

cost function + 가중치 크기 => 가중치가 너무 크지 않은 방향으로 학습
학습률이 상수가 0에 가까울 수록 정규화 효과가 사라짐
가중치 절댓값을 더해줌
w: 편미분 시 상수값이 되어버리고 부호에 따라 +-가 결정됨.
가중치가 너무 작은 경우는 weight = 0이된다.(일부 항의 계수를 0으로 만든다)


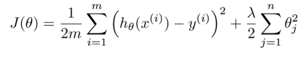
제곱한 가중치를 더한다
가중치 줄이기: 편미분 + back propagation(일정 비율로)
이상치 방지한다.(이상치에 예민함)
Weight decay : 가중치의 제곱을 포함하여 너무 크지 않은 방향으로 학습 시키기
일부 항을 0으로 만들지 않고 전체 w의 값을 완만하게한다.
효과: 전체적으로 W값이 작아지게 한다.

