문제를 하나 내보겠습니다. 세계 최초의 프로그래머는 누구였을까요?
프로그래밍 역사에 관심이 많은 분들이라면 앨런 튜링이나 폰 노이만 같은 유명한 컴퓨터 과학 선구자들이 떠오를 것 같습니다. 하지만 정답은 놀랍게도 19세기 빅토리아 시대의 한 여성입니다.


바이런 남작가의 외동딸로 태어나 인류 최초의 프로그래머로 인정받고 있는 에이다 러브레이스가 이 포스팅의 주인공입니다.
처음 이 사실을 알았을 때 깜짝 놀랐던 게 기억납니다. 저는 그 당시 프로그래머는 너디한 남성이 대부분이라는 스테레오타입을 갖고 있었거든요. 그런데 여성들이 과학 논문을 자기 이름으로 내는 것조차 어려웠던 시절에, 심지어 현대 컴퓨터가 등장하기도 100년도 전에 한 여성에 의해 프로그래밍의 역사가 시작되었다니요!
"잠깐, 컴퓨터도 없던 시절에 어떻게 프로그래머가 될 수 있는 거죠?"
라는 자연스러운 의문은 잠시 뒤에 설명하도록 하겠습니다.
현재 재직 중인 회사에서는 서로를 이름 대신 영어 닉네임으로 부르는 문화가 있습니다. 저는 에이다 러브레이스의 이름을 훔쳐 제 닉네임으로 'ADA'를 선택했습니다. 닉네임을 정할 때 에이다나 관계자의 허락을 받지 않고 빌렸기에 일종의 훔친 상태이지요.
예전부터 흥미가 있었지만 이름을 훔친 뒤 더 관심이 생겨 최근에는 그와 관련된 책을 한 권 읽었습니다. "에이다, 당신이군요. 최초의 프로그래머"라는 그래픽 노블인데 만만해보이는 장르와는 달리 어려운(하지만 흥미로운) 글로 꽉꽉 채워진 책이었어요.
책을 다 읽은 저는 누군가에게 알게 된 내용들을 떠들고 싶어 참을 수 없어져 블로그에 올릴 글을 얼른 적게 되었습니다. 여러분도 이 포스팅을 읽고 에이다가 궁금해졌다면 읽어보시기를 강력히 권장합니다!!

아주 귀여운 고양이도 나온다구요!
에이다 러브레이스는 1815년 영국에서 태어났습니다. 아버지는 당시 아주아주 유명한 낭만주의 시인, 조지 고든 바이런 경입니다. 바이런 경은 에이다가 태어난 지 한 달 만에 부인과 이혼했고 그 후 딸을 다시 만나지 못했습니다.
에이다의 어머니 애너벨라는 딸이 그런 아버지를 닮는 것을 원치 않았습니다. 그래서 에이다에게 시를 멀리하고 엄격한 수학 교육을 시켰죠. 이것이 훗날 컴퓨팅의 역사를 바꾸는 기반이 되리라고는 아무도 예상하지 못했을 겁니다.
당시 여성들은 대학에 진학할 수도, 과학 단체에 공식적으로 가입할 수도 없었습니다. 하지만 에이다는 당대 최고의 가정교사들의 가르침과 열정적인 독학을 통해 수학과 과학에 깊이 빠져들었습니다.
1833년, 17세의 에이다는 찰스 배비지를 만납니다. 배비지는 당시 '차분 기관'이라는 기계식 계산기를 개발 중이었죠. 서로의 천재성을 알아본 두 사람은 곧 파트너가 되었고, 배비지의 다음 프로젝트인 '해석 기관'에 대해 깊은 대화를 나누게 됩니다. 이후에도 꾸준히 편지를 주고 받으며 일생의 소울메이트로 남게 되지요.
해석 기관은 현대 컴퓨터의 원형이라 할 수 있는 혁신적인 설계였습니다. 하지만 배비지와 에이다의 결정적인 차이점이 있었죠.
배비지는 해석 기관을 단순한 숫자 계산기로 봤지만 에이다는 그것이 숫자 이상의 것을 다룰 수 있는 기계임을 직관적으로 이해했습니다.
비록 당시의 기술적 한계와 찰스 배비지의 안좋은 습관으로 인해 실제로 구현되지는 못했지만, 튜링 머신이라는 모델이 고안된 후 해석 기관은 튜링 완전성을 충족하는 최초로 설계된 컴퓨터로 인정받았습니다. 따라서 해석 기관을 위한 알고리즘을 고안했던 에이다는 역사상 최초의 프로그래머가 되는 것이지요.
참고로 찰스 배비지의 안좋은 습관이란 개발자들 사이에서도 자주 나타나는 '이전 작업물을 갈아엎고 처음부터 새로 설계하는 욕망:리셋병'을 자주 실행으로 옮겼던 것입니다

