[250402수261H] 예금 가입자 예측 모델 구현 (1)

윤승호·2025년 4월 2일

데이터 전처리는 하면 할수록 실력이 느는 것 같다. 함수로 반복작업을 자동화 하는 게 재밌는데, 시간이 오래 걸려서 문제다.

학습시간 09:00~01:00(당일16H/누적261H)

◆ 오늘의 깨달음

  • 레이블 인코딩(map)과 원핫 인코딩(get_dummies)은 다르다!
    df['y'] = df['y'].map({'no': 0, 'yes': 1})
    pd.get_dummies(df['job'], drop_first=True)

  • 데이터 로드 시 추가할 수 있는 기능이 꽤 많다.

  • CatBoost랑 LightGBM에는 카테고리 타입을 자동으로 변환하는 기능이 있다.

◆ 학습내용

예금 가입자 예측 모델 구현
이번 미션도 화이팅이다!

1. 데이터 전처리

이 녀석 어떻게 생겼나 먼저 함 보자.

df = pd.read_csv('bank-additional-full.csv')
df

?????????? 뭐야? 컬럼 분리가 안 되어 있다.

데이터 로드 시 기능을 추가해야 한다고 한다. 자세히 보니 세미콜론이 분기점인 것 같다.

df = pd.read_csv('bank-additional-full.csv', sep=';')

잘 나온다. 범주형과 수치형이 반반정도 섞여 있다.
결측값은 없는 것 같다. 근데 오브젝트가 많아서 문자열 처리할 때 골치아플 것 같네..

df.duplicated().sum()
df.drop_duplicates(inplace=True)

중복값이 12개 있어서 드랍시켰다.

df_numeric = df.select_dtypes(include=['number']).columns
scl = MinMaxScaler()
df_scl = pd.DataFrame(scl.fit_transform(df[df_numeric]), columns=df_numeric)
plt.figure(figsize=(15, 8))
sns.boxplot(data=df_scl)

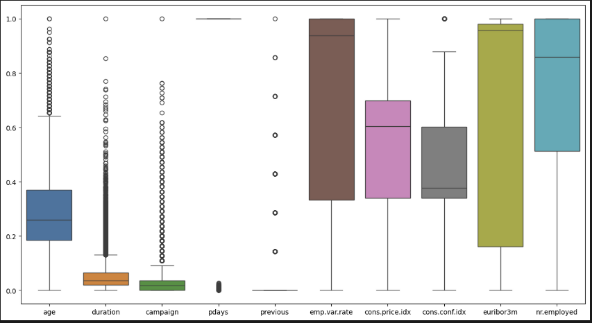
수치형 데이터를 먼저 보자. 조금 이상해 보이는 컬럼이 몇 개 있다. 일단 전부 보면서 생각해 보자.

  1. age(나이)
    연령대 분포가 퍼져 있고 이상치(고령자)가 존재한다. 중년층이 중심이고 고령층도 있지만 드물다는 뜻. 제거할 필요는 없어 보인다.

  2. duration(콜 지속초)
    대부분 전화를 금방 끊었다. 이상치가 많다. 전화를 길게 한 사람들의 통화 시간이 제각각이라는 뜻이다. 이상치가 너무 많으니 삭제.

  3. campaign(콜 횟수)
    중앙값이 낮다. 박스가 아주 좁은 범위에 몰려 있다. 대부분의 고객은 1~2회 정도만 연락을 받았다는 뜻이다. 이상치를 mode값으로 대체.

  4. pdays(전 캠페인 후 경과일)
    대부분의 값이 0 근처에 몰려 있다. 대부분 첫 연락이었다는 뜻이다. 범주형으로 사용하기 위해 0과 1로 변경.

  5. previous(이전 캠페인 동안 연락 횟수)
    pdays와 비슷한 형태. 대부분 0으로, 응답 했던 적이 거의 없는 고객이 많음. 이것도 범주형으로 사용하기 위해 0과 1로 변경.

  6. emp.var.rate(고용 변화율)
    이상치 없음. 분포가 넓어서 모델 학습에 좋아 보인다.

  7. cons.price.idx (소비자 물가 지수)
    이상치 없음.

  8. cons.conf.idx (소비자 신뢰 지수)
    일부 상위 이상치만 제거.

  9. euribor3m (3개월 유로 금리)
    이상치 없음. 분포가 넓어서 모델 학습에 좋아 보인다.

  10. nr.employed (고용 인구 수)
    이상치 없음.

