이번 프로젝트는 자전거 대여 시스템 데이터를 분석하여, 대여 패턴을 파악하고 수요 예측 모델을 개발하는 것을 목표로 한다.
운영 담당자의 입장에서 데이터를 해석하고, 자전거 배치 및 운영 전략을 최적화하는 방안을 도출하는 것이 핵심이다.
| 컬럼명 | 데이터 타입 | 설명 |
|---|---|---|
datetime | datetime | 자전거 대여 기록의 날짜 및 시간 (예: 2011-01-01 00:00:00) |
season | int | 계절 (1: 봄, 2: 여름, 3: 가을, 4: 겨울) |
holiday | int | 공휴일 여부 (0: 평일, 1: 공휴일) |
workingday | int | 근무일 여부 (0: 주말/공휴일, 1: 근무일) |
weather | int | 날씨 상황 (1: 맑음, 2: 구름낌/안개, 3: 약간의 비/눈, 4: 폭우/폭설) |
temp | float | 실측 온도 (섭씨 ℃) |
atemp | float | 체감 온도 (섭씨 ℃) |
humidity | int | 습도 (%) |
windspeed | float | 풍속 (m/s) |
casual | int | 등록되지 않은 사용자의 대여 수 |
registered | int | 등록된 사용자의 대여 수 |
count | int | 총 대여 수 (종속 변수, Target 변수) |
# 주요 라이브러리 import
import pandas as pd
import matplotlib.pyplot as plt
import seaborn as sns
import numpy as np
# 한글 폰트 설정
# Windows
plt.rc('font', family='Malgun Gothic')
# 음수 부호 하이픈 처리
plt.rcParams['axes.unicode_minus'] = False
# 데이터 불러오기
train = pd.read_csv('data/train.csv')
test = pd.read_csv('data/test.csv')
print(train.shape)
train.head()
(10886, 12)
| datetime | season | holiday | workingday | weather | temp | atemp | humidity | windspeed | casual | registered | count | |
|---|---|---|---|---|---|---|---|---|---|---|---|---|
| 0 | 2011-01-01 00:00:00 | 1 | 0 | 0 | 1 | 9.84 | 14.395 | 81 | 0.0 | 3 | 13 | 16 |
| 1 | 2011-01-01 01:00:00 | 1 | 0 | 0 | 1 | 9.02 | 13.635 | 80 | 0.0 | 8 | 32 | 40 |
| 2 | 2011-01-01 02:00:00 | 1 | 0 | 0 | 1 | 9.02 | 13.635 | 80 | 0.0 | 5 | 27 | 32 |
| 3 | 2011-01-01 03:00:00 | 1 | 0 | 0 | 1 | 9.84 | 14.395 | 75 | 0.0 | 3 | 10 | 13 |
| 4 | 2011-01-01 04:00:00 | 1 | 0 | 0 | 1 | 9.84 | 14.395 | 75 | 0.0 | 0 | 1 | 1 |
train.info()
<class 'pandas.core.frame.DataFrame'>
RangeIndex: 10886 entries, 0 to 10885
Data columns (total 12 columns):
# Column Non-Null Count Dtype
--- ------ -------------- -----
0 datetime 10886 non-null object
1 season 10886 non-null int64
2 holiday 10886 non-null int64
3 workingday 10886 non-null int64
4 weather 10886 non-null int64
5 temp 10886 non-null float64
6 atemp 10886 non-null float64
7 humidity 10886 non-null int64
8 windspeed 10886 non-null float64
9 casual 10886 non-null int64
10 registered 10886 non-null int64
11 count 10886 non-null int64
dtypes: float64(3), int64(8), object(1)
memory usage: 1020.7+ KB
print(test.shape)
test.head()
(6493, 9)
| datetime | season | holiday | workingday | weather | temp | atemp | humidity | windspeed | |
|---|---|---|---|---|---|---|---|---|---|
| 0 | 2011-01-20 00:00:00 | 1 | 0 | 1 | 1 | 10.66 | 11.365 | 56 | 26.0027 |
