



Confidence map 학습을 위한 Ground truth 데이터 생성
K명의 사람, J개의 신체 부위 -> J x K 개의 GT CM 생성
각 CM 당 최대 1개의 Peak 보유
신체 부위를 찾지 못하면 0으로 처리

각 사람별 관절에 대한 Confidence map을 통합하여 각 관절에 대한 CM 생성
동일한 관절의 위치가 다르므로 높은 값들을 모아 하나의 map으로 통합

여러 사람의 어깨에 대한 Confidence map


사람 k 마다 limb type c 별 GT PAF 생성 (k x c)
Limb의 두께를 정한 뒤 limb 사이의 임의의 좌표 p를 두 좌표 간의 단위벡터로 설정, 벡터 필드 생성
위 사진처럼 limb 별 Part Affinity Field 결합

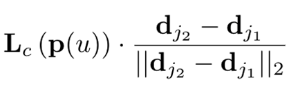
limb 사이의 점 p 가 limb 위에 있다면 단위벡터 v

v는 limb 두 점 사이의 단위벡터

Confidence map에서 탐지한 각 신체 부위 후보 dj1, dj2의 단위벡터와 Part Affinity Field의 벡터 필드와 내적

Part Affinity Field는 벡터 필드이므로 limb 사이의 픽셀에 대해 적분하여 점수 E 계산

p(u) = limb 사이의 픽셀

모든 신체 부위간의 연결을 동시에 고려한다면 막대한 양의 limb 생성 (사진 b)
Hungarian Maximum Matching Algorithm 사용 O(n!) -> O(|V|^3)
최소한의 연결 후보 edge로 연결 대상을 줄임
ex) 왼쪽 팔꿈치에서는 왼쪽 손 혹은 왼쪽 어깨로만 연결이 가능

Bipartite matching graph 과정
표의 값은 PAF와 CM의 벡터 내적으로 구한 Associatoin Score E
사람 1에서 사람2의 손에 대한 점수가 더 높아도 최적 연결을 시행하면 정확한 결과가 나온다

