확장 칼만 필터(Extended Kalman Filter, EKF)는 센서 측정 데이터로부터 시스템 상태를 추정하는데 널리 사용되는 알고리즘이다.
이 알고리즘은 칼만 필터(Kalman Filter)의 확장된 형태로, 비선형 시스템 및 측정 방정식에 대한 선형화 과정을 포함한다. 이번 글 에서는 EKF의 필요성, 기본 이론, 그리고 JavaScript환경에서의 예제를 살펴보고자 한다.
일반적인 칼만 필터는 선형 시스템 및 선형 측정 방정식에만 적용될 수 있다.
그러나 많은 시스템은 비선형이거나, 선형성이 근사적일 수 있기 때문에 따라서, 비선형 시스템 및 측정 방정식을 모델링하는데 필요한 확장된 필터링 기법이 필요하다.
EKF는 시스템 및 측정 방정식의 선형화를 통해 이러한 문제를 해결하는 알고리즘이다.
EKF는 시스템 상태를 추정하기 위해 다음의 두 단계를 반복적으로 수행한다.
현재 상태 및 제어 입력에 기반하여 다음 상태를 예측한다.
이는 시스템 모델(주로 동역학 방정식)을 사용하여 수행한다.
상태 예측의 불확실성을 나타내는 공분산 행렬을 예측한다.
이는 선형화된 시스템 모델의 자코비안 행렬을 이용하여 수행된다.
예측된 상태 및 측정 데이터 간의 불일치를 고려하여 칼만 이득을 계산한다.
측정 데이터를 사용하여 상태를 수정하고, 예측된 상태와 측정 데이터 사이의 차이를 최소화합니다.
상태 업데이트 후, 공분산 행렬을 업데이트하여 업데이트된 상태의 불확실성을 반영한다.

여기서, x는 자율주행 차량의 위치이고, x˙는 그 속도를 나타낸다고 가정하자.
이 예시에서, 시스템은 다음과 같이 정의할 수 있다.
자율주행 차량은 등속 운동하며, 위치 및 속도는 다음과 같이 변화한다.

여기서 Δt는 측정 사이의 시간 간격이다.
측정 모델: GPS 센서를 통해 얻은 위치 측정은 다음과 같이 계산할 수 있다.

여기서 vk는 GPS 측정 오차를 나타내는 노이즈이다.
이때 시스템 모델 및 측정 모델의 미분 방정식을 정의하면 다음과 같다.
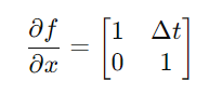
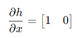
위의 시스템 및 측정 모델은 비선형이므로, EKF를 적용하기 위해선 이를 선형화해야 한다. 이를 위해, 시스템 및 측정 모델을 다음과 같이 미분하여야 한다.

시스템 모델의 미분은 위치와 속도에 대한 상태 변화률을 나타낸다.

측정 모델의 미분은 위치에 대한 측정값과 상태의 관계를 나타낸다.

공분산 예측:

여기서 Xk+1 은 예측된 상태, Pk+1은 예측된 공분산, Ak는 상태 전이 행렬의 미분, Qk는 프로세스 노이즈의 공분산 행렬이다.
칼만 이득 계산:

상태 업데이트:

공분산 업데이트:

여기서 Kk+1은 칼만 이득, Hk+1은 측정 행렬의 미분, Rk+1은 측정 노이즈의 공분산 행렬이다.
이것이 EKF 알고리즘의 기본적인 수식이다.
이를 사용하여 시스템 상태를 추정하고, 예측과 측정을 통해 상태를 업데이트할 수 있으며, EKF는 이러한 예측과 업데이트 과정을 반복하여 시스템의 상태를 효과적으로 추정한다.
다음은 Python 환경에서의 EKF사용예제이다.
import numpy as np
import matplotlib.pyplot as plt
# 초기 상태와 공분산 설정
x_hat = np.array([0, 0]) # 초기 예측 상태 [x, x_dot]
P = np.eye(2) # 초기 예측 공분산
Q = np.eye(2) * 0.01 # 프로세스 노이즈 공분산
R = np.array([[0.1]]) # 측정 노이즈 공분산
# 상태 및 측정 행렬 정의
A = np.array([[1, 1], [0, 1]]) # 상태 전이 행렬
H = np.array([[1, 0]]) # 측정 행렬
# 측정값 및 시간 설정
measurements = np.random.normal(loc=0, scale=0.1, size=100) # 가상의 측정값
dt = 1 # 시간 간격
# 결과 저장을 위한 리스트 생성
x_hat_list = []
x_list = []
# 예측 및 업데이트 단계 반복
for z in measurements:
# 예측 단계
x_hat_minus = np.dot(A, x_hat)
P_minus = np.dot(A, np.dot(P, A.T)) + Q
# 칼만 이득 계산
K = np.dot(P_minus, H.T) / (np.dot(H, np.dot(P_minus, H.T)) + R)
# 업데이트 단계
x_hat = x_hat_minus + np.dot(K, (z - np.dot(H, x_hat_minus)))
P = np.dot((np.eye(2) - np.dot(K, H)), P_minus)
# 결과 저장
x_hat_list.append(x_hat[0])
x_list.append(x_hat_minus[0])
# 차트 그리기
plt.figure(figsize=(10, 5))
plt.plot(measurements, label='Measurements', color='blue', marker='o')
plt.plot(x_hat_list, label='Estimated State', color='red')
plt.plot(x_list, label='Predicted State', color='green', linestyle='--')
plt.xlabel('Time')
plt.ylabel('Position')
plt.title('Extended Kalman Filter: Position Estimation')
plt.legend()
plt.grid(True)
plt.show()

결과 차트와 같이 예측-업데이트를 반복함에 따라 상태를 지속적으로 추정이 가능하다.
자율주행 분야에서 많이 사용하는 기본적인 알고리즘인 만큼 이해를 확실히 하고 가자.