| 1 | 2011-01-20 01:00:00 | 1 | 0 | 1 | 1 | 10.66 | 13.635 | 56 | 0.0000 |
| 2 | 2011-01-20 02:00:00 | 1 | 0 | 1 | 1 | 10.66 | 13.635 | 56 | 0.0000 |
| 3 | 2011-01-20 03:00:00 | 1 | 0 | 1 | 1 | 10.66 | 12.880 | 56 | 11.0014 |
| 4 | 2011-01-20 04:00:00 | 1 | 0 | 1 | 1 | 10.66 | 12.880 | 56 | 11.0014 |
test.info()
<class 'pandas.core.frame.DataFrame'>
RangeIndex: 6493 entries, 0 to 6492
Data columns (total 9 columns):
# Column Non-Null Count Dtype
--- ------ -------------- -----
0 datetime 6493 non-null object
1 season 6493 non-null int64
2 holiday 6493 non-null int64
3 workingday 6493 non-null int64
4 weather 6493 non-null int64
5 temp 6493 non-null float64
6 atemp 6493 non-null float64
7 humidity 6493 non-null int64
8 windspeed 6493 non-null float64
dtypes: float64(3), int64(5), object(1)
memory usage: 456.7+ KB
# 학습용 데이터 처리
# 1. 중복 행 확인
print("Train 중복 행 수:", train.duplicated().sum())
# 2. 결측치 확인
print("Train 결측치:\n", train.isnull().sum())
# 3. 날짜 컬럼 데이터 타입 변환
train['datetime'] = pd.to_datetime(train['datetime'])
# 4. 월(month), 요일(day of week), 시간(hour) 컬럼 생성
train['month'] = train['datetime'].dt.month
train['dayofweek'] = train['datetime'].dt.dayofweek
train['hour'] = train['datetime'].dt.hour # EDA를 위해 반드시 필요
# 5. 주말(weekend) 컬럼 생성 (토: 5, 일: 6)
train['weekend'] = train['dayofweek'].apply(lambda x: 1 if x >= 5 else 0)
# 6. 범주형 데이터 타입 변환
cat_cols = ['month', 'dayofweek', 'weekend', 'hour']
for col in cat_cols:
train[col] = train[col].astype('category')
# 결과 확인
print(train.head())
Train 중복 행 수: 0
Train 결측치:
datetime 0
season 0
holiday 0
workingday 0
weather 0
temp 0
atemp 0
humidity 0
windspeed 0
casual 0
registered 0
count 0
dtype: int64
datetime season holiday workingday weather temp atemp \
0 2011-01-01 00:00:00 1 0 0 1 9.84 14.395
1 2011-01-01 01:00:00 1 0 0 1 9.02 13.635
2 2011-01-01 02:00:00 1 0 0 1 9.02 13.635
3 2011-01-01 03:00:00 1 0 0 1 9.84 14.395
4 2011-01-01 04:00:00 1 0 0 1 9.84 14.395
humidity windspeed casual registered count month dayofweek hour weekend
0 81 0.0 3 13 16 1 5 0 1
1 80 0.0 8 32 40 1 5 1 1
2 80 0.0 5 27 32 1 5 2 1
3 75 0.0 3 10 13 1 5 3 1
4 75 0.0 0 1 1 1 5 4 1
# 테스트 데이터 처리
# 1. 중복 행 확인
print("Test 중복 행 수:", test.duplicated().sum())
# 2. 결측치 확인
print("Test 결측치:\n", test.isnull().sum())
# 3. 날짜 컬럼 데이터 타입 변환
test['datetime'] = pd.to_datetime(test['datetime'])
# 4. 월(month), 요일(day of week), 시간(hour) 컬럼 생성
test['month'] = test['datetime'].dt.month
test['dayofweek'] = test['datetime'].dt.dayofweek
test['hour'] = test['datetime'].dt.hour # EDA/예측을 위해 반드시 필요
