jayce99.log
로그인
jayce99.log
로그인
[Classification Problem] Decision Tree
jayce
·
2024년 6월 29일
팔로우
0
Classification
zerobase
머신러닝
머신러닝_제로베이스 데이터 분석 스쿨
목록 보기
10/14
Decision Tree의 기본적인 원리
데이터를 분석하여 이들 사이에 존재하는 패턴을 예측 가능한 규칙(Rules)들의 조합으로 나타냄
모양이 ‘나무’와 같다고 해서 의사 결정 나무라고 불림
질문을 던져서 대상을 좁혀 나가는 ‘스무고개’ 놀이와 비슷한 개념
Model Complexity
Linear Regression과 다르게 Model의 Complexity를 극한으로 높일 수 있음 (Overfitting이 일어날 수 있음)
아래 예제와 같이 만약 Terminal node 수가 3개 뿐이라면 새로운 데이터가 100개, 1000개가 주어진다고 해도 의사결정나무는 정확히 3 종류의 답(Rule)만을 출력하게 됨
Classification Measuring Impurity for Split
순도(Homogeneity)를 최대로 증가시키는 방향
불순도(Impurity) 혹은 불확실성(Uncertainty)을 최소로 감소시키는 방향
Measuring Impurity 1: Gini Index (Max 0.5, 0일 때 가장 잘 나누어진 것)
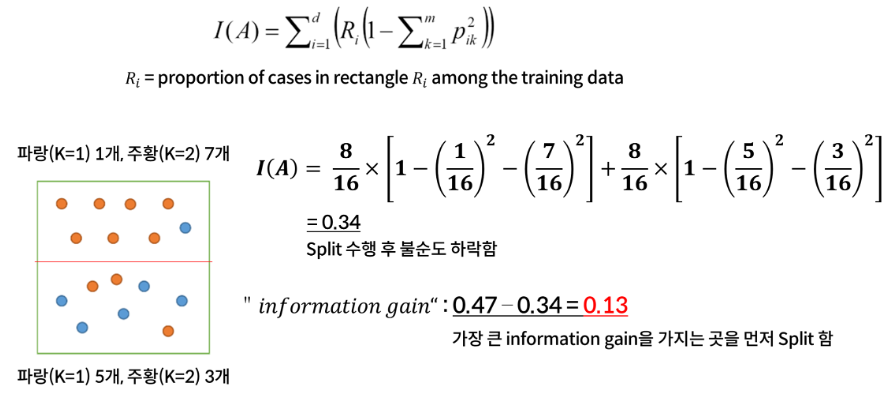
Decision Tree Split 하는 원리
First Step은 불순도가 가장 낮은 Feature와 포인트를 찾음
이 포인트가 Root Node가 되는 것
그 후 Information gain이 가장 큰 포인트를 찾아서 Split을 진행함
Decision Tree 100% Purity, 0% impurity
무한히 Partitioning (Split)을 하게 되면 100% Purity, 0% impurity가 됨
Overfitting 발생
Decision Tree Pruning
모든 Terminal node의 불순도가 0, 순도가 100%인 상태를 Full Tree라고 정의함
Full tree를 생성한 뒤 적절한 수준에서 Terminal node를 잘라 줘야함
Decision Tree의 장점
Rule Extraction: 가장 중요하고 강력한 해석력을 가짐
Simple 하지만 직관력이 있음: Simple is the Best
Model이 복잡해 질수록 해석력은 현저히 떨어지게 됨
jayce
팔로우
이전 포스트
[Classification Problem] Loss Function
다음 포스트
[Classification Problem] Model 평가 및 지표 해석
0개의 댓글
댓글 작성