n명의 권투선수가 권투 대회에 참여했고 각각 1번부터 n번까지 번호를 받았습니다.
권투 경기는 1대1 방식으로 진행이 되고, 만약 A 선수가 B 선수보다 실력이 좋다면 A 선수는 B 선수를 항상 이깁니다.
심판은 주어진 경기 결과를 가지고 선수들의 순위를 매기려 합니다.
하지만 몇몇 경기 결과를 분실하여 정확하게 순위를 매길 수 없습니다.
선수의 수 n, 경기 결과를 담은 2차원 배열 results가 매개변수로 주어질 때
정확하게 순위를 매길 수 있는 선수의 수를 return 하도록 solution 함수를 작성해주세요.
선수의 수는 1명 이상 100명 이하입니다.
경기 결과는 1개 이상 4,500개 이하입니다.
results 배열 각 행 [A, B]는 A 선수가 B 선수를 이겼다는 의미입니다.
모든 경기 결과에는 모순이 없습니다.
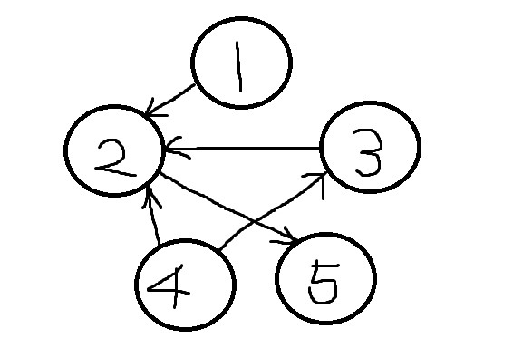
n : 5
results : [[4, 3], [4, 2], [3, 2], [1, 2], [2, 5]]
return : 2
2번 선수는 [1, 3, 4] 선수에게 패배했고 5번 선수에게 승리했기 때문에 4위입니다.
5번 선수는 4위인 2번 선수에게 패배했기 때문에 5위입니다.

입출력 예시를 승->패 방향의 그래프로 표현하면 위 그림과 같다. (그림판...)
해당 문제는 플로이드-워셜 알고리즘을 사용하여 풀이하면 된다.
플로이드-워셜 알고리즘을 통해 모든 지점으로부터 모든 지점으로까지의 경로를 구할 수 있다.
이 문제는 각 지점으로부터의 최단경로를 구하는것이 아닌, 누가 누구에게 이기고 졌는지만 알면 되므로
경로가 형성되는 경우, 1을 넣어 기록해둔다. 노드 간 거리 정보는 필요없다.
즉, 현재 인접행렬에는 선수1과 선수5의 관계가 표기되어있지 않지만,
플로이드-워셜 알고리즘을 통해 1->2->5 순서가 가능함을 파악할 수 있고, 이것은 선수1이 선수5를 이긴다는걸 의미한다.
n명의 선수가 있는 경우, n-1개의 경기기록이 있으면 본인의 순위를 정확히 알 수 있으므로,
def solution(n, results):
answer = 0
graph = [ [0] * (n + 1) for _ in range(n + 1)]
c_sum = [0] * (n + 1) # 각 선수의 패배횟수 기록
r_sum = [0] * (n + 1) # 각 선수의 승리횟수 기록
for win, lose in results:
graph[win][lose] = 1
for k in range(1, n + 1):
for win in range(1, n + 1):
for lose in range(1, n + 1): # a와 c의 기록이 없고, a->b이고 b->c이면, a->c이다.
if graph[win][lose] == 0 and graph[win][k] == 1 and graph[k][lose] == 1:
graph[win][lose] = 1
for win in range(1, n + 1):
for lose in range(1, n + 1):
c_sum[lose] += graph[win][lose] # 패배횟수 합산
r_sum[win] += graph[win][lose] # 승리횟수 합산
for i in range(1, n + 1):
if c_sum[i] + r_sum[i] == n - 1: # 패배횟수+승리횟수가 n-1이면
answer += 1 # 정확한 순위를 알 수 있는 선수이다.
return answer
같은 플로이드-워셜 풀이법이지만,
가독성 측면에서 훨씬 좋은 풀이를 참고하여 함께 기록해둔다!
WIN과 LOSE를 모두 기록해두어 훨씬 직관적이다.
def solution(n, results):
total = [['?' for i in range(n)] for j in range(n)]
for i in range(n):
total[i][i] = 'SELF'
for result in results:
total[result[0]-1][result[1]-1] = 'WIN'
total[result[1]-1][result[0]-1] = 'LOSE'
for k in range(n):
for i in range(n):
for j in range(n):
if total[i][k] == 'WIN' and total[k][j] == 'WIN':
total[i][j] = 'WIN'
elif total[i][k] == 'LOSE' and total[k][j] == 'LOSE':
total[i][j] = 'LOSE'
answer = 0
for i in total:
if '?' not in i:
answer += 1
return answer