# 5. 주말(weekend) 컬럼 생성 (토: 5, 일: 6)
test['weekend'] = test['dayofweek'].apply(lambda x: 1 if x >= 5 else 0)
# 6. 범주형 데이터 타입 변환
cat_cols = ['month', 'dayofweek', 'weekend', 'hour']
for col in cat_cols:
test[col] = test[col].astype('category')
# 결과 확인
print(test.head())
Test 중복 행 수: 0
Test 결측치:
datetime 0
season 0
holiday 0
workingday 0
weather 0
temp 0
atemp 0
humidity 0
windspeed 0
dtype: int64
datetime season holiday workingday weather temp atemp \
0 2011-01-20 00:00:00 1 0 1 1 10.66 11.365
1 2011-01-20 01:00:00 1 0 1 1 10.66 13.635
2 2011-01-20 02:00:00 1 0 1 1 10.66 13.635
3 2011-01-20 03:00:00 1 0 1 1 10.66 12.880
4 2011-01-20 04:00:00 1 0 1 1 10.66 12.880
humidity windspeed month dayofweek hour weekend
0 56 26.0027 1 3 0 0
1 56 0.0000 1 3 1 0
2 56 0.0000 1 3 2 0
3 56 11.0014 1 3 3 0
4 56 11.0014 1 3 4 0
(1) 전체 대여량(count) 분포 시각화 (히스토그램, 박스플롯)
plt.figure(figsize=(12, 5))
plt.subplot(1, 2, 1)
sns.histplot(train['count'], bins=30, kde=True)
plt.title('대여량(count) 분포 - 히스토그램')
plt.subplot(1, 2, 2)
sns.boxplot(x=train['count'])
plt.title('대여량(count) 분포 - 박스플롯')
plt.show()

(2) 로그 변환 필요성 및 이상치(아웃라이어) 확인
plt.figure(figsize=(12, 5))
plt.subplot(1, 2, 1)
sns.histplot(np.log1p(train['count']), bins=30, kde=True)
plt.title('로그 변환된 대여량 분포')
plt.subplot(1, 2, 2)
sns.boxplot(x=np.log1p(train['count']))
plt.title('로그 변환된 대여량 박스플롯')
plt.show()
# 로그 변환을 하면 데이터가 더 "정규분포"에 가까워지고, 모델이 다양한 값을 더 잘 학습할 수 있음
# 이상치 확인: 박스플롯이나 히스토그램을 통해 대여량(count) 데이터에 극단적으로 큰 값(아웃라이어)이 있는지 확인함.
# 이상치가 많으면 모델이 그 값에 지나치게 영향을 받을 수 있음. 로그 변환을 하면 이런 극단값의 영향이 줄어듦.
# 자전거 수요 예측[1/4] 캐글 머신러닝 탐색적 데이터 분석 16분 30초 참조

(1) 시간(hour)별 대여량 변화 (라인플롯, 박스플롯)
# 시간(hour) 컬럼 생성: 데이터 정제 단계에서 처리하였음.
# train['hour'] = train['datetime'].dt.hour
# 그룹별 평균 계산
hourly_mean = train.groupby('hour', observed=False)['count'].mean().reset_index()
# 시간대별 평균 라인플롯
plt.figure(figsize=(12, 5))
sns.lineplot(x='hour', y='count', data=hourly_mean, marker='o')
plt.title('시간대별 평균 대여량 (lineplot)')
plt.xlabel('시간(hour)')
plt.ylabel('평균 대여량')
plt.xticks(range(0, 24)) # 0~23 1시간 단위 라벨
plt.grid(True, axis='x', alpha=0.3)
plt.show()
# 시간대별 대여량 분포 박스플롯
plt.figure(figsize=(12, 5))
sns.boxplot(x='hour', y='count', data=train)
plt.title('시간대별 대여량 분포 (Boxplot)')
plt.xlabel('시간(hour)')
plt.ylabel('대여량')
plt.xticks(range(0, 24)) # 0~23 1시간 단위 라벨
plt.show()


출퇴근 시간대에 대여량이 급등, 새벽과 심야에는 대여량이 매우 낮음
시간대별 자전거 대여 패턴: 출근 시간(7~8시), 퇴근 시간(17~18시)에 대여량이 집중적으로 증가
나머지 시간대(특히 새벽·심야와 낮 시간)에는 수요가 낮게 유지되는 '피크 타임 중심'의 형태를 보임
대여소 운영과 자전거 배치에서 피크 시간 집중 관리가 필요함을 시사
(2) 요일, 월, 계절별 대여량 시각화