# duration 삭제
df.drop(columns=['duration'], inplace=True)

# campaign 3사분위 이상 처리
upper_limit = (df['campaign'].quantile(0.75) + (1.5 * (df['campaign'].quantile(0.75) - df['campaign'].quantile(0.25))))
df['campaign'] = df['campaign'].where(df['campaign'] <= upper_limit, df['campaign'].mode()[0])

# pdays 이진화
df['pdays'] = df['pdays'].apply(lambda x: 0 if x == 999 else 1)

# previous 이진화
df['previous'] = df['previous'].apply(lambda x: 0 if x == 0 else 1)

# cons.conf.idx 3사분위 이상 처리
upper_limit = (df['cons.conf.idx'].quantile(0.75) + (1.5 * (df['cons.conf.idx'].quantile(0.75) - df['cons.conf.idx'].quantile(0.25))))
df['cons.conf.idx'] = df['cons.conf.idx'].where(df['cons.conf.idx'] <= upper_limit, df['cons.conf.idx'].mode()[0])

전반적으로 이상치를 처리했다.

# 수정 반영 여부 확인
df_numeric = df.select_dtypes(include=['number']).columns
scl = MinMaxScaler()
df_scl = pd.DataFrame(scl.fit_transform(df[df_numeric]), columns=df_numeric)
plt.figure(figsize=(15, 8))
sns.boxplot(data=df_scl)

아까보다 훨씬 정돈된 느낌이다.
이제 문자열을 처리할 차례인데 생각보다 오브젝트가 많다.

# 문자열 데이터 확인
print(df.select_dtypes(exclude=['number']).columns, "\n", '-' * 50)

def print_uniques(df, columns):
    for column in columns:
        counts = df[column].value_counts()
        combined = [f"{word}({count})" for word, count in zip(counts.index, counts.values)]
        print(f"{column}: {', '.join(combined)}")
        print('-' * 50)
columns_to_check = df.select_dtypes(exclude=['number']).columns
print_uniques(df, columns_to_check)

오브젝트를 한번에 보고 싶어서 연구하다가 함수를 하나 만들었다. 와 이거 하나 만드는데 한 시간이 넘게 걸렸다. 잘 저장해뒀다가 나중에도 써야지!
쭉 보니 정제할 게 몇 보인다.

job: 온점과 대쉬 삭제. unknown 결측치로 판단하고 삭제.
marital: unknown 결측치로 판단하고 삭제.
education: professional, university, highschool, basic으로 통일. unknown 결측치로 판단하고 삭제. illiterate 몇 명 없으므로 최적화를 위해 삭제.
default: 예가 3명이고 나머지는 아니오&미확인이다. 이 컬럼은 드롭하는 게 좋을 듯하다.
housing: unknown 결측치로 판단하고 삭제.
loan: unknown 결측치로 판단하고 삭제.
contact: 이상 없음
month: 이상 없음
day_of_week: 이상 없음
poutcome: 이상 없음
y: 이상 없음

# 문자열 정제
df['job'] = (df['job']
    .str.replace('.', '', regex=False)
    .str.replace('-', '', regex=False)
    .str.lower()
    .str.strip()
)

df['education'] = (df['education']
    .str.replace('university.degree', 'university', regex=False)
    .str.replace('high.school', 'highschool', regex=False)
    .str.replace('professional.course', 'professional', regex=False)
    .str.replace('basic.9y', 'basic', regex=False)
    .str.replace('basic.6y', 'basic', regex=False)
    .str.replace('basic.4y', 'basic', regex=False)
    .str.replace('illiterate', 'unknown', regex=False)
)

df = df[df['housing'] != 'unknown']
df = df[df['loan'] != 'unknown']
df = df[df['job'] != 'unknown']
df = df[df['education'] != 'unknown']
df = df[df['marital'] != 'unknown']
df = df.drop(columns=['default'])
df['y'] = df['y'].map({'yes': 1, 'no': 0})

columns_to_check = df.select_dtypes(exclude=['number']).columns
print_uniques(df, columns_to_check)

문자열 정제 완료. 종속변수도 미리 매핑해줬다.

