감마분포(Gamma Distribution)

deejayosamu·2025년 1월 14일

여러가지 분포

목록 보기
6/10

Random Variable

연속형 확률 변수로 주로 대기 시간, 신뢰성 분석, 금융 모델링 등 다양한 분야에서 활용됨.
ex)
대기 시간 모델링: 특정 사건이 발생하기까지의 누적 대기 시간을 모델링하는 데 사용된다. 예를 들어, 포아송 과정에서 k번째 사건이 발생하기까지의 시간.
신뢰성 공학: 제품의 수명이나 고장 시간을 분석하는 데 활용된다.

감마함수(Gamma Function)

  • 정의
    Γ(α)=0yα1eydy\Gamma(\alpha)=\int_{0}^{\infty}y^{\alpha-1}e^{-y}dy

  • 특성
    ① Γ(α)=(α1)Γ(α1)② Γ(α)=(α1)! (α:positive integer)③ Γ(1)=1④ Γ(12)=π① \space \Gamma(\alpha)=(\alpha-1)\Gamma(\alpha-1)\\ ② \space \Gamma(\alpha)=(\alpha-1)! \space (\alpha:positive \space integer)\\ ③ \space \Gamma(1)=1\\ ④ \space \Gamma(\frac{1}{2})=\sqrt{\pi}

분포의 특성

  • pdf of XX(α:shape parameter,β:scale parameter)\alpha:shape \space parameter,\beta:scale \space parameter)
    f(x)=1Γ(α)βαxα1exβ (0<x<,α>0,β>0) f(x)=1?Let t=xβthen x=βt,dxdt=β,dx=βdt01Γ(α)βαxα1exβdx=01Γ(α)βα(βt)α1etβdt=1Γ(α)0βα1ββαtα1etdt=1f(x)=\frac{1}{\Gamma(\alpha) \beta^\alpha}x^{\alpha-1}e^{-\frac{x}{\beta}} \space (0<x<\infty,\alpha>0,\beta>0)\\\ \\ \int_{-\infty}^{\infty}f(x)=1?\\ Let \space t=\frac{x}{\beta}\\ then \space x=\beta t,\frac{dx}{dt}=\beta,dx=\beta dt\\ \int_{0}^{\infty}\frac{1}{\Gamma(\alpha) \beta^\alpha}x^{\alpha-1}e^{-\frac{x}{\beta}}dx=\int_{0}^{\infty}\frac{1}{\Gamma(\alpha) \beta^\alpha}(\beta t)^{\alpha-1}e^{-t}\beta dt=\frac{1}{\Gamma(\alpha)}\int_{0}^{\infty}\frac{\beta^{\alpha-1}\beta}{\beta^\alpha}t^{\alpha-1}e^{-t}dt=1

  • 기댓값
    E(X)=αβE(X)=\alpha \beta
    pf)
    E(X)=0x1Γ(α)βαxα1exβdx=1Γ(α)βα0xαexβdx=Γ(α+1)βα+1Γ(α)βα01Γ(α+1)βα+1xαexβdx=Γ(α+1)βα+1Γ(α)βα=αβE(X)=\int_{0}^{\infty}x\frac{1}{\Gamma(\alpha) \beta^\alpha}x^{\alpha-1}e^{-\frac{x}{\beta}}dx=\frac{1}{\Gamma(\alpha) \beta^\alpha}\int_{0}^{\infty}x^\alpha e^{-\frac{x}{\beta}}dx=\frac{\Gamma(\alpha+1) \beta^{\alpha+1}}{\Gamma(\alpha) \beta^\alpha}\int_{0}^{\infty}\frac{1}{\Gamma(\alpha+1) \beta^{\alpha+1}}x^{\alpha}e^{-\frac{x}{\beta}}dx=\frac{\Gamma(\alpha+1) \beta^{\alpha+1}}{\Gamma(\alpha) \beta^\alpha}=\alpha \beta

