Youtube 추천 알고리즘이 맞이한 어려움
Scale
: 유튜브 데이터셋 자체가 너무 크기 때문에 기존의 추천 알고리즘을 적용하기 어려움
Freshness
: 매초마다 새롭게 업로드되는 비디오에 추천 시스템일 잘 적용될 수 있어야 함
Noise
: user satisfaction의 ground truth를 얻기란 어려움 그래서 noisy한 implicit feedback signal을 사용해야함
크게는 두 가지로 구성 candidate generation과 ranking
user간 유사성은 본 비디오의 ID나 search query token 또는 demographics
WSABIE: Scaling Up To Large Vocabulary Image Annotation
low dimension space에서 image representation이랑 annotation학습
이미지 -> D 차원
annotation -> D 차원
으로 맵핑하는 함수 학습
ΦW (i)TΦI (x)얘의 score 높을수록 annotation이 이미지를 잘 설명
여기서 rank 잘나와야하는 애는 결과적으로 rank가 낮아야 함
loss function으로 rank 사용
위 논문의 rank loss 사용했다고 함!
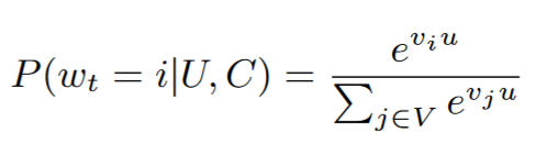
corpus V에서 user와 context가 주어졌을 때 video, class를 예측하는 multi classification으로 볼 수 있음

u는 User vector, vi는 candidate video에 대한 벡터
deep neural net의 목적은 context와 history를 잘 반영하는 user vector 학습하기!
본 논문에서는 implicit data 사용 (tail에 대해서도 데이터가 있어서)
hierarchical softmax는 종종 별 상관 없는 케이스에 대한 분류도 실행해서 딱히 이득이 없음
negative sampling을 통해서 softmax 계산을 빠르게함
serving시에는 softmax 계산 값들이 필요하지 않음 그래서 dot product이용한 nearest neighborhood search로 함
아마도 exponential 연산량이 커서 그런듯??
Example Age
machine learning은 과거로부터 학습해서 future를 예측하기 때문에 과거에 편향된 결과를 도출하기도 함 (즉 과거에 올라온 영상을 더 많이 추천함, 하지만 user들은 새로운 영상을 좋아함)
따라서 training 동안에는 Example age를 반영하고, serving시에는 0이나 약간의 음수로 넣음
(아마도 최근 영상에 더 가중치를 준다는 느낌보다는 과거 영상에 가중치가 더해지는 것을 막는 효과인듯??)
효과적인 영화 추천을 위해 rating을 정확히 예측해야하는 것처럼 추천시스템은 문제를 직접적으로 최적화하기 보다는 이런식으로 surrogate problem를 푼다.