2. 시각화

# 시각화
plt.xticks(rotation=45); plt.show(sns.lineplot(data=df, x='age', y='y', errorbar=None, palette='Set2'))
plt.xticks(rotation=45); plt.show(sns.barplot(data=df, x='job', y='y', errorbar=None, palette='Set2'))
plt.xticks(rotation=45); plt.show(sns.barplot(data=df, x='marital', y='y', errorbar=None, palette='Set2'))
plt.xticks(rotation=45); plt.show(sns.barplot(data=df, x='education', y='y', errorbar=None, palette='Set2'))
plt.xticks(rotation=45); plt.show(sns.barplot(data=df, x='housing', y='y', errorbar=None, palette='Set2'))
plt.xticks(rotation=45); plt.show(sns.barplot(data=df, x='loan', y='y', errorbar=None, palette='Set2'))
plt.xticks(rotation=45); plt.show(sns.barplot(data=df, x='contact', y='y', errorbar=None, palette='Set2'))
plt.xticks(rotation=45); plt.show(sns.lineplot(data=df, x='month', y='y', errorbar=None, palette='Set2'))
plt.xticks(rotation=45); plt.show(sns.barplot(data=df, x='day_of_week', y='y', errorbar=None, palette='Set2'))
plt.xticks(rotation=45); plt.show(sns.barplot(data=df, x='campaign', y='y', errorbar=None, palette='Set2'))
plt.xticks(rotation=45); plt.show(sns.barplot(data=df, x='pdays', y='y', errorbar=None, palette='Set2'))
plt.xticks(rotation=45); plt.show(sns.barplot(data=df, x='previous', y='y', errorbar=None, palette='Set2'))
plt.xticks(rotation=45); plt.show(sns.barplot(data=df, x='poutcome', y='y', errorbar=None, palette='Set2'))
plt.xticks(rotation=45); plt.show(sns.lineplot(data=df, x='emp.var.rate', y='y', errorbar=None, palette='Set2'))
plt.xticks(rotation=45); plt.show(sns.lineplot(data=df, x='cons.price.idx', y='y', errorbar=None, palette='Set2'))
plt.xticks(rotation=45); plt.show(sns.lineplot(data=df, x='cons.conf.idx', y='y', errorbar=None, palette='Set2'))
plt.xticks(rotation=45); plt.show(sns.lineplot(data=df, x='euribor3m', y='y', errorbar=None, palette='Set2'))
plt.xticks(rotation=45); plt.show(sns.barplot(data=df, x='nr.employed', y='y', errorbar=None, palette='Set2'))

계속 코드 쓰기 귀찮아서 한방에 다 넣었다. 그랬더니 진짜 한방에 다 나옴. 필요한 것만 코멘트 달아보겠음.
나이: 20대 초반 반짝, 그 후 60대부터 가입률이 높다. 30대부터 높을 것이라 추축했는데 의외의 결과다.
직업: 학생과 은퇴자 비율이 높다. 20대 초반과 60대 이후니 이해가 된다.
결혼여부: 싱글이 소폭 높다. 결혼하면 저축할 시간이 없을 것이라 생각했는데 어쩌면 맞았나..!?
학력: 학력이 높을수록 가입률도 높다. 왜지?? 더 돈을 잘 벌어서 그런가?
연락수단: 폰으로 연락할 때 가입률이 높다. 유선전화는 오래받기 싫어서 그럴 것이라 생각해 본다.
월: 순서가 약간 뒤죽박죽이긴 한데 3, 9, 10, 12월이 높다.
일: 요일은 관계가 없다.
연락횟수: 많이 할수록 떨어진다.
이전 캠페인 후 지난 일수: ?? 이건 이해를 못하겠다. 삭제!
이전 캠페인에 연락했던 사람: 확실히 연락했던 사람이 더 잘 가입한다.
이전 캠페인 결과: 가입했던 사람이 더 잘 가입한다.
고용자 수: 고용률의 절대수치 같은 건가? 고용자 수가 높을 수록 예금 가입률은 떨어진다.

패턴이 보이지 않는 housing, loan, day_of_week, emp.var.rate, cons.price.idx, cons.conf.idx, euribor3는 삭제해야겠다.

df.drop(columns=[
    'housing', 
    'loan', 
    'day_of_week', 
    'emp.var.rate', 
    'cons.price.idx', 
    'cons.conf.idx', 
    'euribor3m'], inplace=True)

오케이 필요한 열만 남았다. 이제 마지막으로 인코딩을 해보자!

# 문자열 인코딩 진행
# 원핫인코딩(랜덤포레스트 용)
df['month'] = df['month'].map({'jan': 1, 'feb': 2, 'mar': 3, 'apr': 4, 'may': 5, 'jun': 6, 'jul': 7, 'aug': 8, 'sep': 9, 'oct': 10, 'nov': 11, 'dec': 12})
df_encoded = pd.get_dummies(df, columns=['job', 'marital', 'education', 'contact', 'poutcome'], drop_first=True)
# 카테고리화(CatBoost, LightGBM 용)
df_cat = df.copy()
cat = ['job', 'marital', 'education', 'contact', 'poutcome']
df_cat[cat] = df_cat[cat].astype('category')

df_encoded.info()

CatBoost랑 LightGBM에는 카테고리 타입을 자동으로 변환하는 기능이 있다고 한다. 그래서 비교해 보려고 df를 두 개로 나눴다. 이제 데이터 전처리는 끝난 것 같다. 내일은 모델을 구현해 보자!

profile
나는 AI 엔지니어가 된다.

0개의 댓글