구현 객체인 ForkJoinPool을 사용해서 작업 스레드를 관리합니다.
병렬 스트림을 이용할 경우에는 백그라운드에서 포크조인 프레임워크가 사용되기 때문에 간단히 병렬 처리를 할 수 있습니다. 병렬 스트림은 다음 두 가지 메소드로 얻습니다.

parallelStream() 메소드는 컬렉션으로부터 병렬 스트림을 바로 리턴합니다. parallel() 메소드는 순차 처리 스트림을 병렬 처리 스트림으로 변환해서 리턴합니다.