Image Processing 4

smoxi·2024년 4월 20일

영상처리

목록 보기
2/3

Image is denoted by f(x, y)
In this section, let's represent the pixels in lowercase p and q

Neighbors of a Pixel

pixel p at coordinates (x, y) has four horizontal and verical neighbors
(x+1, y), (x-1, y), (x, y+1), (x, y-1)

Each pixel is a unit distance from (x, y)
각 픽셀은 (x, y)로부터 단위거리이다.
Some of neighbor locations of p lie outside the digital image if (x, y) is on the border the image
(x, y)가 이미지의 경계에 있는 경우, p의 일부 이웃 위치는 디지털 이미지 외부에 있습니다.

N_4(p)

The four diagonal(대각선) neighbors of p have coordinates
These are denoted by N_D(p)

These points, together with the 4-neighbors, are called the 8-neighbors of p, denoted by N_8(p)


Adjacency(인접성)

Let V be the set of intensity values used to define adjacency
V를 인접성을 정의하는 데에 사용되는 강도 값의 집합으로 설정한다.

In a binary image, V ={1}. if we are referring to adjacency of pixels with value 1
이전 이미지에서 값이 1인 픽셀의 인접성을 참조하는 경우 V = {1}

그레이 스케일 이미지에서, V는 더 많은 elements가 포함됨.

예를 들어, in the adjacency of pixels eith a range of possible intensity values 0 to 255, set V could be any subset of these 256 values
0부터 255까지의 범위를 갖는 픽셀의 인접 -> V는 256개의 하위 집합이 될 수 있음

Three type of Adfacency

  • 4 - adjacency
    : N_4(p)와 유사
  • 5 - adjacency
    : N_8(p)와 유사
  • m - adjacency (mixed - adjacency)
    : 밝기 집합 V로부터 밝기를 가지는 2개의 픽셀 p와 q에 대해서 q∈N_4(p)이거나 q∈N_D(p)(대각선만 고려)이고 N4(p)∩N4(q)=∅ 인 경우


    Mixed adjacency is a modification of 8 - adjacency
    혼합 인접성을 8-adjacency를 변형한 것.
    MIxed adjacency is introduced to eliminate the ambiguities that ofen arise when 8-adjacency is used
    8-adjacency를 사용할때 발생하는 모호성, 애매함을 제거하기 위해 도입되었음.

Connectivity

Let S represent a subset of pixels in an image


Two pixels p and q are said to be connected in S if ther exists a path between them consisting entirely of pixels in S

  • S안의 p와 q 사이에 경로가 존재 -> connected가 존재
  • For any pixel p in S, the set of pixels that are cocnnected to it in S is called a connected component of S
    집합 S에서 어떤 p를 가져오더라도 p를 제외한 다른 픽셀들 사이에 모두 연결 -> 연결되어있는 그 집합을 connected component라고 함.
  • If it has one connected component, then set S is called a connected set

Regions

Let R be a subset of pixels in an image

  • We call R a region of the image if R is a connected set
    R이 연결 집합일 때 region으로 정의한다.
  • R_i and R_j are said to be adjacency if their union forms a connected set
    R_i와 R_j의 합집합이 연결집합이라면, 인접한다고 한다.
  • Regions thar are not adjacent are said to be disjoint

  • type of adjacency used must be specified
    사용된 인접 유형을 지정해야한다.
  • 아래 그림은 adjacent only if 8-adjacency is used


  • 이미지 regions에 포함되지 않는 K, R_k=1, 2, 3, ..., k 가 있다.
    k 중 어떤 것도 이미지 경계에 닿지 않는다.
  • 영역을 이용해서 "전경(foreground)"와 "배경(background)"를 정의할 수 있습니다. 먼저, K개의 서로소 영역, R1,R2,…,RK가 있다고 가정.
  • 그리고 R_u=∪R_0~k 를 고려합니다. 즉, Ru는 K개의 모든 서로소 영역의 합집합이 됨
  • Ru를 "전경(foreground)", (Ru)c를 "배경(background)"으로 정의

Boundaries

  • The boundary of a region R is the set of points that are adgacent to the points in the complement of R
    R의 경계 => R의 보수에 있는 점에 근접한 점의 집합
  • Border of region is the set of pixels in the region that gave at least one background neighbor
    바운더리는 적어도 하나의 배경 이웃을 가지고 있어야 함.
    we must specify the connectivity being used to define adjacency
    background와 연결되어있지 않으면 바운더리가 아님



    동그라미 친 점 is not a member of the border of the 1-valued region if 4-connectivity is used between the region and its background
    -> 이러한 점 때문에, adgacency between regions and background is defined 8-connectivity

Distance Measures

"거리"라고 부르기 위한 조건

  • D(p,q)≥0 이고, D(p,q)=0 이면 p=q
  • D(p,q)=D(q,p)
  • D(p,s)≤D(p,q)+D(q,s)


    Euclidean distance between p and q is defined as

    For this distance measure, the pixels having a distance less than or equal to some value r from (x, y) are the points contained in a disk radius r centered at (x, y)

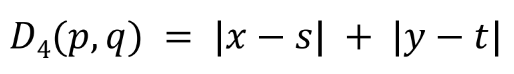
D4


D8


  • distance between p and q are independent of any paths. (regardless of whether a connected path exists between them.
    if we select to m-adjacency, the distance between two points is defined as the sortest m-path between the point

Mathematical Tolls used in DIP

강의 ppt 볼것!!


linear property
1. additivity
2. homogeneity

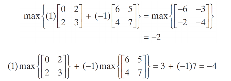
  • sum operator = linear
  • max operator = nonlinear

Arithmetic Operations




image addition is used to reduce the noise content by adding a set of noisy images


0개의 댓글