  • 분산
    Var(X)=αβ2Var(X)=\alpha \beta^2
    pf)
    variance_pf
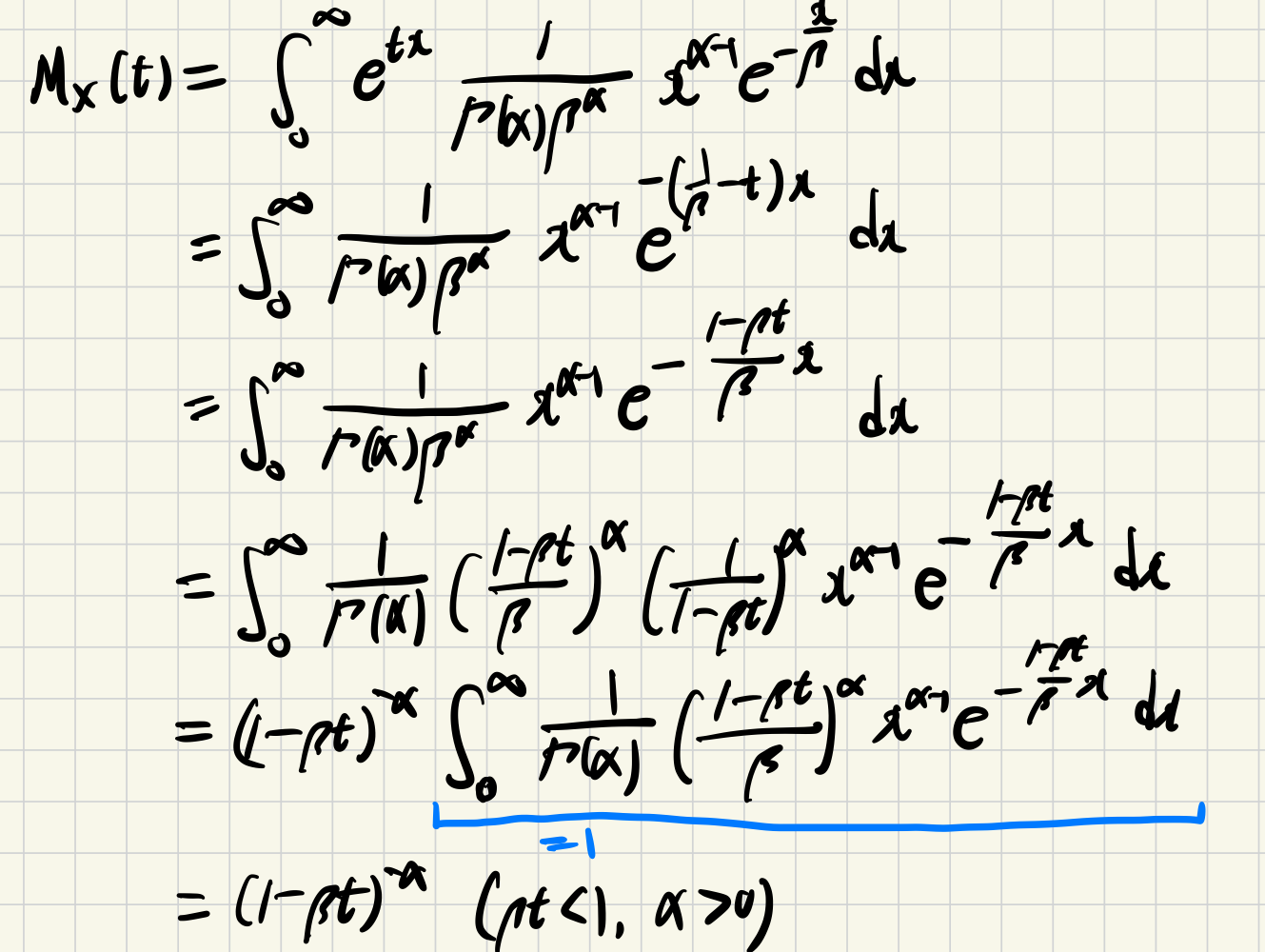
  • mgf
    MX(t)=(1βt)α (t<1β)M_X(t)=(1-\beta t)^{-\alpha} \space (t<\frac{1}{\beta})
    pf)
    mgf
  • pdf의 다른 표현
    When λ=1β,f(x)=λαΓ(α)xα1eλx (x>0,α>0,λ>0)E(X)=αλVar(X)=αλ2When \space \lambda=\frac{1}{\beta},\\ f(x)=\frac{\lambda^\alpha}{\Gamma(\alpha)}x^{\alpha-1}e^{-\lambda x} \space (x>0,\alpha>0,\lambda>0)\\ E(X)=\frac{\alpha}{\lambda}\\ Var(X)=\frac{\alpha}{\lambda^2}

0개의 댓글