Binary Search - Medium
Given an integer n, return the number of structurally unique BST's (binary search trees) which has exactly n nodes of unique values from 1 to n.
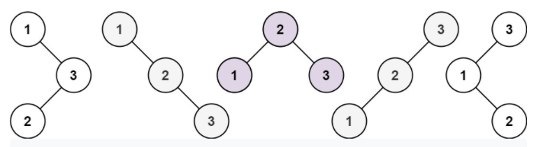
Example 1:

Input: n = 3
Output: 5
Example 2:
Input: n = 1
Output: 1
Constraints:
1 <= n <= 19