CS231A는 기하학과 3D vision에 대한 이해를 다루는 코스이다.
비디오 강의는 제공되지 않았으며 PDF 및 과제만 업로드 되어 있다.
Course Overview
만약 우리가 단일 이미지를 가지고 있고 그 이미지를 촬영한 카메라의 특성을 알고 있다면, 3D 세계의 알려진 구조를 복원할 수 있을까 라는 질문에서 시작한다.
Single View Metrology를 이해하기 위해 필수적인 2D 공간에서의 변환의 계층 구조는 가장 제한적인 변환 Isometry에서 가장 일반적인 변환 projective로 확장되며 어떤 성질이 보존되는지 달라진다.

거리를 완벽하게 보존하는 변환으로 위치만 바뀌고 크기나 모양은 바뀌지 않는 강체 변환과 같다.
회전행렬 과 이동벡터 로 구성되며 거리, 각도, 면적이 보존된다.
책상 위의 종이를 회전시키거나 미끄러트려 위치만 바꾸는 경우와 같다.

모양을 보존하는 변환이며 Isometric에서 스케일링 가 추가된 형태이다.
각도, 길이의 비율이 유지된다.
지도를 확대, 축소하는 경우와 같다.

점, 직선, 평행성을 보존하며 직사각형이 평행사변형으로 찌그러질 수 있다.
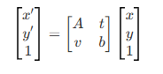
선형 변환 행렬 와 이동 로 구성된다.

가장 일반화된 형태의 선형 변환으로 직선만 보존된다.
Projective Transformation에서 유일하게 변하지 않고 살아남는 값이 Cross Ratio이다.

일직선 위 4점에 대한 비율을 계산한 값이다.
이미지 상의 점들은 실제 3D 세상의 점들이 사영 변환된 결과이며 길이 비율은 왜곡되지만 교차비는 실제 세상과 동일하게 유지된다.
이 성질을 이용하면 이미지 한 장에서 소실점이나 길이를 역추적하여 3D 정보를 복원할 수 있게 된다.
직선의 정의는 이미지의 구조를 파악하는 데에 중요하다.
2D에서 직선은 Homogeneous vector 로 표현될 수 있다.
이때 비율 는 직선의 기울기를 는 y 절편을 나타낸다.
2D 직선은 을 만족하는 모든 점 의 집합으로 정의된다.
두 직선 , 은 한 점 에서 만난다.
이 교점은 두 직선 벡터의 외적인 x 로 정의된다.
평행선은 만나지 않는다 라는 상식을 깨고 Homogeneous Coordinates를 이용해 평행선이 만나는 지점을 수학적으로 정의한다.
동차 좌표 를 유클리드 좌표로 바꾸려면 마지막 좌표 로 나누어 만든다.
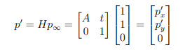
만약 가 0이라면 유클리드 공간에서는 정의되지 않고 무한히 멀리 있는 점을 의미하며 무한대 점이 된다.

이 점을 이상점이라고 부르는데 흥미로운 성질은, 같은 기울기를 가진 모든 평행선들은 동일한 이상점을 지난다는 것이다.
이 개념은 나중에 이미지에서의 소실점을 이해하는 기초가 된다.

일반적인 사영 변환을 무한대 점에 적용하면 마지막 요소 가 0이 아닐 수 있음을 알 수 있다.
이는 사영 변환이 일반적으로 무한대 점을 더 이상 무한대가 아닌 점으로 매핑함을 시사한다.
현실 세계에서 무한히 멀리 있는 점이, 사진에서는 유한한 좌표에 맺히게 된다.
반면 affine 변환의 경우 마지막 성분은 여전히 0이 유지되며 평행성이 유지된다.