데이터 통신
전송 매체는 물리 계층 아래에 위치하며, 물리 계층에 의해 직접 제어된다. 그림 은 물리 계층과 관련된 전송 매체의 위치를 보여준다.

전송 매체는 소스로부터 목적지까지 정보를 전달할 수 있는 모든 것으로 광범위하게 정의될 수 있다.
데이터 통신에서, 전송 매체는 일반적으로 free space(무선), 금속 케이블 또는 광섬유 케이블이다. 정보는 일반적으로 다른 형식의 데이터를 변환한 결과인 신호이다.
컴퓨터와 다른 통신 장치들은 데이터를 표현하기 위해 신호를 사용한다. 이러한 신호는 전자기 에너지 형태로 한 장치에서 다른 장치로 전송되며, 이는 전송 매체를 통해 전파된다.
통신에서 전송 매체는 크게 두가지로 나눌 수 있다
데이터 전송의 특성과 품질은 매체의 특성과 신호의 특성에 의해 결정된다.
- guided 매체의 경우 매체 자체가 전송의 한계를 결정하는 데 더 중요하다.
- unguided 매체의 경우, 송신 안테나에 의해 생성되는 신호의 대역폭은 송신 특성을 결정하는 데 있어서 매체보다 더 중요하다.
- 안테나가 전송하는 신호의 핵심 특성 중 하나는 방향성이다.
- 일반적으로 더 낮은 주파수의 신호는 모든 방향으로 전파된다.
- 더 높은 주파수에서는 신호를 방향에 초점을 맞출 수 있다.
Data rate 및 거리는 데이터 전송 시스템 설계에서 주요 고려 사항이다. 전송 매체와 신호와 관련된 여러 가지 설계 요인이 데이터 속도 및 거리를 결정한다.
대역폭
- 신호의 대역폭이 클수록 달성 가능한 데이터 속도가 높아진다
매체 손상
- 감쇠와 같은 장애는 거리를 제한한다.
- 유도 매체의 경우, 트위스트 페어(twisted pair)는 일반적으로 동축 케이블보다 더 많은 손상을 입으며, 이는 다시 광섬유보다 더 많은 장애를 겪는다.
간섭
- 겹치는 주파수 대역에서 경쟁 신호로부터의 간섭은 신호를 왜곡하거나 취소할 수 있다.
수신자 수
- GUIDEED 매체를 사용하여 포인트 투 포인트 링크 또는 여러 개의 첨부가 있는 공유 링크를 구성할 수 있다.
- 후자의 경우, 각 부착물은 라인에 약간의 감쇠와 왜곡을 유발하여 거리 및/또는 데이터 속도를 제한한다.

- 유도 전송 매체의 경우, 전송 용량은 데이터 속도 또는 대역폭 측면에서 거리와 매체가 포인트 투 포인트인지 멀티 포인트인지에 따라 결정적으로 달라진다.
- 표는 장거리 포인트 투 포인트 애플리케이션을 위한 일반적인 유도 매체에 전형적인 특성을 나타낸다.
한 장치에서 다른 장치로 선을 제공하는 유도 매체에는 트위스트 페어 케이블, 동축 케이블 및 광섬유 케이블이 포함된다. 신호는 매체의 물리적 한계에 의해 지시되고 억제된다. 트위스트 페어 및 동축 케이블은 신호를 전류 형태로 수신하고 전송하는 금속(구리) 도체를 사용한다. 광섬유는 빛의 형태로 신호를 받아 전달하는 케이블이다.
Twisted Pair Cable

선을 꼬은 이유?
두 와이어가 일직선인 경우, 선이 간섭에 영향에 대해 서로 다른 위치에 있기 때문에 두 와이어에서 간섭 작용이 동일하지 않는다(예: 하나는 더 가깝고 다른 하나는 더 멀다).
이로 인해 수신기에서 신호의 차이가 발생한다.
그래서 쌍을 꼬아서 균형을 유지한다.
예를 들어, 한 트위스트에서 한 와이어는 노이즈 소스에 더 가깝고 다른 와이어는 더 멀다고 가정하고, 다음 트위스트에서는 그 반대이다. 꼬임으로 인해 두 와이어 모두 외부 영향(노이즈 또는 크로스 토크)에 의해 동일하게 영향을 받을 수 있다.
Unshielded Versus Shield Twisted Pair
unshieled 않은 트위스트 페어(UTP)
- 일반 전화선
- 가장 싼
- 설치가 가장 용이함
- 외부 전자파 간섭(EMI)의 영향이 크다
shieled 트위스트 페어(STP)
- 간섭을 줄이는 금속 브레이드 또는 시스 포함
- 취급하기 어려운(두꺼운, 무거운)
- 더비싸다
전자산업협회(EIA)는 비차폐 트위스트 페어 케이블을 7가지 범주로 분류하는 표준을 개발했다. 케이블 품질에 따라 기준이 분류되고, 1이 가장 낮고 7이 가장 높다.범주는 특정 용도에 적합하게 사용된다.
UTP CONNECTOER

