
전문가 시스템의 문제점 Artificial Intelligence #01 Expert System
1. 확률의 종류 (빈도론적/베이지안)
동일한 시행을 무한 반복했을 때 관심있는 사건의 발생 빈도
(ex. 동전 던지기, 주사위 던지기, 카드 뽑기)
빈도론 확률의 한계 : 실제로는 무한 반복이 불가능, 확률계산의 결과가 불확실!
믿음의 정도로 사건의 발생 확률 신뢰도를 추론
(ex. 내일 비가 올 확률 30%)
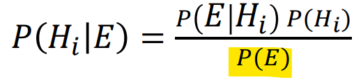
2. 베이즈 정리 (Bayes' Theorem)
(조건부 확률 수식)
(베이즈 정리 수식)
조건부 확률을 통해 베이즈 정리 수식을 유도할 수 있음


실제로는 문제에서 사전확률, 우도확률을 구하기 쉽기에 이것으로 사후 확률을 구할 수 있다는 것이 의미가 있다.
(사전확률을 바탕으로 사후확률을 update)
그리고 빈도론 확률의 문제점(무한대로 계산)을 극복할 수 있다.
증거와 가설이 1개일 경우
증거와 가설이 한 개이기에 는 집합과 그의 여집합으로 이루어진다.

증거와 가설이 여러 개일 경우
위 경우와 달리 는 여러 증거와 가설로 이루어진다.



3. 베이즈 정리 예제





4. 베이즈 정리 실습 1
붓꽃 분류문제를 Gaussian Naive Bayes Model로 풀어보기
data shape 및 data feature과 class target 확인
from sklearn.datasets import load_iris
#데이터 로드
iris=load_iris()
print(iris)
print(iris.feature_names)
print(iris.target_names)
#data와 target으로 분할
data=iris['data']
target=iris['target']


data shape (1,4) 으로 data마다 특성이 4개(꽃받침 길이/꽃받침 너비/꽃잎 길이/꽃잎 너비) 포함되어있다. target의 class는 3개이며, class 0은 ‘setosa’ class1은 ‘versicolor’ class2은 ‘virginica’ 이다.
#class별로 평균, 분산 구하기
means = {}
variances = {}
for i in range(3):
target_data = data[target==i]
means[i] = target_data.mean(axis=0) #열의 평균을 계산해야되기에 axis=0으로 설정
variances[i] = target_data.var(axis=0)
print("평균")
for k,v in means.items():
print(f"Class {k}: {v}")
print("분산")
for k, v in variances.items():
print(f"Class {k}: {v}")


특성 1(꽃받침의 너비)만을 보았을 때, 만약 새 데이터의 특성1이 5.0이라면
class 0 : 평균 5.006으로 다른 class 1, 2에 비해 평균 오차가 가장 적으며, 분산도 제일 적기에 새 데이터는 class1에 속할 확률이 높을 것이다.
class 1 : 평균 5.936으로 class 0에 비해 오차가 더 있으며, 분산도 class 0에 비해 낮더라도 새 데이터는 class 0에 비해 class1에 속할 확률이 낮을 것이다.
class 2 : 평균 6.588으로 다른 class 0, 1에 비해 평균 오차가 가장 높기에, 분산이 크더라도 class2에 속할 확률은 매우 낮을 것이다.
각각의 평균과 분산으로 어느 class에 속할 확률이 높은지 해석할 수 있다.
from sklearn.naive_bayes import GaussianNB
from sklearn.model_selection import train_test_split
from sklearn.metrics import accuracy_score
X_train, X_test, y_train, y_test = train_test_split(data, target, test_size=0.2, random_state=42)
model = GaussianNB()
model.fit(X_train, y_train)
y_pred = model.predict(X_test)
# 정확도 평가
accuracy = accuracy_score(y_test, y_pred)
print(f'정확도: {accuracy:.2f}')

from sklearn.metrics import classification_report
report=classification_report(y_test, y_pred)
print(report)

특성의 평균과 분산이 그 클래스 내에 어떻게 분포되어 있는지, 그리고 그 분포에 따라 새 데이터가 해당 클래스에 속할 가능성이 얼마나 되는지를 결정하는 핵심 요소로 작용하며, 이에 대한 계산이 베이지안 확률로 이루어져 있다.
5. 베이즈 정리 실습 2
: 베이지안 추론 기반의 스팸 필터링 프로그램 개발
스팸 메일이 6개에 26단어이고, 정상 메일이 7개에 29단어인 것을 확인할 수 있다.

위의 데이터에서 전체 메일의 개수 중 어떤 것의 메일의 수로 사전 지식을 구성해야 된다.
새로운 메일을 받았을 때 spam인지 ham인지 메일 유형을 분류해야 한다.
(이때 는 식 안에 공통으로 있으므로 대소 관계 비교할 때 크게 신경쓰지 않아도 된다.)
-> 이 식으로 계산하여 를 판단해도 된다.
지금의 ham 예시처럼 베이지안 추론 시 한 번도 등장하지 않은 사건에 대해서, 추론 결과는 항상 0이다
(제로 확률(Zero Probability) 문제 있음)

(기존 방식으로는 'ticket'이라는 새로운 word로 인해 0으로 계산됨)
(spam/ham - 2개의 class)
(Laplace Smoothing을 통해 최소한 확률이 0이되는 경우를 막을 수 있음)