Simulation

1.[R] Poisson Process

post-thumbnail

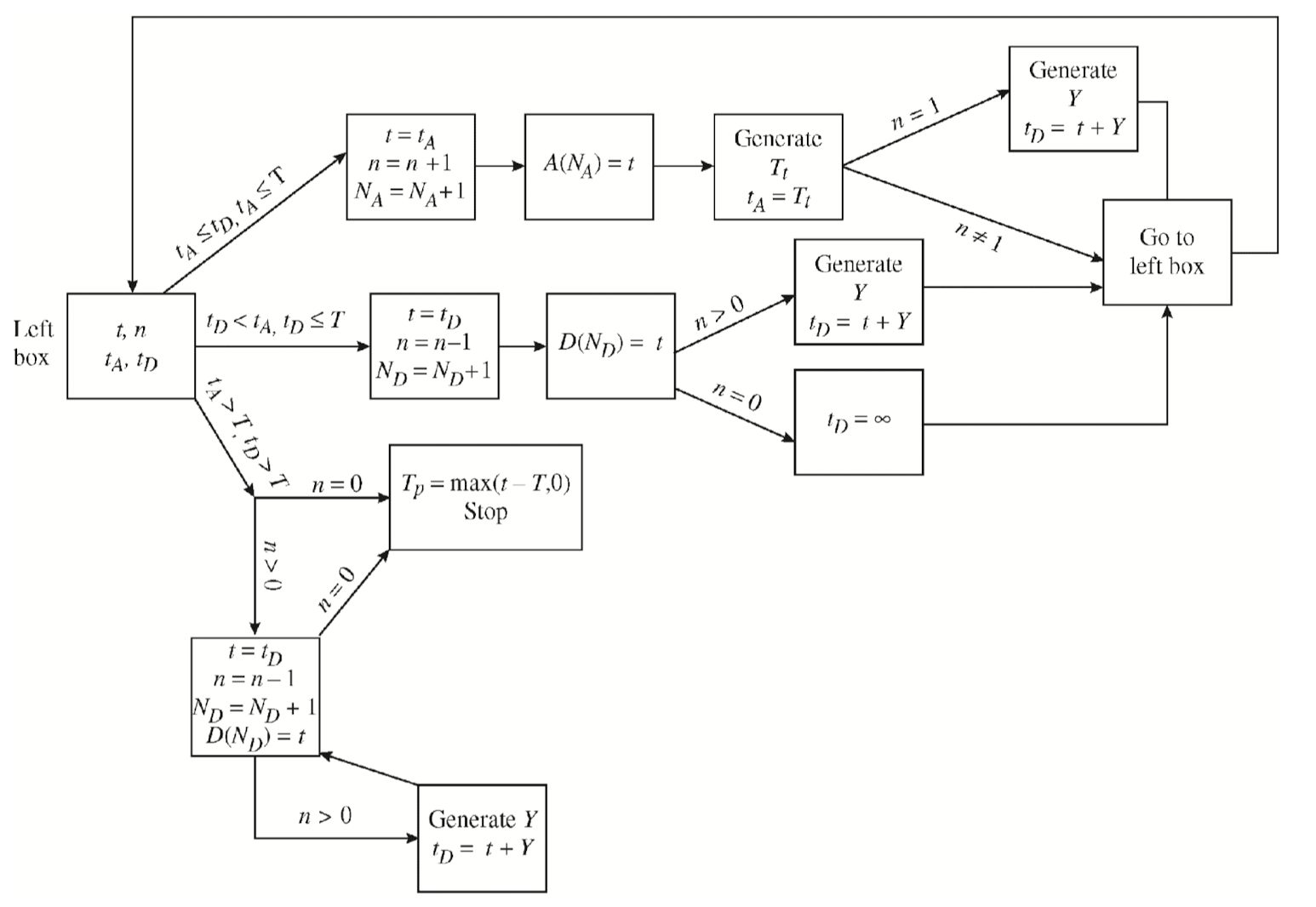
2.[R] Queueing System

post-thumbnail

3.[R] Discrete Event

post-thumbnail