# 요일별 평균 대여량 (바플롯 + 오차막대)
plt.figure(figsize=(12, 5))
sns.barplot(x='dayofweek', y='count', data=train, palette='Pastel1', hue='dayofweek', legend=False)
plt.title('요일별 평균 대여량 (Barplot + error bar)')
plt.xlabel('요일(0=월, 6=일)')
plt.ylabel('평균 대여량')
plt.show()
# 월별 평균 대여량 (바플롯 + 오차막대)
plt.figure(figsize=(12, 5))
sns.barplot(x='month', y='count', data=train, palette='Pastel1', hue='month', legend=False)
plt.title('월별 평균 대여량 (Barplot + error bar)')
plt.xlabel('월')
plt.ylabel('평균 대여량')
plt.show()
# 계절별 평균 대여량 (바플롯 + 오차막대)
plt.figure(figsize=(12, 5))
sns.barplot(x='season', y='count', data=train, palette='Pastel1', hue='season', legend=False)
plt.title('계절별 평균 대여량 (Barplot + error bar)')
plt.xlabel('계절(1=봄, 2=여름, 3=가을, 4=겨울)')
plt.ylabel('평균 대여량')
plt.show()



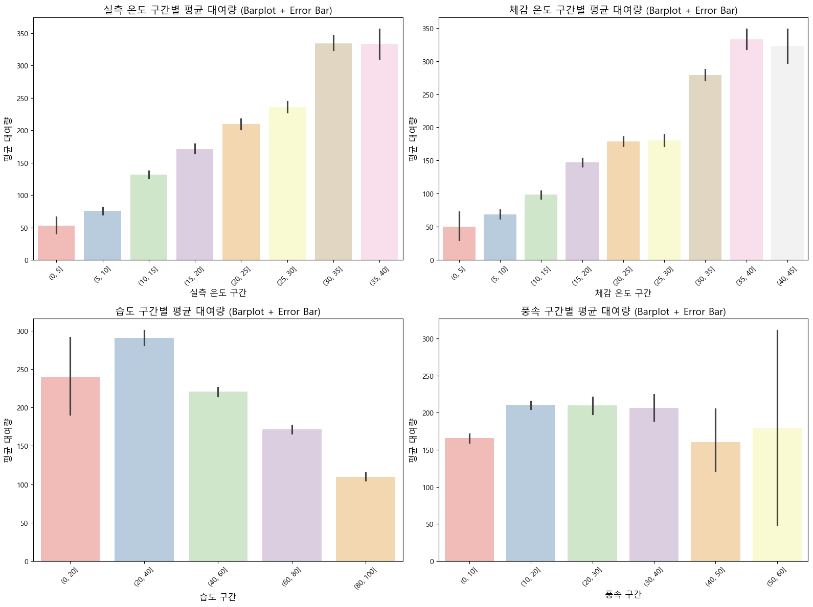
(1) 온도, 체감온도, 습도, 풍속, 날씨별 대여량 시각화
# 실측 온도, 체감온도, 습도, 풍속의 최댓값/최소값을 확인하여, 구간을 어떻게 나눌지 확인한다.
print(f"실측온도 최댓값: {train['temp'].max()}, 최솟값: {train['temp'].min()}")
print(f"체감온도 최댓값: {train['atemp'].max()}, 최솟값: {train['atemp'].min()}")
print(f"습도 최댓값: {train['humidity'].max()}, 최솟값: {train['humidity'].min()}")
print(f"풍속 최댓값: {train['windspeed'].max()}, 최솟값: {train['windspeed'].min()}")
실측온도 최댓값: 41.0, 최솟값: 0.82
체감온도 최댓값: 45.455, 최솟값: 0.76
습도 최댓값: 100, 최솟값: 0
풍속 최댓값: 56.9969, 최솟값: 0.0
# 1. 온도 구간으로 나누기 (0.82 ~ 41.0 → 5도 단위, 40도 초과 데이터는 1개이므로 시각화 미포함)
train['temp_bin'] = pd.cut(train['temp'], bins=[0, 5, 10, 15, 20, 25, 30, 35, 40])
# 2. 체감온도 구간으로 나누기 (0.76 ~ 45.455 → 5도 단위, 45도 초과 데이터는 1개이므로 시각화 미포함)
train['atemp_bin'] = pd.cut(train['atemp'], bins=[0, 5, 10, 15, 20, 25, 30, 35, 40, 45])
# 3. 습도 구간으로 나누기 (0 ~ 100 → 20% 단위)
train['humidity_bin'] = pd.cut(train['humidity'], bins=[0, 20, 40, 60, 80, 100])
# 4. 풍속 구간으로 나누기 (0 ~ 56.9969 → 10 단위)
train['windspeed_bin'] = pd.cut(train['windspeed'], bins=[0, 10, 20, 30, 40, 50, 60])
# 시각화
fig, axes = plt.subplots(2, 2, figsize=(16, 12))
# 온도 vs 대여량 (바플롯 + 오차막대)
sns.barplot(x='temp_bin', y='count', hue='temp_bin', data=train, ax=axes[0,0], palette='Pastel1', legend=False)
axes[0,0].set_title('실측 온도 구간별 평균 대여량 (Barplot + Error Bar)', fontsize=14)
axes[0,0].set_xlabel('실측 온도 구간', fontsize=12)
axes[0,0].set_ylabel('평균 대여량', fontsize=12)
axes[0,0].tick_params(axis='x', rotation=45)
# 체감온도 vs 대여량 (바플롯 + 오차막대)
sns.barplot(x='atemp_bin', y='count', hue='atemp_bin', data=train, ax=axes[0,1], palette='Pastel1', legend=False)
axes[0,1].set_title('체감 온도 구간별 평균 대여량 (Barplot + Error Bar)', fontsize=14)
axes[0,1].set_xlabel('체감 온도 구간', fontsize=12)
axes[0,1].set_ylabel('평균 대여량', fontsize=12)
