1. Binary Classification Evaluation
: 이진 분류에서 사용되는 평가 지표


Accuracy (정확도)
전체 예측 중에서 모델이 정확하게 맞춘 비율

단점
- class 불균형에 민감
: 95%가 class가 같을 경우, 같은 class만 예측해도 95% 정확도
- 오류의 중요도를 반영하지 못함 : FN과 FP가 중요할 때 부적합
(틀리면 치명적인 문제가 발생하는 상황인 경우)
Precision (정밀도)
model이 Positive라고 예측한 결과 중 실제로 Positive인 비율
(Positive의 판단을 얼마나 신뢰할 수 있는가)

Precision이 중요한 경우
: 오탐의 위험이 큰 상황
(위협이 아닌 것을 위협으로 간주하는 경고가 치명적일 경우)
- 스팸 필터링 : 정상 메일을 스팸으로 판단하면, 중요한 정보를 놓칠 수 있음
- 암 진단 : 암이 아닌데 암으로 진단할 경우 불필요한 비용 발생
- 제조 현상 : 시스템 이상이 없는데 이상으로 판정할 경우 재가동 비용 발생
단점
Recall (재현율)
model이 실제 Positive인 클래스 중 정확하게 Positive로 분류한 비율

Recall이 중요한 경우
: 중요한 사건이나 질병, 위험 요소 등을 놓치지 않고 모두 찾아야 할 때 중요
- 의료 진단 시스템
- 금융 사기 탐지
- 재난 예측 및 경고
단점
F1-Score (조화평균)
Precision (정밀도), Recall (재현율)을 하나로 통합하여 균형 잡힌 평가를 제공하는 지표

F1-Score의 특징
- 두 개가 불균형을 이루면 낮은 값을 보임 / 두 지표가 균형을 이루면 높은 점수를 받게됨
- class 불균형이 심한 data set에 유용
ROC Curve
분류 model의 성능을 시각적으로 평가하는 그래프

-
True Positive Rate (TPR) 또는 Recall (민감도, Sensitivity)

-
False Positive Rate (FPR) (1-특이도, 1-specificity)

장점
- 다양한 Threshold에서 평가 가능
- 클래스 불균형에 강건한 평가 가능
- 정밀도를 반영하지 않음
AUC (Area Under the Curve)
ROC 곡선 아래의 면적으로, 모델의 성능 지표 중 하나
( 0~1 사이 값을 가짐 )

사진 출처
Log Loss
model이 출력한 확률값과 실제값의 차이를 정량적으로 측정
(값이 작을 수록 좋음)
Cross Entropy loss라고도 부름

장점
- 확률적 예측이 중요한 문제에 유용 (로지스틱 회귀, 신경망)
단점
- 작은 오류에도 민감하게 평가 가능
- 확률 출력이 필수적이어서, 순위만 제공하는 모델에서 사용 어려움
2. Multiclass Classification Evaluation
: 다중 클래스 분류에서 사용되는 평가 지표

Accuracy (정확도)
(앞에서 설명함)
Marcro F1
F1 Score로 전체 클래스의 성능을 균등하게 평가할 때 사용
각 class별 F1 Score를 먼저 계산하고, 동일한 가중치로 평균낸 값

장점
- 모든 class에 동일한 중요도를 부여하여, 소수 클래스의 성능을 과소평가하지 않음
- 각 class별 성능을 동등하게 고려해야하는 문제에서 유리
단점
- 빈도가 적은 class의 결과가 왜곡될 수 있음
Weighted F1 Score
class의 빈도가 불균형할 때, 데이터의 개수가 많은 class는 비중이 크게, 적은 class는 비중을 적게 평가하는 지표
각 class별 출현 빈도를 반영하여 현실적인 성능 평가 가능

장점
- class 불균형이 있는 data에서 실제 성능을 정확하게 평가
단점
- 데이터 빈도 수가 매우 낮은 class의 성능이 점수에 아예 반영 안 될 수도 있음(다른 지표를 추가로 고려해야함)
Confusion Matrix
모델의 성능을 시각적으로 평가할 때 사용되는 표(지표)

