Local과 Remote는 서로 push, pull 하면서 버전 공유
Remote 저장소 추가

Remote 저장소 주소 수정

이름 수정

삭제

정보 확인

상세보기

Pull
-> Remote Repository의 작업내용을 Local Repository에 동기화
-> 사실은 Fetch와 Merge의 과정

Push
-> Local Repository에서 작업한내용을 Remote Repository에 배포하고 싶을 때

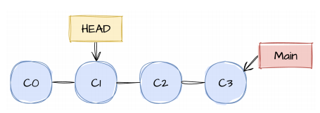
특정 버전으로 이동하는 것

Git Checkout 하면
-> 그 버전의 상태로 Working Directory 변경
-> Head가 Checkout 한 버전을 가리킴

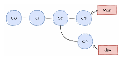
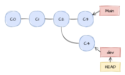
원래 코드를 복사하여 독립적으로 개발할 때 사용
특정 버전에서 새로운 Branch를 만들어서 작업하다가 병합 가능
Repository를 생성하면 main branch가 기본적으로 만들어짐

Remote + Local Branch

Git Branch 목록보기-Local

Git Branch 목록보기-Remote

Git Branch 목록보기-All

Git Branch 생성-Local

Git Branch 배포-Remote

Git Branch 삭제-Local

Git Branch 삭제-Remote

Git Branch간 이동


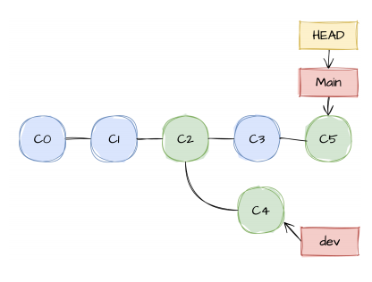
현재 위치한 버전에 다른 버전을 병합하는 것
Branch를 병합하거나 Push, Pull 할때도 일어남

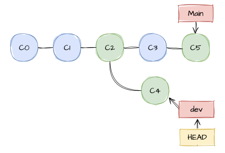
Main Branch에서 Dev Branch를 Merge

Merge Commit

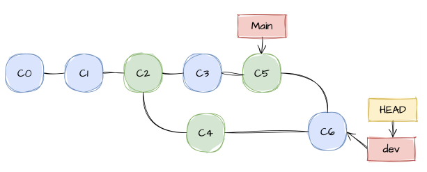
Dev Branch에서 Main Branch를 Merge

Merge Commit

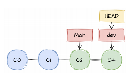
Dev Branch에서 변경사항이 없는 Main Branch를 Merge

Head의 위치에 주의해서 Merge를 시도해야 함


-> Conflict Message와 Git Status로 파악할 수 있음
-> Merge과정에서 충돌 발생시 가운데 =========를 기준으로 충동 부분 보여줌
-> Git Commit까지 완료되면 Conflict 상태가해지되어 Merge 할수있음
-> Git Commit이 실패하는경우 ‘git commit -i’로 강제 commit 할수있음
Push Pull 중에 Confilct가 발생하는 경우
Push 동작 중 Conflict 상황이 발생하면,
-> Push 가 실패함
->Pull 을 해서 Conflict 에러를 확인 할 수 있음
Pull 동작 중 Conflict 상황이 발생하면,
-> Fetch 만 되고 Merge 가 실패한 Conflict 상태가 됨
-> Conflict 를 해결하면 Merge Commit 이 완료됨
바로 Push 하지말고 항상 Pull 먼저 하는 습관이 좋음
특정 버전에 Tag를 달아놓을 필요가 있을 때 사용
Tag 이름으로 Checkout 할 수 있음
Tag 생성하기 - 현재버전

Tag 목록보기

Tag 생성하기-특정버전

Tag 배포하기-Remote

Tag 상세보기

Tag 삭제하기-Local

Tag 삭제하기-Remote

프로젝트에 대한 설명, 사용방법, 라이센스, 설치법과 같은 부분에 대해 기술하는 파일
포트폴리오 관리할 때 사용
Header-제목

BlockQuote-인용문

목록-숫자

목록-순서없이

코드블럭

수평선

링크

강조

이미지
-> 이슈만들기 이용하여 이미지를 업로드 후 생성된 링크를 가져다가 사용함
이 글은 제로베이스 데이터 취업 스쿨의 강의 자료 일부를 발췌하여 작성되었습니다