가장 일반적인 UTP 커넥터는 그림과 같이 RJ45이다. RJ45는 키가 있는 커넥터로, 커넥터는 한 방향으로만 삽입될 수 있습니다.
- 이 삽입 방식, 즉 연결을 어떻게 할 것인가를 방법으로 정하여 프로토콜로 만들었다.
- Straight through cable
- 일직선으로 연결한다.
- 다른 유형의 통신 장치에 사용한다.
- Crossover cable
- 꼬아서 연결한다
- 같은 유형의 통신 장치에 사용한다.
케이블이 굵을수록 안정된다.

- 트위스트 페어 케이블은 광범위한 주파수를 통과할 수 있다.
- 게이지는 와이어 두께의 측정값이다.
Near End Crosstalk(NEXT)
-
간섭의 종류이다
-
한 쌍의 도체에서 다른 한 쌍의 도체로의 신호 결합
- 도체는 커넥터의 금속 핀이거나 케이블의 와이어 쌍일 수 있다.
-
근접 단자는 링크로 들어가는 전송 신호가 링크의 동일한 끝에서 수신 도체 쌍에 다시 결합될 때 발생하는 커플링을 말합니다.
-
NEXT 손실 크기가 클수록 크로스 토크 노이즈가 줄어듭니다.
NEXT는 가까운 쪽에 영향을 주고
FEXT는 먼 쪽에 영향을 준다.
Coaxial Cable
동축케이블 특성
- 트위스트 페어보다 우수한 주파수 특성
- 감쇠 및 노이즈에 의해 제한된 성능
아날로그 신호
-
증폭기는 few 킬로미터마다 필요
- 더 높은 주파수의 경우 더 가깝게 증폭기가 필요
-
사용가능한 스펙트럼은 500MHZ까지
디지털 신호
- 리피터가 1km마다 필요
- 높은 data rate을 가지면 더 가까이 설치 필요
동축케이블 standards

- 동축 케이블은 라디오 goverment(RG) 등급에 따라 분류된다.
- RG 번호는 물리적 사양을 나타낸다
동축케이블 connector
- 동축 케이블을 장치에 연결하려면 동축 커넥터가 필요하다.
- 오늘날 사용되는 가장 일반적인 유형의 커넥터는 BNe(Bayone-Neil-Concelman) 커넥터이다.
- 버스구조에서 이용되는 커넥터이다.
동축케이블 성능
- 동축 케이블은 대역폭이 훨씬 더 크지만, 신호는 빠르게 약화되어 리피터의 빈번한 사용이 요구된다.
광섬유
- 유리 또는 플라스틱으로 구성됨
- 빛의 형태로 신호를 전송
빛의 특성
- 전자기 에너지 형태
- 진공 상태에서의 속도: 30만 km/s, 186,000 m/s
- 밀도가 높은 매체를 통과할 때 속도가 감소한다.
- 빛은 한 일직선으로 이동한다.
- 한 물질을 통과하는 빛이 다른 물질(밀도가 다른 물질)로 갑자기 들어가면, 그 빛은 방향을 바꾼다.
빛의 굴절

- β>α일 경우 매체 B(물)는 매체 A(공기)보다 광학 밀도가 높다.
- (굴절률) = sin(입사각)/sin(굴절각) = cos(α)/cos(β)
- 굴절률 < 1 (α > β)의 경우, α가 특정 임계각보다 작으면 굴절광은 없다. 즉, 모든 빛이 반사된다.
- 코어를 둘러싼 cladding(피복)도 유리이지만, 코어에 비해 광학적으로 밀도가 낮다.
- 밀도를 조정하는 것이 CLADDING의 역할이다.

그림은 밀도가 높은 물질에서 밀도가 낮은 물질로 이동할 때 빛이 어떻게 방향을 바꾸는지 보여준다.
- 입사각 I(두 물질 사이의 계면에 수직인 선과 함께 광선이 이루는 각도)이 임계각보다 작으면 광선은 굴절되어 표면에 더 가까이 이동한다.
- 입사각이 임계각과 같으면 빛이 표면을 따라 휘어진다.
- 각도가 임계 각도보다 크면 광선은 반사(회전)하여 밀도가 높은 물질에서 다시 이동한다.

