수학에서는 계산에 대해서, 편하게 나타내기 위한 도구로 연산자를 사용한다. +,-,*,/ 는 대표적인 연산자다.
이와 비슷하게, regular language에 대해서 연산을 할 수 있는 연산자 3개를 알아보자.
A와 B가 language들일때, 우리는 union, concatenation, star라는 연산자를 정의할 수 있다.
- Union : A ∪ B = {x | x ∈ A or x ∈ B}.
- Concatenation :A ◦ B = {xy | x ∈ A and y ∈ B}.
- Star : A = {x1x2 . . . xk | k ≥ 0 and xi ∈ A}.
- ε는 A가 무엇이든간에 A*에 포함된다.
Σ는 26개의 심볼 {a, b, . . . , z}의 집합인 alphabet이라고 하자. 만약 A = {good,bad} 이고 B = {boy, girl}면
- A ∪ B = {good, bad, boy, girl},
- A ◦ B = {goodboy, goodgirl, badboy, badgirl}
- A∗ = {ε, good, bad, goodgood, goodbad, badgood, badbad,
goodgoodgood, goodgoodbad, goodbadgood, goodbadbad, . . . }
여기서 중요한 건, operate를 했을 때 나오는 결과물은 똑같이 regular language이다. 다시 말해, 이 3가지의 operate는 closed 되어있다는 소리다. 더 복잡한 것을 만들기 위해서, 작은 것들의 단위로 쪼개서 나중에 합해도 똑같은 결과가 나오는데, 이것을 증명하기 위해서는 operate가 closed 되어있다는 것을 증명해야 한다.
A ∪ B를 한 뒤, ◦ C를 해도 여전히 결과물은 regular language다.
증명 전 M1과 M2라는 예시를 가지고 증명할 예정이다.
M1은 1의 개수가 짝수인 language를 recognize하는 오토마톤이다.
M2는 0의 개수가 짝수인 language를 recognize하는 오토마톤이다.
- The class of regular languages is closed under the union operation.
- In other words, if A1 and A2 are regular languages, so is A1 ∪ A2.
M1는 recognize A1하고, M1 = (Q1, Σ, δ1, q1, F1)이다. M2는recognize A2하고, M2 = (Q2, Σ, δ2, q2, F2)이다.
A1 ∪ A2를 recognize하는 M은 M = (Q, Σ, δ, q0, F)이다.
Q = {(r1, r2) | r1 ∈ Q1 이고 r2 ∈ Q2}.
Q는 Q1과 Q2의 멱집합이며, Q1 × Q2로 쓰인다.
Σ은 알파벳이며 M1와 M2랑 똑같다.
만약 Σ1과 Σ2처럼 달라도 연산자는 논리적으로는 성립한다.(증명 가능하다)
q0는 (q1, q2)의 pair다. 다시 말해 M1과 M2의 시작 상태를 합한 상태다.
δ는 정의를 따르는 함수이다.
상태 (r1, r2) ∈ Q 와 심볼 a ∈ Σ에 대해서, δ((r1, r2), a) = (δ1(r1, a), δ2(r2, a))다.
다시 말해, (,)인 δ가 있다. 앞은 r1이 a를 만나면 어디로 가는지를 나타냈으며 이것은 δ1(r1,a)와 같다. 뒤는 r2가 a를 만나면 어디로 가는지를 나타으며, 이것은 δ2(r2,a)와 같다. 그러므로 δ = (δ1(r1, a), δ2(r2, a))다.
F는 M1의 accept state거나 M2의 accept state여야 한다.우리는 F = {(r1, r2) | r1 ∈ F1 또는 r2 ∈ F2}처럼 쓸 수 있다.
그러므로 M은 (Q1 x Q2, Σ, (δ1(r1, a), δ2(r2, a)), (q1, q2), {(r1, r2) | r1 ∈ F1 or r2 ∈ F2})다. 이것은 M을 M1과 M2로 표현한 것이다. M1과 M2는 둘 모두 regular language이므로, M또한 regular language다

NFA를 이용하여 증명하는 방법이다.
language A1과 A2가 있으며, A1 ∪ A2를 할 수 있다.
A1과 A2를 각각 recognize하는 N1과 N2 가 있을 때, A1 ∪ A2에 대한 NFA인 N가 있다.
N은 N1과 N2를 가지고 있으며, 새로운 시작 지점에서 ε을 통해 각각에 접근한다. 새로 만들어진 N은 N1과 N2를 accept한다.

N1 = (Q1, Σ, δ1, q1, F1)은 A1을 recognize하고, N2 = (Q2, Σ, δ2, q2, F2)는 A2를 recognize한다.
새로운 N = (Q, Σ, δ, q0, F)은 A1 ∪ A2를 recognize한다.
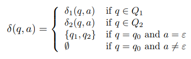
- Q = {q0} ∪ Q1 ∪ Q2. N1과 N2의 상태들을 가지고 있으며, 새로운 시작지점 q0를 가진다,

- The class of regular languages is closed under the concatenation
operation.- In other words, if A1 and A2 are regular languages then so is A1 ◦ A2.
language A1과 A2가 있으며, A1 ◦ A2를 할 수 있다.
A1과 A2를 각각 recognize하는 N1과 N2 가 있을 때, A1 ◦ A2에 대한 NFA인 N가 있다.
N은 N1과 N2를 가지고 있으며, N1의 통과 상태에서 N2의 시작 상태로 ε를 이용해서 연결해 준 후, N1의 통과 상태를 그냥 상태로 바꿔준다.
위 과정을 통해 N의 통과상태들은 N2의 통과상태만 가지게 된다.

N1 = (Q1, Σ, δ1, q1, F1)은 A1을 recognize하고, N2 = (Q2, Σ, δ2, q2, F2)는 A2를 recognize한다.
새로운 N = (Q, Σ, δ, q0, F)은 A1 ∪ A2를 recognize한다.
- Q = Q1 ∪ Q2. N1과 N2의 상태들을 가지고 있다.

- The class of regular languages is closed under the star operation.
- In other words, if A1 is regular language then so is A1*.
language A1가 있으며, A1*를 할 수 있다.
A1를 recognize하는 N1이 있을 때, A1*에 대한 NFA인 N가 있다.
N은 N1을 가지고 있으며, N1의 통과 상태에서 N1의 시작 상태로 ε를 이용해서 연결해주면 된다.
이 때, 한번도 추가하지 않은 empty string 상태에 대해서도 accept해주기 위해서 새로운 시작 상태 q0를 만들어주고, 통과 상태로 만들면 된다.

N1 = (Q1, Σ, δ1, q1, F1)은 A1을 recognize한다.
새로운 N = (Q, Σ, δ, q0, F)은 A1*를 recognize한다.
- Q = {q0} ∪ Q1. N1의 상태들을 가지고 있으며, 새로운 시작지점 q0를 가진다.