axes[0,1].tick_params(axis='x', rotation=45)
# 습도 vs 대여량 (바플롯 + 오차막대)
sns.barplot(x='humidity_bin', y='count', hue='humidity_bin', data=train, ax=axes[1,0], palette='Pastel1', legend=False)
axes[1,0].set_title('습도 구간별 평균 대여량 (Barplot + Error Bar)', fontsize=14)
axes[1,0].set_xlabel('습도 구간', fontsize=12)
axes[1,0].set_ylabel('평균 대여량', fontsize=12)
axes[1,0].tick_params(axis='x', rotation=45)
# 풍속 vs 대여량 (바플롯 + 오차막대)
sns.barplot(x='windspeed_bin', y='count', hue='windspeed_bin', data=train, ax=axes[1,1], palette='Pastel1', legend=False)
axes[1,1].set_title('풍속 구간별 평균 대여량 (Barplot + Error Bar)', fontsize=14)
axes[1,1].set_xlabel('풍속 구간', fontsize=12)
axes[1,1].set_ylabel('평균 대여량', fontsize=12)
axes[1,1].tick_params(axis='x', rotation=45)
plt.tight_layout()
plt.show()
# 날씨 상태별 대여량 (바플롯 + 오차막대)
plt.figure(figsize=(12, 5))
sns.barplot(x='weather', y='count', hue='weather', data=train, palette='Pastel1', legend=False)
plt.title('날씨 상태별 평균 대여량 (Barplot + Error Bar)', fontsize=14)
plt.xlabel('날씨(1=맑음, 2=흐림, 3=비/눈, 4=폭우/폭설)', fontsize=12)
plt.ylabel('평균 대여량', fontsize=12)
plt.show()


# 온도 구간별 데이터 개수
print("온도 구간별 데이터 개수:")
print(train['temp_bin'].value_counts().sort_index())
print("\n")
# 체감온도 구간별 데이터 개수
print("체감온도 구간별 데이터 개수:")
print(train['atemp_bin'].value_counts().sort_index())
print("\n")
# 습도 구간별 데이터 개수
print("습도 구간별 데이터 개수:")
print(train['humidity_bin'].value_counts().sort_index())
print("\n")
# 풍속 구간별 데이터 개수
print("풍속 구간별 데이터 개수:")
print(train['windspeed_bin'].value_counts().sort_index())
온도 구간별 데이터 개수:
temp_bin
(0, 5] 129
(5, 10] 1130
(10, 15] 2134
(15, 20] 1915
(20, 25] 2080
(25, 30] 2254
(30, 35] 1051
(35, 40] 192
Name: count, dtype: int64
체감온도 구간별 데이터 개수:
atemp_bin
(0, 5] 44
(5, 10] 533
(10, 15] 1385
(15, 20] 1710
(20, 25] 2352
(25, 30] 1612
(30, 35] 2463
(35, 40] 638
(40, 45] 148
Name: count, dtype: int64
습도 구간별 데이터 개수:
humidity_bin
(0, 20] 56
(20, 40] 1560
(40, 60] 3564
(60, 80] 3382
(80, 100] 2302
Name: count, dtype: int64
풍속 구간별 데이터 개수:
windspeed_bin
(0, 10] 3026
(10, 20] 5052
(20, 30] 1068
(30, 40] 387
(40, 50] 36
(50, 60] 4
Name: count, dtype: int64
(1), (2) 온도/체감온도 구간별 평균 대여량
(3) 습도 구간별 평균 대여량
(4) 풍속 구간별 평균 대여량
(5) 날씨 상태별 평균 대여량
(2) 상관계수(heatmap)로 주요 변수와 count의 관계 확인
corr = train[['count', 'temp', 'atemp', 'humidity', 'windspeed']].corr()
plt.figure(figsize=(8, 6))
sns.heatmap(corr, annot=True, cmap='coolwarm')
plt.title('날씨 관련 변수와 자전거 대여량 상관 관계')
plt.show()

날씨 변수와 자전거 대여량 상관관계 히트맵 분석
피어슨 상관계수는 -1에서 1 사이의 값을 가지며, 1에 가까울수록 강한 양의 선형 상관관계, -1에 가까울수록 강한 음의 선형 상관관계를 의미한다.
