
프로젝트의 성공 여부를 결정하는 가장 큰 요소는 무엇이라 생각하는가? 물론 여러가지 변수와 운이 작용하지만, 정말 불운한 경우가 아니라면, 어떠한 개인 또는 팀이 프로젝트에 대한 관리를 어떻게 진행 했는지가 가장 중요하다고 생각한다.
아무리 실력이 좋은 개발자라 하더라도, 본인이 맡은 프로젝트에 대한 관리를 하지 못한다면 그 개발자는 신뢰받지 못한다. 그렇기에 본인이 정말 코드만 치고 싶은 개발자라 하더라도, 기본적인 프로젝트 관리에 능숙해야 프로젝트 성공에 일조하는 좋은 개발자라 할 수 있다. 또한, 본인이 창업 또는 PM의 꿈을 가지고 있다면, 해당 영역은 더욱 더 중요할 것이다.
프로젝트는 너무나 많이 사용되는 단어이지만, 막상 그 단어를 정의하라고 하면 생각보다 쉽지 않을 것이다. 프로젝트를 정의하자면 다음과 같다.
"명확한 시작과 끝이 있는 일시적인 노력으로, 구체적인 결과나 성과를 내기 위해 실행되는 일련의 활동"
이 정의에서의 핵심 포인트는 3가지라 생각한다.
1) 명확한 시작과 끝이 있는
2) 구체적인 결과나 성과
3) 일련의 활동
즉, 프로젝트는 구체적인 목적을 성취하기 위해 명확한 기간을 두고 행하는 일련의 활동이라고 정의 가능하다. 기업이 새로운 제품을 개발하는 것, 국가가 일자리 창출을 위한 정책을 내는 것, 대학교 학생회가 행사를 주최하는 것, 등 등이 프로젝트의 예시다.
하지만 팀플이나 창업같이 거창한 것만이 프로젝트가 아니다. 당신이 학기 중 학점을 위해 공부를 하는 것도, 그리고 새로운 지식을 얻기 위해 이 글을 읽는 것도 관점에 따라 프로젝트라고 할 수 있을 것이다. 실제로 이번 학기 수강했던 스타트업프로젝트관리의 교수님은 우리의 인생은 병렬적으로 수행하는 프로젝트의 연속이라고 하셨다.
프로젝트 관리는 프로젝트의 목표를 효과적으로 달성하기 위해 자원을 계획, 조직, 동원, 그리고 관리하는 일련의 활동이다. 프로젝트의 가장 중요한 성질 중 하나는 바로 한정된 자원이다. 그 한정된 자원을 효율적으로 분배하여 프로젝트 성공 확률을 높이는게 프로젝트 관리이다. 프로젝트 관리는 일반적으로 통합관리 + 9가지 영역으로 나뉘어져 있다. 이번 글에서 각 각의 영역에 대해 간단히 설명하겠다.
통합 관리는 9개의 하위 관리 영역을 포괄하는 총괄적 관리 역할을 수행한다. 프로젝트의 모든 프로세스를 조율하며, 각 하위 분야가 효과적으로 관리되고 있는지를 감독한다. 프로젝트 착수, 프로젝트 계획, 프로젝트 실행, 프로젝트 통제, 프로젝트 종료로 이루어진다.
프로젝트 착수: 프로젝트 목적, 범위, 목표, 제약 사항, 리스크 등을 정의하고 프로젝트 팀을 구성한다.
프로젝트 계획: 프로젝트 목표를 달성하기 위한 계획을 수립하고 일정, 비용, 범위, 품질 등을 관리한다.
프로젝트 실행: 계획을 실행하고 프로젝트 결과물을 생성하며, 품질을 관리하고 리소스를 할당한다.
프로젝트 통제: 프로젝트 진행 상황을 모니터링하고 문제를 식별하며 조치를 취하여 프로젝트 목표 달성을 보장한다.
프로젝트 종료: 프로젝트 결과물을 완료하고 프로젝트를 종료하기 위한 활동을 수행한다.
범위 관리는 프로젝트의 성공을 위해 모든 작업을 포함하도록 하는 지식 영역이다. 프로젝트가 어떠한 목적을 위해 어떠한 작업이 필요한지에 대한 범위 설정을 함으로써 무엇을 포함하고 무엇을 배제할 것인지에 대해 결정하는 영역이다.
범위 관리 계획

요구 사항 수집 / 생성

검증 / 통제
프로젝트가 정해진 시기에 완료될 수 있도록 관리하는 것을 일정 관리라고 한다.