1843년, 에이다는 이탈리아 수학자 루이지 메나브레아가 작성한 분석 엔진에 관한 논문을 번역하게 됩니다. 그런데 단순히 번역에 그치지 않고 자신의 통찰력을 담은 주석을 마구마구 추가했죠. 그 주석의 길이는 원 논문의 3배에 달했습니다. 현대로 따지자면 깃허브의 오픈 소스 프로젝트에 원래 코드보다 훨씬 많은 양의 PR을 넣은 느낌일 것 같네요 ㅋㅋㅋ
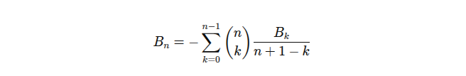
특히 '노트 G'라는 유명한 주석에서 해석 기관으로 베르누이 수를 계산하는 알고리즘이 자세히 기록되어 있습니다. 이것이 바로 역사상 최초로 출판된 컴퓨터 알고리즘이 되었죠.

이 노트에는 위 핵심 재귀방적식을 계산하기 위한 반복문, 변수 할당, 조건부 분기 등 현대 프로그래밍의 핵심 개념들이 포함되어 있었습니다. 여러분이 아무런 의문 없이 일상적으로 사용하는 프로그래밍 구문의 원시적 개념이 이미 1843년에 존재했던 것입니다.
가장 놀라운 점은 이 알고리즘은 앞서 설명했듯 물리적으로 존재하지 않는 기계를 위해 작성했다는 사실입니다. 에이다는 오직 설계도만 보고 머릿속에서 그 작동 방식을 완벽히 이해한 후, 그것을 위한 알고리즘을 '상상코딩'했던 것입니다.