그러나 count 변수와 상관계수가 0.5의 절대값을 넘는 변수는 없으므로, 변수 간 선형 관계는 뚜렷하지 않다.
실측 온도(temp), 체감온도(atemp)는 자전거 대여량과 모두 양의 상관관계()를 보인다.
온도가 높을수록 대여가 증가하는 경향이 있기는 하나, 주요 결정요인으로 단정하기는 어렵다.
습도(humidity) 또한 대여량과 약한 음의 상관관계()를 보여, 습도가 높아질수록 대여량이 다소 줄기는 하나, 역시 강한 영향으로 보기는 어렵다.
풍속(windspeed)는 대여량과의 상관계수가 매우 낮아(), 유의미한 선형 관계를 찾기 어렵다.
(1) 평일 vs 주말 대여량 비교
plt.figure(figsize=(8, 5))
sns.boxplot(x='weekend', y='count', data=train)
plt.title('평일 vs 주말 대여량 분포')
plt.xlabel('0=평일, 1=주말')
plt.ylabel('대여량')
plt.show()

(2) 근무일 vs 휴일 대여량 비교
plt.figure(figsize=(8, 5))
sns.boxplot(x='holiday', y='count', data=train)
plt.title('근무일 vs 휴일 대여량 분포')
plt.xlabel('0=근무일, 1=휴일')
plt.ylabel('대여량')
plt.show()

평일과 주말, 근무일과 휴일의 자전거 대여량 분포 분석
(1) 평일, 근무일인 경우 시간대별 자전거 대여량 분포
fig, axes = plt.subplots(2, 1, figsize=(12, 10))
# 평일 (weekend==0)
weekday = train[train['weekend'] == 0]
weekday_hour = weekday.groupby('hour', observed=True)['count'].mean().reindex(np.arange(0,24), fill_value=0).reset_index()
sns.lineplot(x='hour', y='count', data=weekday_hour, ax=axes[0], marker='o')
axes[0].set_title('평일 시간대별 평균 대여량')
axes[0].set_xlabel('시간대')
axes[0].set_ylabel('평균 대여량')
axes[0].set_xticks(np.arange(0,24))
# 근무일 (holiday==0)
workday = train[train['holiday'] == 0]
workday_hour = workday.groupby('hour', observed=True)['count'].mean().reindex(np.arange(0,24), fill_value=0).reset_index()
sns.lineplot(x='hour', y='count', data=workday_hour, ax=axes[1], marker='o')
axes[1].set_title('근무일 시간대별 평균 대여량')
axes[1].set_xlabel('시간대')
axes[1].set_ylabel('평균 대여량')
axes[1].set_xticks(np.arange(0,24))
plt.tight_layout()
plt.show()

(2) 주말, 공휴일인 경우 시간대별 자전거 대여량 분포
fig, axes = plt.subplots(2, 1, figsize=(12, 10))
# 주말 (weekend==1)
weekend = train[train['weekend'] == 1]
weekend_hour = weekend.groupby('hour', observed=True)['count'].mean().reindex(np.arange(0,24), fill_value=0).reset_index()
sns.lineplot(x='hour', y='count', data=weekend_hour, ax=axes[0], marker='o')
axes[0].set_title('주말 시간대별 평균 대여량')
axes[0].set_xlabel('시간대')
axes[0].set_ylabel('평균 대여량')
axes[0].set_xticks(np.arange(0,24))
# 공휴일 (holiday==1)
holiday = train[train['holiday'] == 1]
holiday_hour = holiday.groupby('hour', observed=True)['count'].mean().reindex(np.arange(0,24), fill_value=0).reset_index()
sns.lineplot(x='hour', y='count', data=holiday_hour, ax=axes[1], marker='o')
axes[1].set_title('공휴일 시간대별 평균 대여량')
axes[1].set_xlabel('시간대')
axes[1].set_ylabel('평균 대여량')
axes[1].set_xticks(np.arange(0,24))
plt.tight_layout()
plt.show()

(1) 종합 인사이트
자전거 대여량은 비정규, 비대칭 분포로 나타나며 이상치가 많아 로그 변환 또는 이상치 처리가 필요하다.
