
-> center word와 context word(주변 단어)의 내적 관점에서 확률값 계산
위와 같은 간단한 알고리즘만으로 wordspace에서 단어 간 유사성과 의미를 잘 포착할 수 있다.
word2vec 모델의 parameter는 오직 word vector만 있음.
각 단어에 대해 outside vectors, center vectors가 존재.
outside words와 center word의 내적을 통해 함께 나타날 가능성에 대한 score를 구함.
score를 확률값으로 변환하기 위해 softmax 사용.
Bag of words model
context words에 대해 합리적으로 높은 확률을 제공하는 모델을 원하기 때문에 word2vec은 이를 반영하도록 함.
=> 고차원 벡터공간 상에서 유사한 단어는 가깝게 배치함.
그럼 이 word vector를 어떻게 학습하는가?
Minimum으로 이동하기 위해 gradient의 음의 방향으로 작은 step을 이동한다.
+) step이 너무 작으면 수렴이 너무 오래 걸려서 epochs 내에 수렴하지 못함.
step이 너무 크면 minimum에 도달하지 못하고 이리저리 튀어 수렴이 어려움.
+) 그림은 Convex한 2차원 함수를 예시로 들었지만, 실제 Neural Network는 일반적으로 Convex하지 않음.
Update equation
in matrix notation)
for a single parameter)
현재 parameter 에 대해 gradient의 negative 방향으로 이동하여 파라미터를 update한다.
위와 같은 Gradient Descent의 문제점
: courpus의 모든 단어에 대한 함수
전체 corpus의 모든 center word에 대해 gradient 계산을 수행해야 한다.
보통 마주할 corpus는 대부분 매우 많은 단어로 구성되기 때문에 gradient update에 아주 오랜 시간이 소요됨. 최적화가 매우 느린 문제가 발생.
Stochastic Gradient Descent 란?
전체 corpus에 대해 gradient를 계산하는 대신 하나의 단어 또는 작은 batch에 대해 gradient를 계산하는 알고리즘.
--> 전체를 한 번 훑어 update하는 것보다 noisy 하지만 학습이 훨씬 빠르다.
따라서 Neural Network에서는 대부분 경사하강법이 아닌 SGD를 사용한다.
하지만 word2vec의 입출력 형태인 One-Hot Encoding을 stochastic gradient descent에 사용하면 각 윈도우에 해당하는 단어들을 기반으로 업데이트되기 때문에 나머지 수많은 단어들은 업데이트되지 않는다.
예를 들어 윈도우 사이즈가 5이면 11개 단어에 대한 gradient 정보를 갖게 되지만 나머지 단어에 대한 gradient 정보가 없다.
따라서 아주 sparse한 gradient update를 하게 되어 불필요한 계산이 이루어진다.
일반적으로는 확률을 구하기 위해 다음과 같은 naive softmax를 사용한다.
하지만 이를 활용하면 분모에서 모든 단어에 대해 내적 계산을 해야 하기 때문에 만약 10만개의 단어가 있는 경우 10만개의 단어의 확률값을 구하기 위해 매 계산마다 10만번의 내적을 해야 한다. 즉 연산량이 크다는 문제가 있습니다. (computationally expensive)
Main idea: true pair(center word, context word)와 noise pairs(center word, negative word)를 이진 분류하는 binary logistic regressions을 학습하자.
다음은 skip-gram의 목적함수이다.
각 특정 center word에 대한 목적함수는 다음과 같다.
목적함수를 maximize하여 최적화 한다.
이 목적 함수는 softmax 대신 logistic/sigmoid function을 사용한다.
따라서 목적함수를 최대화하기 위해 window 안에 있는 outside word와 center word의 내적에 log를 취한 값은 커야 한다.
그리고 center word와 negative word의 내적값은 음수가 도출되는데, 음수일 경우 sigmoid 함수를 통과할 경우 값이 작기 때문에 sigmoid 함수의 대칭성을 이용해 내적값에 음수를 취해주어 더 큰 값을 얻도록 한다.
(* negative word: random sampling으로 추출한 window에 해당하지 않는 단어들)
이 목적함수를 최대화하는 방식은 negative likelihood를 최소화하는 것과 같다. (그냥 -만 취해준 형태이기 때문)
따라서 negative likelihood는 다음과 같다.
결과적으로 positive word와 center word의 내적값은 크게, negative word와 center word의 내적값은 작게(음수)끔 학습한다.
Q: negative sampling은 어떻게 하는가?
