
Using the definition of conditional probabilities, the decomposition (the joint probability of an entire sequence of words) using the chain rule of probability:

The intuition of the n-gram model is that instead of computing the probability of a word given its entire history, we can approximate the history by just the last few words.

The assumption that the probability of a word depends only on the previous word is called a Markov assumption. Markov models are the class of probabilistic models that assume we can predict the probability of some future unit without looking too far into the past. We can generalize the bigram (which looks one word into the past) to the trigram (which looks two words into the past) and thus to the n-gram (which looks n − 1 words into the past).
General equation for this n-gram approximation to the conditional probability of the next word in a sequence. We’ll use N here to mean the n-gram size, so N = 2 means bigrams and N = 3 means trigrams. Then we approximate the probability of a word given its entire context as follows:

To estimate probabilities, we use maximum likelihood estimation or MLE. For the general case of MLE n-gram parameter estimation:

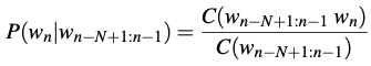
where is the count of the n-gram ,
and is the sum of all the n-gram that start with a given word = the sum of all n-gram counts that start with a given word must be equal to the unigram count for that word .
=> Equation estimates the n-gram probability by dividing the observed frequency of a particular sequence by the observed frequency of a prefix.
This ratio is called a relative frequency.
We always represent and compute language model probabilities in log format as log probabilities. Because:
1. Since probabilities are (by definition) less than or equal to 1, the more probabilities we multiply together, the smaller the product becomes.
2. Adding in log space is equivalent to multiplying in linear space, so we combine log probabilities by adding them.

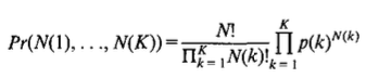
Here, we will use the term event or event class to describe the type of observations we are considering. When we are looking at word bigrams, the events will be the possible word pairs. In discussing conditional bigram probabilities for a fixed predecessor word, the events wil be the single words that may follow the fixed predecessor word.
Let us denote
For a set of observations (in training or testing), we have independent trials with possible outcomes, where the sample counts denote the number of trials resulting in class or outcome . The distribution of the sample counts is referred to as multinomial (or polynomial) distribution (Lehmann, 1983):

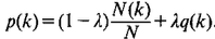
As we will see later, it is helpful to partition the event classes into equivalence classes according to their sample counts (Good, 1953), which is referred to as symmetry requirement (Nadas, 1985). Let , be the number of event classes which occured in the training text exactly r times and be the corresponding probability, i.e. we define:

where we have: for .
in terms of the sample counts and of the equivalence class counts :

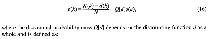
To guarantee non-zero probability estimates, we can modify the sample counts N(k) by adding a floor value which is chosen proportional to probabilities q(k) of a less specific distribution, e.g. unigram distribution or uniform distribution. After renormalization, we then obtain the probability estimates:


-> linear interpolation (each sample count is reduced("discounted") by a value . However, it can be argued that the higher the sample counts , the higher their contribution should be in the interpolation model.
We introduce a general discounting function that has to be subtracted from every sample count N(k) and obtain the following smoothing formula:



A constant value D with the range constraint0<D<1 can be intuitively interpreted as a correction that lies well within the range of the "discretization noise" of the discrete counts N(k). This nonlinear interpolation model has the following properties: