Retrun and State Value Function
Retrun G: 한 에피소드의 reward(보상)
GT=Rt+1+γRt+2+⋯=∑k=0∞γkRt+k+1
State value function V(S): 주어진 상황의 상태 St에서 측정되는 reward이다.
V(s)=E[Gt∣St=s]=E[Rt+1+γRt+2+γ2Rt+3+⋯∣St=s]=E[k=0∑∞γRt+k+1∣St=s]
Bellman equation
동적 프로그래밍 (dynamic programming)과 강화학습의 기본적인 개념이다.
특정 policy를 따르는 동안 상태의 값(value)와 그 상태로부터 얻을 수 있는 기대 누적 보상(return) 사이의 관계를 표현한다.
Dynamic Programming
Richard Bellman이 제안한 것으로 Bellman을 코드로 나타낸 것이다. 복잡한 문제를 단순한 문제와 작은 문제로 구분하여 재귀적으로 해결하는 문제 해결 기법이다.
예시) 피보나치 수열
fib(n)=fib(n−1)+fib(n−2)
Bellman Expectation Equation
Bellman Expectation Equation은 policy에 따른 상태의 값을 예상되는 즉각적인 보상과 다음 상태들의 기대값으로 표현한다.
For state-value function
In MRP model

In MDP model

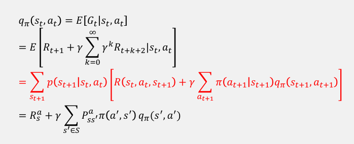
Action-Value Function
에이전트 𝜋가 상태 st에 대한 작업 at을 선택할 때의 평균을 반환한다. 정책 𝜋에 따른 구체적인 action이 얼마나 좋은지 추정한다. 이것들 Q-value 라고 부른다.
Notation: Qπ(st,at) or qπ(s,a)

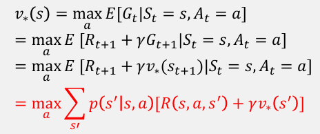
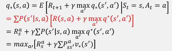
Bellman Optimality Equation
• 벨만 방정식은 모든 policy 𝝅에 대한 상태 값을 계산하는 방법을 보여준다.
• Bellman Optimality Equalies는 최적의 policy 𝝅에 초점을 맞춘다.
vπ∗(s)=πmaxvπ(s)forstatevalue
qπ∗(s,a)=πmaxqπ(s,a)foractionvalue
optimal State-Value Function
최적의 policy에 따른 상태의 값은 상태로부터 최상의 조치에 대한 기대 수익과 같아야 한다는 사실을 표현한다.

Optimal Action-Value Function