A: 단어를 sampling 할 때 균일한 확률로 샘플링하지 않는다. corpus에서 단어의 빈도수를 고려하지만 지나치게 많이 나오는 'a', 'the' 같은 단어들에 대해서는 제한을 주기 위한 함수를 사용한다.
각 단어의 유니그램 확률값(빈도수를 고려한 확률값)을 3/4승으로 가져오고 이를 z로 나누어 정규화한 값을 확률값으로 사용한다. 따라서 추출 시 빈도수의 영향은 받지만 common word와 rare word의 추출 차이를 완화시킨다.
이렇게 하면 비슷한 의미를 가진 단어끼리 비슷한 벡터를 가지게 됨을 알 수 있다.
예를 들어 'you'와 'i'는 유사한 벡터를 가질 것이다. I like, you like, i enjoy, you enjoy 등 주변 단어가 비슷하기 때문이다.
이러한 방법은 성능이 나쁘진 않았지만 sparsity 문제가 있다.
즉 차원은 아주 크고 sparse하게 word vector를 표현한다.
예를 들어 50만개의 단어가 있으면 각 단어에 대해 50만 차원 벡터를 가진다.
=> 차원이 매우 크기 때문에 희소성이 커진다. => noisy하고 less robust해지는 경향이 생긴다.
따라서 고정된 차원수로 단어를 표현하여 저차원 벡터를 사용하는 것이 더 나은 결과를 보인다.
일반적으로 사용되는 차원수는 25-100이다.
따라서 co-occurrence matrix의 차원을 SVD, LSA, COALS 등 선형대수적 접근인 특이값 분해를 통해 축소합니다.
Glove는 각각 장단점을 가진 선형대수 기반의 co-occurrence matrix와 neural updating 알고리즘을 connect하기 위해 개발되었다.
co-occurrence matrix (count-based)
장점
neural updating algorithm
장점
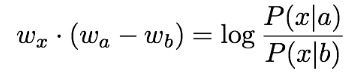
Crucial insight: vector의 뺄셈이나 덧셈을 통한 유추를 가능하게 하려면 해당 단어의 component를 알아야 하는데, 이를 알아내기 위해 통계정보인 co-occurrence probabilites의 비율을 활용할 수 있다.
(* 유추: 얼음 - 고체 = 물)
ice이라는 단어에 대해 solid와 water라는 단어는 유사성이 높다.
steam이라는 단어에 대해서는 solid와의 유사성이 낮고 gas와 water라는 단어와 유사성이 높다.
ice와 steam 간의 관계를 알아내기 위해서 ice에 대한 단어의 확률과 steam에 대한 단어의 확률의 비율을 사용할 수 있다.
예를 들어 다음과 같은 수치로 구성되어있다면,
ice와 solid의 유사도에 steam과 solid의 유사도를 나누었을 때 8.9라는 높은 수치가 도출된다.
하지만 water나 fashion과 같이 두 단어에 대해 유사성의 정도가 비슷한 경우에는 1에 가까운 수치가 나온다. 따라서 이러한 co-occurrence 확률의 비율을 통해 단어의 components를 알아낼 수 있다.
그렇다면 어떻게 이 동시출현 발생 확률의 비율을 선형 의미를 갖는 meaning component로 활용할 수 있을까?
Log-bilinear model
두 단어 간의 내적을 co-occurrence probabilities의 로그에 근사하도록 한다.
Log-bilinear model with vector differences
a와 b 단어 벡터 간의 차이와 x 단어와의 유사도가 위에서 보았던 동시 출현 확률의 비율의 로그값에 대응하도록 한다.
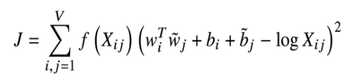
따라서 GloVe 모델의 목적함수는 다음과 같다.
위에서 설명한 것처럼 두 단어의 내적과 동시 출현 확률의 비율에 로그를 취한 값이 유사하도록,
두 단어의 dot prouct와 co-occurrence 확률의 로그 간 오차제곱을 최소화한다.
앞의 f 함수는 단어 빈도수에 대해 스케일링하는 함수이다.
많이 등장하는 common word의 영향에 지배받지 않도록 이 함수를 통해 빈도수가 지나치게 높은 단어들에 대한 영향을 제한한다.
GloVe 모델을 통해 'frog' 단어와 의미적으로 유사한 단어를 출력한 결과, 상위 5개의 단어가 개구리에 해당하는 단어로 선택되어 잘 작동하는 것으로 생각된다.
그렇다면 이 모델이 얼마나 잘 작동하는지는 어떻게 평가할 수 있을까?
