Natural Language Processing - Week 4
Lecture : Machine Translation




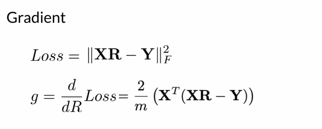
- 프로베니우스 놈(Frobenius norm) : L2 Norm;Euclidean Norm을 matrix로 확장



K-nearest neighbors



Summary
- K-nearest neighbors, for closest matches
- Hash tables
Hash tables and hash functions





- based on where they're located in vector space
Locality sensitive hashing

- the blue plane and grey plane looks like bucket



- when dot product is
- positive : the vector is on one side of the plane
- zero : the vector is on the plane
- negative : the vector is on the opposite side of the plane



Multiple Planes
- Multiple planes -> Dot products -> Hash values



- locality sensitive hashing

Approximate nearest neighbors


Searching documents

- 3 dimensions document vector