이는 RMSLE와 같은 로그 기반 손실 함수와도 일치하는 특징이다. 로그 변환을 적용하면 모델의 예측 안정성이 높아진다.
출퇴근 피크 타임(7~9시, 17~19시)에 대여 수요가 집중되고, 낮 시간에는 수요가 낮게 유지된다.
주말/공휴일에는 오전~오후 전반에 걸쳐 고른 이용이 나타난다.
이는 자전거가 평일에는 통근·통학 중심, 휴일에는 여가·레저 중심으로 고객층과 활용 목적이 달라진다는 점을 시사한다.
월별로 수요량을 비교해보았을 때, 4~10월이 성수기이며, 겨울에는 수요가 급감한다.
계절, 온도, 습도 등 기상요인은 대여량에 영향이 있긴 하나, 변수 간 단순 관계만으로는 완전한 수요 예측이 어렵다.
따라서 다양한 변수의 조합으로 접근이 필요하다.
요일별, 근무일/휴일 구분만으로는 대여 패턴 차이가 크지 않지만, 시간대와 결합한 분석에서는 명확한 패턴이 드러난다.
따라서 시간, 기상, 휴일/주말 등 복합적 상황을 모두 고려해야 운영 전략을 최적화할 수 있다.
대여량 분포의 이상치와 변동성 탓에 단일 평균 값이나 선형 회귀만으로는 현실적인 예측력이 부족할 수 있다.
하지만, 다중선형회귀 등 여러 변수를 함께 고려하는 모델을 활용하면 실무적으로도 충분히 예측이 가능하다.
(2) 모델 구현 방안
모델 선택
지금까지 배운 선형회귀, 다중선형회귀를 활용해 자전거 대여 수요 예측 모델을 구현할 수 있다.
다중선형회귀는 시간대, 요일, 월, 계절, 온도, 체감온도, 습도, 풍속, 날씨, 근무일/휴일/주말 등 다양한 변수를 입력(feature)로 활용해 대여량을 예측한다.
타겟 변수 전처리
대여량(count)은 비정규·비대칭 분포이므로, 로그 변환을 적용해 모델을 학습한다.
예측값을 제출할 때는 다시 지수 변환(np.exp)으로 원래 스케일로 복원한다.
모델 학습 및 평가
학습 데이터로 선형/다중선형회귀 모델을 학습하고, 예측 결과는 RMSLE(Root Mean Squared Logarithmic Error)로 평가한다.
RMSLE는 예측값과 실제값의 로그 차이를 기반으로 하므로, 로그 변환된 타겟에 적합한 평가 지표다.
특징 엔지니어링
시간, 요일, 월, 계절, 날씨 등 범주형 변수는 원-핫 인코딩 등으로 변환해 모델에 입력한다.
필요에 따라 파생변수(예: 시간대×날씨, 온도×습도 등)도 추가해 예측력을 높일 수 있다.
이상치 처리
이상치가 많은 데이터 특성을 고려해, 로그 변환 외에도 박스플롯 등으로 극단값을 확인하고 필요시 제거하거나 별도 관리한다.
모델 학습 및 성능 평가
선형/다중선형회귀로 자전거 수요 예측 모델을 구현하여, RMSLE로 성능을 평가한다.
추후 더 복잡한 모델(랜덤포레스트, 앙상블 등)을 배우면 추가적으로 적용해볼 수 있다.
