Vector
- 1D: [x]
- 2D: [x,y]
- 3D: [x,y,z]
- 4D: [x,y,z,w]
- nD: [x,y,z,w,…]
Typical notation
- column vector
⎣⎢⎡123⎦⎥⎤=[123]T
- row vector
[123]
Meaning
- position (in space)
- Direction (with length)
Dot product
Cross Product
Matrix
m×n matrix
⎝⎜⎛147258369⎠⎟⎞
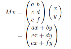
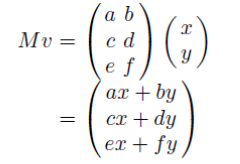
Matrix multiplication
M×N


Identity Matrix
⎝⎜⎛100010001⎠⎟⎞
M×I=I×M=M
If AB=I, B is called the inverse of A,
and B=A−1
Line, Ray and Linear Interpolation
line : p(t)=p0+t(p1−p0)

if t is in [−∞,∞],
→ infinite line
if t is in [0,∞],
→ ray