숫자를 원소로 가지는 리스트 또는 배열

공 간에서 한 점을 나타냄. 원점으로부터 상대적 위치를 표현.

숫자를 곱해주면 길이만 변함.

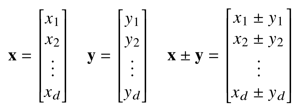
벡터끼리 같은 모양을 가지면 덧셈, 뺄셈, 성분곱 계산 가능


두 벡터의 덧셈, 뺄셈은 다른 벡터로부터 상대적 위치 이동을 표현


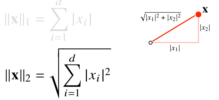
벡터의 노름은 원점에서부터의 거리를 말함



노름의 종류에 따라 기하학적 성질이 달라짐.

두 벡터 사이의 거리를 계산할 때는 뺄셈 이용

두 벡터 사이의 거리를 이용하여 각도도 계산해 볼 수 있음. 제 2 코사인법칙에 의해 두 벡터 사이의 각도를 계산할 수 있다.



내적은 정사영된 벡터의 길이와 관련있다.

