Summary :
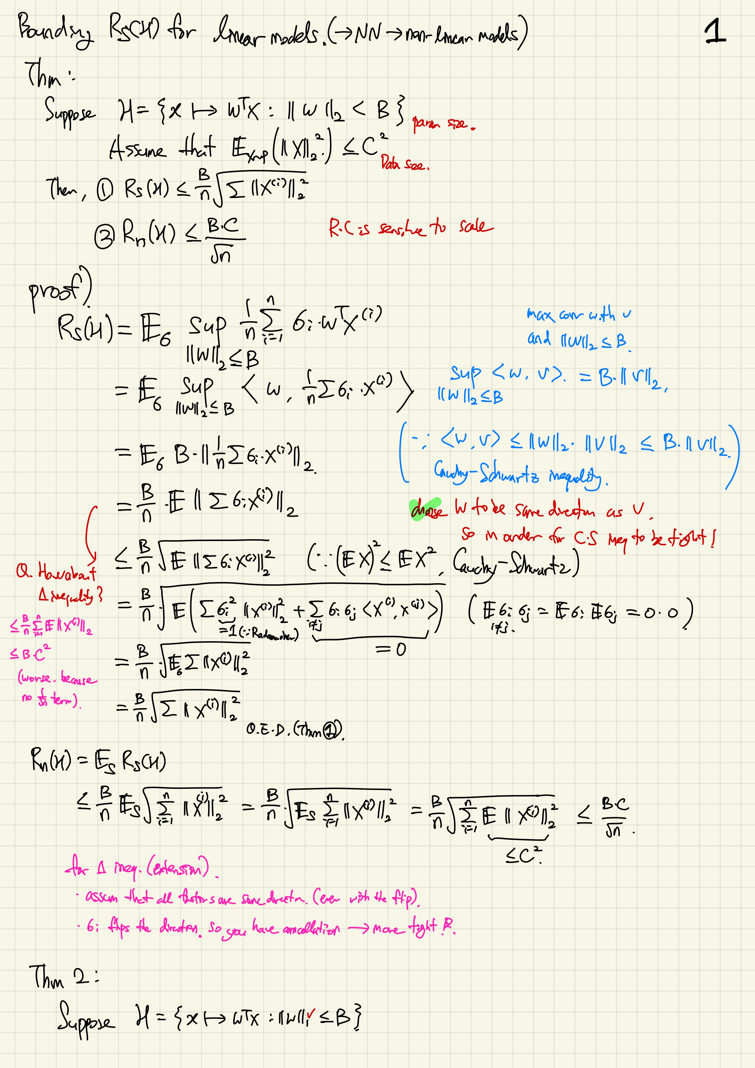
R.C bounds for linear models & two-layer NNs.
Challenges in DL Theory (3 aspects : optimization/implicit regularization/generalization bounds)
Methods used for proof:
Telegrand's Lemma within Lipschitzness of function
inequalities related to sup
infinite sup usage