여담으로 디버깅은 커녕 실행조차 할 수 없는 환경에서 작성한 알고리즘이라 이후 다른 프로그래밍 언어로 번역한 후에야 작은 버그가 있었음을 확인했다고 하네요
에이다의 직관력은 단순히 알고리즘 작성에만 머물지 않았습니다. 그는 해석 기관이 다음과 같은 일을 할 수 있을 것이라 예측했습니다:
특히 마지막 통찰은 오늘날 AI에 대한 논쟁에서도 여전히 유효한 핵심 원칙입니다. 에이다는 컴퓨터 시대가 도래하기 100년도 더 전에 이미 컴퓨터 과학의 근본적인 원리와 한계를 이해하고 있었던 것이죠. 이런 선구적 통찰은 그가 단순한 프로그래머가 아니라 컴퓨터 과학의 철학적 기초를 놓은 인물임을 보여줍니다.
그는 이렇게 말했습니다:
"해석 기관은 자카르 직기가 꽃과 나뭇잎 무늬를 짜듯, 대수학적 패턴을 짠다"
이 한 문장에는 프로그래밍의 본질과 알고리즘의 창조적 가능성이 함축되어 있습니다. 인류가 아직 컴퓨터라는 개념조차 상상하지 못했던 시대에 말이죠.
그 통찰을 인정받아서인지 그의 이름을 딴 '러브레이스 테스트'라는 테스트가 고안되기도 했습니다. 이는 AI가 창조할 수 있는지를 확인하는 테스트입니다.
에이다 러브레이스의 업적에 대해서는 현대에 들어 치열한 논쟁이 벌어지고 있습니다. 혹자는 그가 배비지의 아이디어를 단순히 옮겼거나, 알고리즘이 너무 단순하며, 페미니즘적 아이콘으로 상징화되기 위해 과대평가되었다고 주장합니다.
이 논쟁은 주로 에이다의 기여를 명확히 증명할 1차 사료가 부족하기 때문에 지속됩니다. 여기에는 빅토리아 시대적 특징으로 여성 과학자의 기록 부족, 에이다의 복잡한 개인사와 사후 자료 관리 문제, 배비지와의 불분명한 협업 관계 등 복합적인 이유가 있습니다.
하지만 이러한 비판은 역사적 맥락을 간과한 면이 있습니다. 배비지 스스로 에이다를 "수의 마법사"라 칭하며 높이 평가했고, 에이다의 핵심 기여는 코드 자체보다 해석 기관의 범용적 가능성에 대한 개념적 통찰이었습니다. 당시 여성의 사회적 제약을 고려할 때 그의 성취는 더욱 놀랍습니다.
안타깝게도 에이다는 36세라는 젊은 나이에 세상을 떠났습니다. 업적이 제대로 인정받기 시작한 것은 그로부터 약 100년이 지난 후였죠. 하지만 이제는 그의 이름이 프로그래밍의 역사에 깊이 새겨져 있습니다. 매년 10월 둘째 주 화요일은 '에이다 러브레이스의 날'로 지정되어 여성들의 과학, 기술, 공학, 수학 분야 기여를 축하하는 날이 되었습니다.
또한 미 국방성이 개발한 프로그래밍 언어 Ada는 그의 이름을 딴 것입니다. 이 언어는 고신뢰성 안전성이 중요한 군사 및 항공우주 분야에서 널리 사용되고 있죠. 최근에는 엔비디아의 그래픽카드, GeForce 40 시리즈의 코드네임으로 'Ada Lovelace'가 사용되기도 했습니다.
이렇듯 업적에 대한 논쟁과는 별개로 에이다 러브레이스가 현대 기술과 사회에 미친 영향력은 부인할 수 없습니다. 어쩌면 아직까지 논쟁이 일어나고 있다는 것 자체가 에이다의 업적이 오늘날까지도 컴퓨터 과학에 중요한 영향을 미치고 있음에 대한 일종의 방증이 아닐까요?

프로그래밍의 역사는 우리가 생각했던 것보다 더 오래되었고, 심지어 컴퓨터보다도 더 오래되었습니다. 그리고 그 시작점에는 놀랍게도 한 여성이 있었습니다. 에이다 러브레이스는 물리적인 컴퓨터가 존재하기도 전에 그 기계가 단순한 계산을 넘어 음악이나 그림 같은 다양한 정보를 다룰 수 있는 범용적인 기계가 될 수 있음을 꿰뚫어 본 최초의 인물이었습니다.
그는 해석 기관의 설계도만 보고도 그 작동 원리를 이해하고, '프로그래밍'이라는 개념 자체를 정립했으며 심지어 최초의 알고리즘까지 고안해냈습니다. 이는 에이다가 단순한 기술자가 아니라 컴퓨터 과학의 철학적 기초를 다진 선구자였음을 보여줍니다. 이처럼 기계 너머의 본질을 본 그의 통찰은 오늘날 우리에게도 깊은 울림을 줍니다.
"진정한 프로그래밍은 기계가 아닌 사고에서 시작된다."
에이다의 통찰은 오늘날의 프로그래머들에게도 중요한 교훈을 남깁니다. 그가 기계의 물리적 구현을 넘어 본질적인 가능성을 보았듯, 현대 프로그래밍에서도 추상화와 인터페이스 설계의 중요성이 강조됩니다. 또한 그의 예견처럼 컴퓨터는 단순한 계산기를 넘어 AI, 가상현실, 디지털 아트 등 다양한 창조적 영역에서 활용되고 있습니다.
다음에 코드를 짜다 문득 에이다 러브레이스의 이름이 떠오른다면 여러분도 옆 사람에게 물어보세요. "최초의 프로그래머가 누구였을까요?" 그리고 오답을 말한다면 씨익 웃으며 에이다 러브레이스의 이야기를 들려주세요! 프로그래밍의 역사는 우리가 생각하는 것보다 더 다양하고 풍부한 이야기로 가득 차 있답니다.
긴 글 읽어주셔서 감사합니다! 좋은 하루 되세요!
글이 정말 재밌고 유익하네요! 잘 봤습니다 ☘️
리셋병은 1800년대에도 존재했군요...