CS229m Lecture 5 & 6

willkommen!·2024년 5월 21일

cs229m_stanford

목록 보기
1/2

CS229m Stanford Lecture 5 & 6
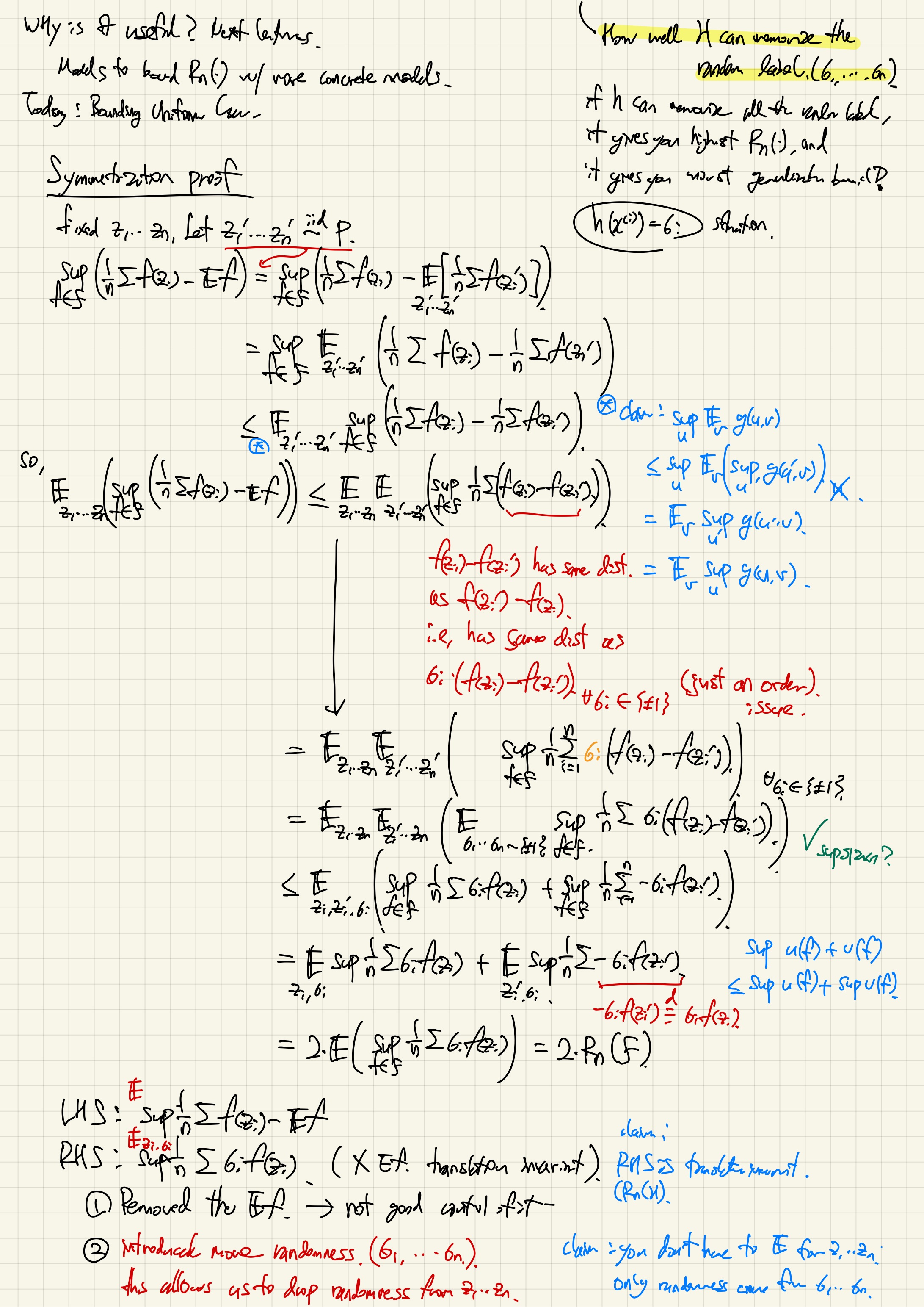
Summary : Radamacher Complexity & its upper bound w/ margin theory (telegrand's lemma, κ\kappa-Lipschitzness)










profile
통계/DS/AI 기록일지

0개의 댓글