? 에 해당하는 단어를 유추하는 것을 의미한다. 이는 위와 같은 식을 통해 유추한다.
ex1) GloVe Visualizations
각 유사한 단어 간에 강한 선형 관계를 보인다. 따라서 단어를 빼고 더함으로써 단어의 유추가 가능하다.
ex2) GloVe Visualizations: Company - CEO
회사와 CEO에 대한 데이터를 학습한 결과 회사와 CEO의 관계도 선형적이기 때문에 단어의 유추가 가능하다.
ex3) GloVe Visualizations: Comparatives and Superlatives
원형-비교급-최상급에도 대략 선형 component로 구성된 것을 확인할 수 있다.
의미론적, 구문론적 외에도 문법에 대해서도 학습함을 알 수 있다.
유추에 대한 semantics(의미적) / syntactics(문법적) / Total(전체) 평가
: GloVe > word2vec > co-occurrence matrix 순으로 성능이 좋다.
하지만 GloVe가 가장 높게 나온 이유는 평가에 더 유리한 데이터를 학습했기 때문이라고 한다.
GloVe는 일부 Wikepedia 데이터에 대해 학습했지만 word2vec은 뉴스 데이터들을 위주로 학습했기 때문에 의미론적으로 성능이 좋을 수 밖에 없다.
Wikipedia는 백과사전 데이터의 특성상 의미론적인 데이터를 많이 포함하고 있기 때문에 wikipedia 데이터를 학습한 경우 semantic적으로 성능이 높아진다.
article 데이터인 Gigaword를 학습했을 때의 의미론적 성능은 wikipedia를 학습했을 때에 비해 1/4 정도 떨어지는 것을 보아 wikipedia를 학습하면 의미론적 성능이 높아진다는 것을 증명한다.
하지만 어떤 데이터든 무조건 많은 데이터를 학습했을 때 가장 성능이 좋았다.
또한 벡터의 차원이 300차원 정도일 때 가장 성능이 좋았다.
이는 GloVe 뿐만 아니라 Word2Vec 등 잘 알려진 임베딩 모델에 적용된다.
모델의 단어 간 유사성에 대한 판단과 인간의 판단을 비교하는 intrinsic eval
지난 수십년 동안 단어의 유사성에 대해 인간이 0-10 사이로 점수를 매겨 수집한 데이터를 활용해 모델의 성능을 평가한다.
인간의 판단과 word vector 거리의 상관관계를 통해 평가한 결과,
GloVe > Word2Vec > co-occurrence matrix 순으로 성능이 좋았다.
좋은 vector를 사용하면 NLP task의 성능이 좋아진다.
따라서 GloVe를 통해 구한 Embedding vector가 NLP task에 얼마나 도움이 되는지를 평가한다.
투빅스 17기 홍종현
Word2Vec의 경우 CBOW, Skip-gram 두가지 방식이 존재하는데, 먼저 CBOW는 주변 단어들을 바탕으로 중심 단어를 예측하는 모형이고, Skip-gram은 중심 단어를 이용하여 주변 단어를 예측하는 방식입니다. Word2Vec의 경우 Gradient Descent를 통해서 loss를 줄여나가는데 여러 문제점을 갖고있습니다. 그래서 skip-gram model with Negative sampling(SGNS)라는 방법을 도입했습니다. SGNS는 rue pair(center word, context word)와 noise pairs(center word, negative word)를 이진 분류하는 binary logistic regressions을 학습하는 방법입니다. 이때 목적함수는 기존 softmax가 아닌 sigmoid function을 이용합니다.
Co-occurrence matrix 기법은 빈도수를 기반으로한 통계정보를 이용한 방법입니다. Co-occurrence matrix는 Word2Vec이 window내에 있는 단어들만 고려하는것과는 달리 corpus 전체의 단어를 이용합니다. 그러나 이러한 방법은 단어간의 유사성이나 관계를 고려하지 못한다는 한계점을 가지고 있습니다.
Word2Vec의 단어간의 유사도 측정할 수 있다는 장점과 Co-occurrence matrix의 corpus의 corpus 전체의 통계정보를 활용한다는 장점을 합쳐 Glove라는 embedding 기법이 등장했습니다. Embedding된 중심단어와 주변단어의 내적값과 동시 출현 확률에 로그를 취한 값이 유사하도록 목적함수를 설정했습니다. 또한 지나치게 빈도가 높게 나타나는 단어에 대한 스케일링 함수를 지정했습니다.
https://velog.io/@jody1188/CS224N-Word-Vectors-and-Word-Senses