(1) 데이터 전처리 및 특징 엔지니어링
train = pd.read_csv('data/train.csv')
test = pd.read_csv('data/test.csv')
# datetime 파생 변수 생성
for df in [train, test]:
df['datetime'] = pd.to_datetime(df['datetime'])
df['hour'] = df['datetime'].dt.hour
df['month'] = df['datetime'].dt.month
df['dayofweek'] = df['datetime'].dt.dayofweek
df['weekend'] = (df['dayofweek'] >= 5).astype(int)
# 결측치 확인 및 처리
print(train.isnull().sum())
train = train.dropna()
datetime 0
season 0
holiday 0
workingday 0
weather 0
temp 0
atemp 0
humidity 0
windspeed 0
casual 0
registered 0
count 0
hour 0
month 0
dayofweek 0
weekend 0
dtype: int64
(2) 범주형 변수 인코딩(원-핫 인코딩 등)
cat_cols = ['season', 'weather', 'holiday', 'workingday', 'month', 'hour', 'dayofweek', 'weekend']
train = pd.get_dummies(train, columns=cat_cols)
test = pd.get_dummies(test, columns=cat_cols)
# train/test 컬럼 맞추기
missing_cols = set(train.columns) - set(test.columns)
for col in missing_cols:
test[col] = 0
test = test[train.columns.drop(['count', 'casual', 'registered'])]
(3) 이상치 탐지 및 처리
plt.figure(figsize=(8,5))
plt.boxplot(train['count'])
plt.title('대여량 이상치 확인')
plt.show()
# 필요시 이상치 제거 (예시: IQR 방식)
Q1 = train['count'].quantile(0.25)
Q3 = train['count'].quantile(0.75)
IQR = Q3 - Q1
train = train[(train['count'] >= Q1 - 1.5*IQR) & (train['count'] <= Q3 + 1.5*IQR)]

(4) 타겟 변수 로그 변환
train['count_log'] = np.log1p(train['count'])
(1) 학습/평가 데이터셋 분리
X_train = train.drop(['count', 'count_log', 'datetime', 'casual', 'registered'], axis=1)
y_train = train['count_log']
X_test = test.drop(['datetime'], axis=1)
# 이미 위에서 컬럼 맞춤 처리함
(1) 선형/다중선형회귀 모델 학습
from sklearn.linear_model import LinearRegression
model = LinearRegression()
model.fit(X_train, y_train)
LinearRegression()In a Jupyter environment, please rerun this cell to show the HTML representation or trust the notebook.
(2) 예측 및 타겟 역변환
y_pred_log = model.predict(X_test)
y_pred = np.expm1(y_pred_log) # 예측값 역변환
(1) RMSLE 계산 및 해석
test 데이터에는 실제 count 값이 없으므로, RMSLE 평가는 train 데이터 내에서 교차검증 또는 검증셋 분할로 진행해야 한다.
from sklearn.model_selection import train_test_split
X_tr, X_val, y_tr, y_val = train_test_split(X_train, y_train, test_size=0.2, random_state=42)
model.fit(X_tr, y_tr)
y_val_pred_log = model.predict(X_val)
y_val_pred = np.expm1(y_val_pred_log)
y_val_true = np.expm1(y_val)
from sklearn.metrics import mean_squared_log_error
rmsle = np.sqrt(mean_squared_log_error(y_val_true, y_val_pred))
print('RMSLE:', rmsle)
RMSLE: 0.633910357148923
(2) 예측 결과 시각화 및 실제값 비교
plt.figure(figsize=(8,5))
plt.scatter(y_val_true, y_val_pred, alpha=0.5)
plt.xlabel('실제 대여량')
plt.ylabel('예측 대여량')
plt.title('실제값 vs 예측값')
plt.plot([y_val_true.min(), y_val_true.max()], [y_val_true.min(), y_val_true.max()], 'r--')
plt.show()

(1) 회귀계수 해석
feature_importance = pd.Series(model.coef_, index=X_train.columns).sort_values(ascending=False)
print(feature_importance)
hour_17 1.213681
hour_18 1.131867
hour_8 1.002064
hour_19 0.970833
hour_16 0.892340
...
hour_1 -1.395602
hour_5 -1.661600
hour_2 -1.863352
hour_3 -2.338659
hour_4 -2.608619
Length: 61, dtype: float64
(2) 주요 변수 기반 운영 전략 제안
(1) 모델 한계 및 추가 개선 아이디어
(2) 추후 적용 가능한 고도화 모델(랜덤포레스트, 앙상블 등) 소개