yoonyamm.log
로그인
yoonyamm.log
로그인
Natural Language Processing - Week 2
HO SEUNG YOON
·
2024년 6월 14일
팔로우
0
Natural language processing
Natural Language Processing Specialization
목록 보기
2/6
Sentiment Analysis with Naïve Bayes
Lecture: Naive Bayes
Probability and Bayes’ Rule
probability of intersection
Bayes’ Rule
happy중에 positive
positive중에 happy
Naïve Bayes Introduction
naive bayes is example of supervised machine learning
share many similarities with logistic regression method
total negative also 13
neutral words(I, am, learning, NLP), power words(happy, sad, not)
problem : because
to avoid this, smooth probability function
neutral words will be cancle out in the expression
rest value is higher than 1, which means more likely correspond to positive sentiment.
Laplacian Smoothing
avoid from probability being zero
1을 numerator에 넣어서 0이 될 확률 회피.
V words to normalize
denominator에 V를 추가해줌으로써 모든 확률의 합이 1이 된다.
Log Likelihood, Part 1
conditional probabilities를 사용해서 ratio 계산
as m gets larger, numerical underflow risk
logarithm으로 해결
lambda : log of the ratio of probability that word is positive devide by the probability negative word
calculate log score of entire corpus by summing out the lambdas
category by dividing conditional probabilities
reduce risk of numerical underflow by using logarithm we called lambda
Log Likelihood, Part 2
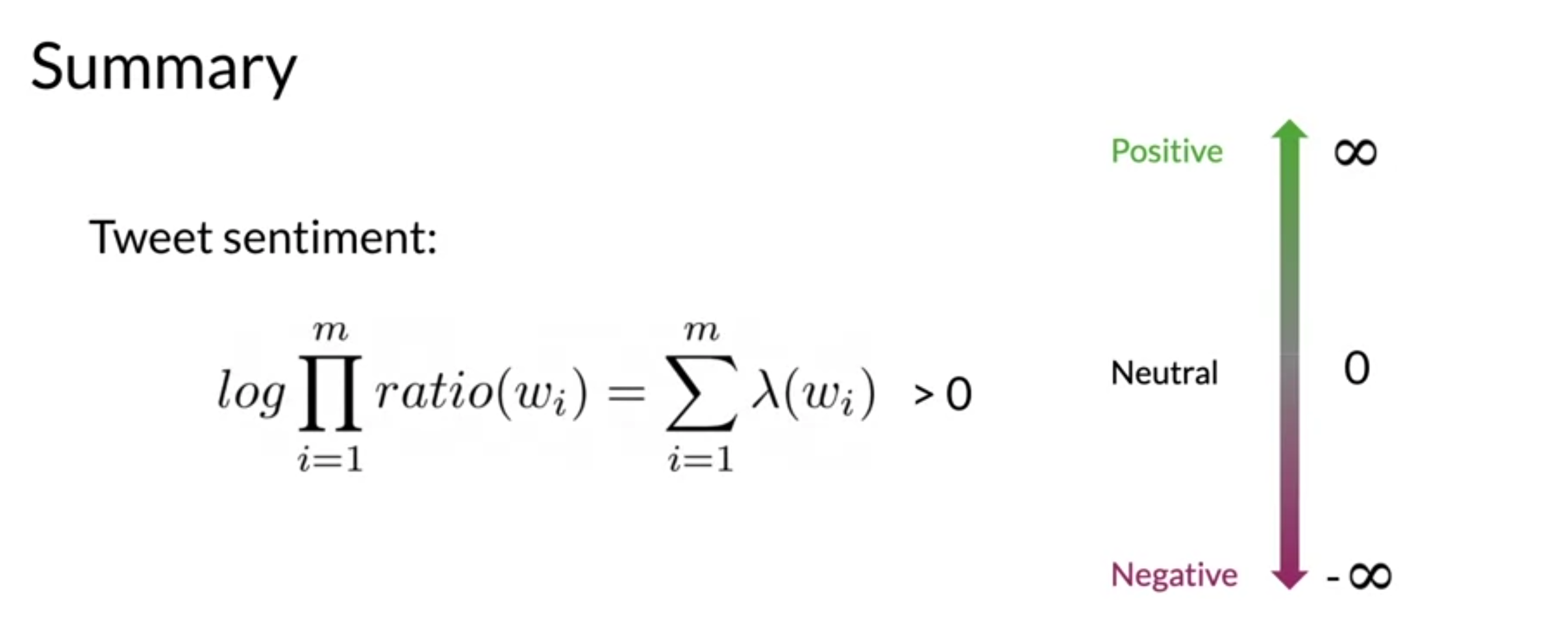
for the log-likelihood decision threshold is zero
Training Naïve Bayes
no gredient descent just counting frequencies of words in corpus
get conditional probabilities by using Laplacian smoothing formula
get the lambda score
Testing Naïve Bayes
interview no contributes
words not appeared in lambda table are treated as neutral words
Applications of Naïve Bayes
Naïve Bayes Assumptions
sunny and hot is actually not independent but naive bayes assume it independent
under or over estimation of naive bayes
inappropriate words might been banned by platform
Error Analysis
check out what actual sentences look like
word order
HO SEUNG YOON
윤냠
팔로우
이전 포스트
Natural Language Processing - Week 1
다음 포스트
Natural Language Processing - Week 3
0개의 댓글
댓글 작성