- 광섬유는 빛을 유도하기 위해 반사를 사용한다.
- 유리 또는 플라스틱 코어는 밀도가 낮은 유리 또는 플라스틱 클래딩으로 둘러싸여 있다.
- 두 물질의 밀도 차이는 코어를 통해 이동하는 광선이 클래딩으로 굴절되는 대신 클래딩에서 반사되는 것이어야 한다.
전파 모드
각각은 서로 다른 물리적 특성을 가진 광섬유를 필요로 한다.
광원의 빛은 원통형 유리나 플라스틱 코어로 들어간다.

multi mode
- 여러 빛이 서로 다른 경로로 이동하기 때문에 이름이 이렇다.
- 케이블에서 이동하는 방법은 코어 구조에 따라 달라진다.
step index
-
밀도가 일정하게 유지
-
부딪쳐서 신호가 진행된다.
-
신호의 왜곡이 심하다.
graded index
- core의 밀도를 달리해 신호를 맞춘다
- 신호의 왜곡을 감소시킨다
- LAN에 종종 사용된다.
single mode
- 비싸다
- 일직선으로 빛이가기 때문에 신호에 대한 왜곡이 거의 없다.
- 코어의 밀도를 조정해 일직선으로 가게 만든다.
- 전화와 케이블 TV를 포함한 장거리 애플리케이션에 사용된다.
광 섬유 성능

그림은 광섬유 케이블에서 매우 흥미로운 현상을 보여준다.
감쇠는 트위스트 페어 케이블 및 동축 케이블의 경우보다 평평하다.
광케이블을 사용할 때 더 적은 수의 리피터(실제로 10배 더 적은)가 필요하다.
빛의 속도 = 파장 * 주파수
광섬유의 좋은 점
더 큰 용량
- 수십 킬로미터에 걸쳐 수백 Gbps의 데이터 속도가 입증되었다.
더 작은 사이즈와 더 가벼운 무게
- 동축 또는 트위스트 페어 케이블보다 상당히 얇음
- 구조적 지원 요구 사항 감소
감쇠 하한
전자기 분리
- 간섭, 임펄스 노이즈 또는 크로스 토크에 취약하지 않음
- 도청으로부터 높은 수준의 보안
리피터 간격 확대
Unguided Media
- 무선 방식은 전파를 사용하여 신호를 공기로 전파한다.
- 케이블과 달리 신호를 보호하기 위한 대비가 없어 노이즈, 간섭, 왜곡 등에 쉽게 노출된다.
- 따라서, 무선 전송에서 다양한 무선 채널의 특성, 노이즈 특성 및 페이딩에 대한 연구가 필요하다.
- 신호 간 충돌을 방지하기 위해 각 통신 방식에 사용되는 주파수 대역을 지정한다.
그럼 어떻게 신호를 얻나??
전자기파
- 전기장과 자기장이 공간상으로 방사되는 파동
- 빛
- 전자기파는 빛의 속력으로 진행된다

- 그림은 무선 통신에 사용되는 전자기 스펙트럼의 부분을 보여준다.
Radio Wave
- 3Khz와 1Ghz사이
- 전방향성 안테나를 통해 방사되는 파동
Micro Wave
- 1Ghz와 300Ghz사이
- 방향이 없는
- 컴퓨터 통신에 주로 사용
Infrared Light
- 300Ghz와 400Thz 사이
- 주로 단거리 통신에 사용됩니다.
Propagation methods 전파 방법

unguided 신호는 그림과 같이 지상 전파, 하늘 전파 및 가시거리 전파와 같은 여러 가지 방법으로 소스에서 목적지까지 이동할 수 있다.
groun propagation
- 전파는 지구를 껴안고 대기의 가장 낮은 부분을 통과한다.
- 송신 안테나에서 모든 방향으로 방출
- 거리는 신호의 전력량에 따라
sky propagation
- 전리층으로 올라가 지구로 반사된다.
- 더 낮은 출력 전력으로 더 먼 거리를 허용
- 안테나는 서로 마주보고 있는 방향이어야 하며, 지구에 영향을 받지 않을 만큼 충분히 높거나 서로 가까이 있어야 한다.
Line of sight propagation
- 현재 시야에 존재해야 통신이 가능하다.
- 무선 전송에 완전히 초점을 맞출 수 없기 때문에 까다롭다.
Bands
전자기 스펙트럼은 각각 정부에 의해 규제되는 밴드라고 불리는 8개의 범위로 나뉜다. 이러한 대역은 초저주파(VLF)부터 초고주파(EHF)까지 등급이 지정된다.
ISM(Industrial,Scientific,Medical) & UnII Band
- 규제가 없는 대역이다
- 개발을 위해 사용할 수 있다.
- 단 power에 대해선 규제가 있다.
- 주파수는 특정하게 용도를 구분해 대역을 나눈다.
무선 전송을 radio wave, 마이크로파, 적외선 세 개의 넓은 그룹으로 나눌 수 있다.

