import math
math.factorial(inputN)
print(f'{inputN} 팩토리얼 : {math.factorial(inputN)}')
군 수열 : 여러 개의 항을 묶었을 때 규칙성을 가지는 수열

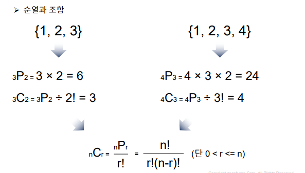
순열 : n개에서 r개를 택하여 나열하는 경우의 수 (nPr)
⇒ 팩토리얼(계승)을 이용해서 나타낼 수 있다.

원순열 : 시작과 끝의 구분이 없는 순열

조합 : 순서 상관없이 r개 택하는 경우의 수 (nCr)

확률 : 모든 사건에서 특정 사건이 일어날 수 있는 수
확률과 조합 : 조합을 이용해서 확률을 알아낼 수 있다.

“이 글은 제로베이스 데이터 취업 스쿨의 강의 자료 일부를 발췌하여 작성되었습니다.”