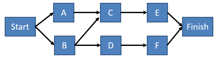
Gantt Chart vs. Precedence Diagramming Method (PDM)



최근에는 간트 차트보다 PDM 활용이 더 많다고 한다. 활동을 박스 형태로 표현하고 활동과 활동 사이의 의존관계를 화살표로 표시하기 때문에 여러가지 일정이 어떻게 꼬여있는지를 보여준다.
프로젝트가 승인된 예산 안에서 완료될 수 있도록, 비용을 계획/평가, 예산 편성, 자금 조달/관리/통제하는 지식 영역. 비용 추정 시에는 상향식, 하향식, 단계적 추정법이 있다.
상향식 추정법
햐향식 추정법

단계적 추정법

프로젝트 요구사항을 만족시키기 위하여 품질에 관한 정책, 목표, 의무 사항 등을 결정하는 활동들에 대한 영역
대부분 품질관리라 하면 제품에 대한 품질 관리로만 이해하는데, 여기서의 품질 관리는 프로젝트의 품질이다.
예를 들어, 당신이 어떠한 화장품에 대한 마켓팅 프로젝트를 진행하고 있다면, 해당 프로젝트의 품질 관리는 화장품의 품질을 관리하는 것이 아니다. 그것은 제품을 관리하는 다른 팀의 품질 관리 영역이고, 마켓팅 프로젝트에서의 품질 관리는 홍보물에 대한 품질 관리, 이용자들과의 소통에 대한 품질 관리, 또는 보편적으로 홍보가 잘 진행되고 있는지에 대한 관리가 포함될 것이다.

프로젝트에 필요한 자원들을 확인, 획득, 관리하는 프로세스들을 포함. 인적 자원과 물리적 자원이 대표적인 자원의 예시이다.

책임 배정 매트릭스를 사용하여 활동에 대한 책임자를 표현한다.

RBS (Resource Breakdown Structure)를 작성하여 자원의 범주와 유형에 따라 계층구조로 표현한다.

프로젝트 이해관계자들의 효율적인 의사소통을 통해 성공적 결과를 얻기 위한 프로세스들로 구성되어있다.
각 이해관계자 사이에 어떠한 의사소통이 이루어져야 하는지에 대한 계획을 설립한다.

사용할 소통툴과 정기 회의를 계획한다.

프로젝트가 처한 상황에서 리스크를 어떻게 잘 다루어서 성공으로 이어지게 할 것인가에 대한 관리 영역.

프로젝트 계획 시 어떠한 리스크가 어떠한 확률로 일어날지 그리고 얼만큼의 영향이 있을지에 대한 Probabiltiy & Impact Matrix를 작성한다.

정리된 리스크 별로 대응전력을 수립한다.

프로젝트에 필요한 제품이나 서비스를 외부로부터 구매하거나 획득하기 위한 지식 영역

조달처 선정 시 경쟁하는 요구사항들의 우선순위를 검토하는게 굉장히 중요하다. 프로젝트를 진행하는 팀 내에서 연관이 높은 팀원들과의 합의를 통해 조율한다.
조달처와 협상 진행 시 영향력을 행사하는 6가지 기법

이해관계자 관리는 프로젝트의 모든 이해관계자들을 식별하고, 그들의 요구사항과 기대를 이해하며, 이를 프로젝트 목표와 조화시키고, 이해관계자들과 적절하게 소통하는 전반적인 과정을 포함한다. 내부 이해관계자로는 팀원, 관리자, 경영진, 등이 있으며 외부 관계자로는 고객, 주주, 투자자 등이 있다. 기타 이해관계자로는 미디어, 및 경쟁사가 있을 것이다.

이해관계자의 유형에 따른 관리 전략을 세워야 한다.

글을 읽다보면 관리 영역 사이에 중복적인 내용이 존재하는 것을 알 수 있는데 모든 프로젝트가 9가지 영역을 모두 필요로 하는 것은 아니다. 프로젝트에 따라 더 중요시되는 관리 영역이 존재할 것이며, 필요없는 영역은 과감히 버리는 것도 전략이 될 수 있다.
앞서 언급했듯이 프로젝트는 거창한 것이 아니며 특정 목표를 위해 기간을 정해두고 행하는 모든 행동들이 프로젝트라 할 수 있다. 이번 글은 실제 취업이나 창업시에 필요한 전문적인 내용들로 구성되어 있으나 조금만 생각하면 팀플, 사이드 프로젝트, 또는 본인이 진행하는 어떠한 일상적인 프로젝트에도 적용이 가능하다.
전략적인 프로젝트 방법에 대해서 지속적인 공부를 하는것이 앞으로의 삶의 모든 방면에 도움이 될 것이라 생각한다.