장점
- 매우 직관적이고 명확하게 시각화
- class 간 혼동 패턴을 쉽게 파악
- 다른 성능 지표(Accuracy, F1 score)를 빠르게 계산 가능
Top-K Accuracy
예측 결과가 상위 K개 class 중 포함되는지 평가

장점
- model이 실제 정답에 근접한 예측을 하고 있는지 평가할 때 사용
- 주로 추천 시스템, 자연어 처리 분야에서 사용
단점
- k값이 너무 크면 평가의 의미가 줄어들 수 있음
3. Regression Evaluation
: 회귀 문제에서 사용되는 평가 지표 (Loss의 개념)

MSE (Mean Squared Error)
예측한 값과 실제 값의 차이를 제곱하여 평균내는 방식
(이상치에 특징이있어 큰실수를 최소화 하도록 유도함)

장점
- 계산이 간단하고, 직관적으로 이해 쉬움
- 미분 가능, 최적화 과정에 유리
단점
- 큰 오차에 민감하기에, 이상치에 취약
- 오차 단위가 제곱이므로 실제 단위와 차이 존재
RMSE (Mean Squared Error)
예측값과 실제값의 차이를 제곱하여 평균낸 후, 제곱근을 적용하는 방식
(실제값과 동일한 단위로 표현 가능)

장점
단점
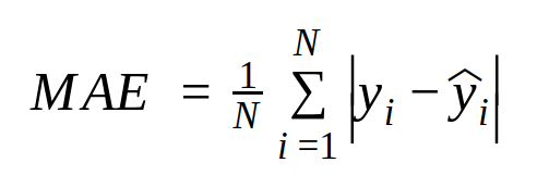
MAE (Mean Absolute Error)
예측값과 실제값의 차이를 절대값으로 변환하여 평균으로 계산한 값
(실제값과 동일한 단위로 표현 가능)

장점
- 계산이 간단하고, 직관적으로 이해 쉬움
- 이상치에 덜 민감하고, 안정적임
단점
- 미분 불가능한 지점이 존재해, MSE보다 덜 효율적
- 큰 오차에 집중해야 할 상황에서는 다른 것과 병행 필요
MSE vs RMSE vs MAE 비교

MSE : 매우 큰오차를 줄이는데 집중할 경우
RMSE : 큰 오차에 집중하면서 안정적인 분석 필요한 경우
MAE : 안정적인분석이필요할경우
R2 (R-Squared, 결정계수)

장점
- 직관적이고, 이해 쉬움
- 서로 다른 model의 성능을 비교할 때 유용
단점
- 오직 선형관계만 반영, 비선형 model에서는 제한적
- data의 개수가 적을 때는 값이 높게 나오는 경우 있어, 과적합에 주의
- 변수가 많아질 수록 증가하기에, 주의 필요
Adjusted R2 (조정된 결정계수)
변수가 많아질 수록 R2 값이 증가하는 문제를 해결하기 위해 조정된 결정계수
(변수가 많을 때 유용함)

장점
- 변수 개수를 고려하여, model의 실제 설명력을 정확히 반영
- overfitting을 방지하는데 효과적
단점
MAPE (Mean Percentage Error)
실제값과 예측값의 차이를 절대값 백분율로 변환하여 평균낸 값
백분율로 표현하기에, 매우 직관적인 지표
(ex. MAPE=10%라면 model이 10% 오차)

장점
- 서로 다른 규모를 가진 data를 비교할 때 유리함
단점
- 실제값이 0 또는 매우 작은 값일 때 급격하게 MAPE 커짐
- 실제값이 음수일 경우, 사용 어려움
- data가 0에 가까울 경우, MAE 혹은 RMSE 추가로 고려해야됨
4. Evaluation Example
Example 1. Top-K Accuracy
data 1,3에 model의 Top3예측은 정답을 포함하고 있기에
Top−KAccuracy=2/3

Example 2. R2 (R-Squared)


Classification Evaluation Summary

Regression Evaluation Summary
