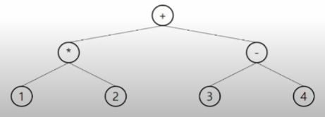
수식을 표현하는 이진 트리
수식 이진 트리(Expression Binary Tree)라고 부르기도 함
연산자는 루트 노드이거나 가지 노드(internal node)
피연산자는 모두 잎 노드(leaf node / external node)
연산은 아래에서 위로

중위 순회 : A / B C D + E
후위 순회 : A B / C D E +
전위 순회 : + * * / A B C D E

완전 이진 트리(사실상 배열이랑 같음 얘는)에 있는 노드 중 키 값이 가장 큰 노드나 키 값이 가장 작은 노드를 찾기 위해 만든 자료구조
힙에서 Root : 최대값 혹은 최소값
최대 힙 (max heap)
최소 힙 (min heap)
완전 이진 트리인가?
부모 >= 자식 (자식은 최대 2개) - leaf node는 비교할 필요 없음. 자식이 없잖아
ex> 노드가 총 9개일 때 4개만 조사
ex> 노드가 총 10개일 때 5개만 조사
=> 총 노드 개수 / 2 만큼만 조사하면 됨. (leaf node는 조사 필요 x)

리프노드는 배열 뒤쪽에 다 있다










우선순위 큐를 구현하는 가장 효율적인 방법 : 힙 활용
부모/자식 노드를 O(1) 연산으로 손쉽게 구할 수 있다.
n 위치의 노드의 자식은 2*n, 2*n +1
완전 이진 트리의 특성에 의해 추가/삭제를 자료의 시작과 끝 인덱스를 활용하여 손쉽게 할 수 있다.