Radio Waves
- radio wave와 마이크로파 사이에 명확한 구분은 없지만, 3 kHz에서 1 GHz 사이의 주파수의 전자파를 일반적으로 Radio wave라 한다.
- 그러나 주파수보다는 wave 행동이 더 나은 분류 기준이다.
Microwaves
- 1에서 300GHz 사이의 주파수를 갖는 전자파를 마이크로파라고 한다.
- 단방향이다.
- 안테나가 마이크로파를 전송할 때, 그것들은 좁게 초점을 맞출 수 있다.
- 즉, 송신 안테나와 수신 안테나가 정렬되어야 한다.
- 한 쌍의 안테나는 다른 한 쌍의 정렬된 안테나를 방해하지 않고 정렬될 수 있다.
안테나가 특정방향으로 에너지를 보내면 멀리 보낼 수 있다.
-> beam forming을 잘해야한다.
안테나의 위상을 잘 맞추어야한다!
Undirectional antena

마이크로파는 한 방향으로 신호를 보내는 단방향 안테나가 필요하다.
마이크로파 통신에는 포물선 접시와 horn 두 가지 안테나가 사용된다.
포물선 접시 안테나
- 포물선의 기하학적 구조를 기반으로 한다.
- 이러한 방식으로, 많은 신호가 복구된다.
Infrared
-
300GHz ~ 400THz의 주파수(1mm ~ 770nm의 파장)를 가진 적외선 파장은 단거리 통신에 사용될 수 있다.
-
높은 주파수를 가진 적외선은 벽을 뚫을 수 없다.
- 흡수가 잘된다.
- 주파수가 높으니 wavelength가 짧다
- 저주파는 멀리 음질이 안좋다
- 고주파는 짧게 음질이 좋다.
-
한 방에 있는 근거리 통신 시스템은 옆방에 있는 다른 시스템의 영향을 받을 수 없기 때문에 이러한 유리한 특성은 한 시스템과 다른 시스템 간의 간섭을 방지한다
Antenas
- 전기 전도체(안테나)를 통해 라디에이터(발신기) 또는 전자 에너지 수집(수신기)
- 전송
- 송신기의 무선 주파수 전기 에너지
- 안테나에 의해 전자기 에너지로 변환됨
- 주변 환경으로 복사
- 수신
- 안테나에 전자기 에너지가 충돌함
- 무선 주파수 전기 에너지로 변환
- 수신기에 공급
- 두 가지 모두에 동일한 안테나가 자주 사용
Terrestrial Microwave
Satellite Microwave
- 통신 위성은 사실상 마이크로파 중계국이다.
- 두 개 이상의 지상국을 연결하는 데 사용
- 한 주파수 대역에서 전송을 수신하고, 신호를 증폭 또는 반복하며, 다른 주파수로 전송
- 주파수 대역을 트랜스폰더 채널이라고 한다.

- point to point link는 1대1 통신을 위성을 통해 진행한다.
- Broadcast link는 1대 n 통신을 한다.
Satelite microwave가 사용하는 주파수 대역
- 1-10GHz 범위의 최적 전송, 100'MHz 대역폭
- 4/6GHz 대역
- 업링크: 5.925~6.425GHz
- 다운링크: 3.7~4.2GHz
- 1~10GHz 최적의 대역. 사용량이 포화 상태
- 12/14GHz 밴드(Ku 밴드)
- 업링크: 14~14.5GHz
- 다운링크: 11.7~14.2GHz
- 감쇠 존재
- 19/29GHz 밴드(Ka 밴드)
- 업링크: 27.5~31.0GHz
- 다운링크: 17.7~21.2GHz
- 위성 통신에서 상당한 전파 지연 § 270ms
Satelite classification 분류
LEO(low earth orbit) 저궤도 위상
- 600~1,500km, MEO에 비해 낮은 전력 소비량
- 작은 안테나 크기, 짧은 지연
- 회전 주기는 약 90분에서 몇 시간사이
- 커버리지 영역이 좁기 때문에 전체 표면에 48~288개의 위성이 필요
- 위성을 이용한 지상파 셀룰러 네트워크 지원
MEO(medium earth orbit) 중간궤도 위상
- GPS, GLONASS 등에 사용되는 10,000~20,000Km
- 많이 사용하지 않음
GEO(Geo-synchronous Earth Orbit) 높은 궤도
고도에 따른 satelite orbit

