밑바닥부터 시작하는 딥러닝1 - ch03 신경망 (78-90p)

김민서·2025년 8월 24일
0

밑바닥딥러닝1

목록 보기
5/5

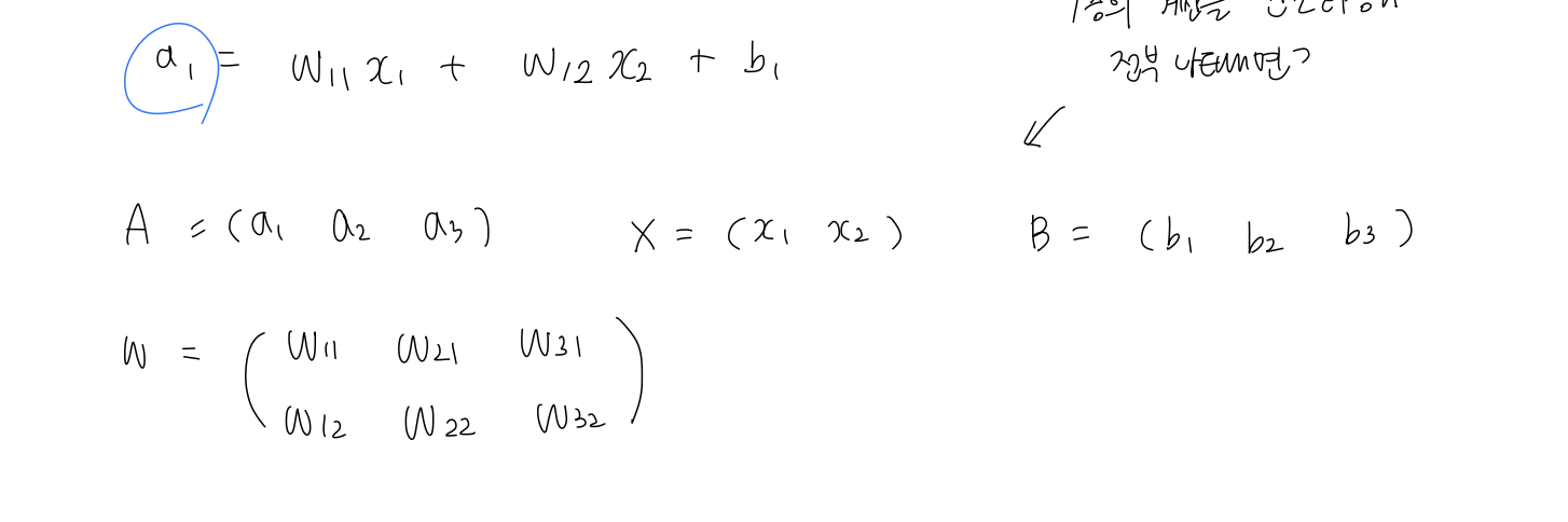
넘파이의 다차원 배열을 사용 > 효율적인 신경망 구현 가능
특히 행렬의 곱을 사용해 신경망의 각 층의 계산을 간소화하여 나타낼 수 있음

같은 층의 각 뉴런마다 편향이 달라야 하는 이유?

  • 각 뉴런은 데이터를 나누는 선(또는 평면)을 하나씩 만든다고 생각하면 되는데,뉴런이 여러 개 모이면 이 경계들이 조합돼서 훨씬 복잡한 도형이나 패턴을 그릴 수 있게 됨
  • 편향이 같으면 똑같은 기준선만을 가지게 되고, 편향이 다르면 복잡한 모양을 더 잘 표현할 수 있음



1개의 댓글

comment-user-thumbnail
2025년 8월 26일

장보고갑니다.

답글 달기