❇️ 요약
- Git Checkout
- Git Branch
- -r / -a
- --delete
- Branch간 이동
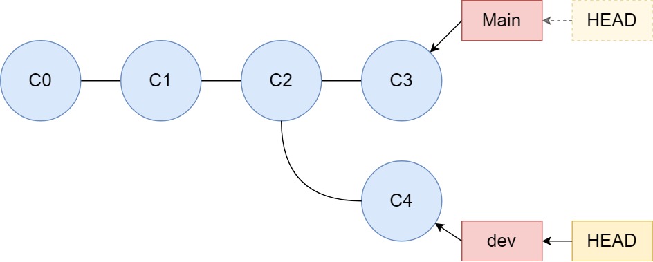
git checkout <commit_id>



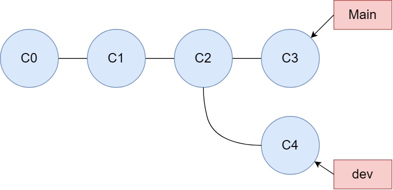
Head : 현재 내가 있는 위치
git branch
-r 옵션git branch -r
-a 옵션git branch -a
git branch <branch_name>
git push origin <branch_name>
git branch --delete <branch_name>
git push origin --delete <branch_name>
git checkout <branch_name>

설명 생략
- Remote Repository 생성
- 주소 + Token 복사
- Local Repository로 Clone
git branch : Local Branch 목록 보여줌* : 현재 HEAD가 여기를 가리키는 중git branch

git branch -r
git branch -a

git log

touch file1.py
git add file1.py
git commit -m "add file1"
ls
touch file2.py
git add file2.py
git commit -m "add file2"
ls

git branch dev
git branch

git log


git checkout dev
git branch

touch file3.py
git add file3.py
git commit -m "add file3"
ls

git checkout main
ls


cat > file1.py
print("hello, branch")
git commit -a -m "modify file1"
git status

git log --oneline

git checkout dev
git log --oneline

git branch -a

git push origin dev

git branch -a

-b 옵션 : 좀더 간단하게 Branch 만들고 이동하는 옵션 ⭐⭐⭐git checkout -b dev2
git branch

git push origin dev2
git branch -a

git branch --delete dev2

--delete로 삭제 불가, -D로 삭제 가능git checkout main
git branch --delete dev2

-D 는 참고만!git branch -D dev2
git branch

git push origin --delete dev2
git branch -a