Refraction 굴절
-
전자파의 속도는 물질의 밀도의 함수이다.
- 진공 상태에서는 ~ 3 x 10^8 m/s, 그 외 다른 상태에서는 더 적음
-
파동이 한 매체에서 다른 매체로 이동함에 따라, 그것의 속도는 변한다.
- 경계에서 파동 방향의 휨을 일으킴
- 더 조밀한 매체 쪽으로
-
굴절률(굴절률)은 다음과 같다.
-
파장에 따라 변화
-
미디어 간 전환 시 방향이 갑자기 변경될 수 있음
-
중간 밀도가 다를 경우 점진적인 휨이 발생할 수 있음
- 높이에 따라 대기 밀도가 감소합니다.
- 전파의 접지 방향으로 휘어지는 결과
LOS(Line of sight) transmission
Free space loss
- 신호가 거리에 따라 흩어짐
- 거리에따라 거리의 제곱보다 더 큰 손실이 신호에서 발생한다.
- 낮은 주파수의 경우 더 높음(파장이 더 길다)
Atmospheric absorption 대기 흡수
- 수증기와 산소가 무선 신호를 흡수한다.
- 비와 안개가 전파를 흩뿌린다.
Multi path 다중 경로
- 신호가 오는 길이 여러개다.
- 장점: 방해물이 있어도 괜찮다.
- 단점: 길에 따라 신호의 속도가 다르니 신호간 충돌이 존재한다.(ISI)
- 이를 방지하기위해 신호간 딜레이를 두어 순서가 보장되게 하거나
- 한번 보낼때 많은 데이터를 보내거나
- 가능하면 시야를 확보하는 것이 좋다.
- 신호가 반사되어 여러 복사본이 수신될 수 있다.
- 직접적인 신호가 전혀 아닐 수 있다.
- 직접 신호를 강화하거나 취소할 수 있다.
Refraction 굴절
- 수신기에서 신호가 부분적으로 또는 전체적으로 손실될 수 있습니다.
Free space loss
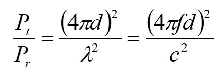
모든 유형의 무선 통신에서 신호는 거리에 따라 분산된다. 따라서, 고정 면적의 안테나는 송신 안테나로부터 멀어질수록 적은 신호 전력을 수신한다. 위성 통신의 경우, 다른 감쇠 또는 손상의 원인이 없다고 가정하더라도 신호가 더 넓은 영역에 걸쳐 확산되기 때문에 전송된 신호는 거리에 따라 감쇠된다. 이러한 감쇠의 형태는 free space loss로 알려져 있는데, 이는 안테나에 의해 수신된 전력 Pt에 대한 복사 전력 Pt의 비율 또는 데시벨로 그 비율의 로그의 10배를 취함으로써 표현될 수 있다.
자유 공간 손실, 이상적인 등방성 안테나의 경우

- Pt = 안테나 전송 시 신호 전력
- Pr = 수신 안테나에서의 신호 전력
- ㅅ = 반송파장
- d = 안테나 간 전파 거리
- c = 빛의 속도(3'108m/s)
- 여기서 d와 θ는 동일한 단위(예: 미터)에 있다.
수신 power는 거리의 제곱에 비례해 약해진다..

그림은 거리에따라 손실되는 power를 나타낸다.
Propagation Modes
- Ground-wave propagation
- Sky-wave propagation
- Line of sight propagation
Ground-wave propagation
Sky wave propagation
- 스카이웨이브 전파는 BBC와 미국의 소리 같은 아마추어 라디오와 국제 방송에 사용된다.
- 안테나의 신호는 상부 대기의 이온화 층에서 다시 반사된다.
- 신호는 전리층과 지구 표면 사이에서 앞뒤로 튕기면서 많은 홉을 통해 이동할 수 있다.
Line of sight propagation
Multipath propagation
Reflection 반사
- 신호가 신호의 파장에 비해 큰 표면을 만날 때 발생
Diffraction
- 전파의 파장에 비해 큰 투과성 물체의 가장자리에서 발생
Sscattering 산란
– 수신 신호가 신호의 파장 순서대로 크기가 있는 물체에 부딪힐 때 발생
Multipath propagtion의 효과
- 여러 개의 신호 사본이 서로 다른 phase에 도착할 수 있다.
- 위상이 파괴적으로 추가되면 노이즈에 대한 신호 레벨이 감소하여 감지가 더 어려워진다.
- 기호간 간섭(ISI)