Time Complexity in Computation Theory

난1렙이요·2024년 12월 19일

컴퓨테이션 이론

목록 보기
22/22

Time Complexity in Computation Theory

  • 어떤 문제가 decidable하다고 해보자. decidable하면 결국에는 풀 수 있다.
  • 근데, 문제가 decidable해도 오래 걸리면 사실상 못 푸는 문제이다.
    • 공학과 과학의 차이인데, 이론적으로 풀리는 문제여도 실제 푸는데 오래 걸리면, 사실상 풀기 힘든 문제이다.
  • 주의해야 할 것이 있는데, 우리가 관성적으로 나타내는 BigOBig-O표기법은 알고리즘의 시간 복잡도를 나타내는 것이다.
    • 정렬 알고리즘은 O(n2),O(nlogn)O(n^2), O(nlogn)등등 나타낼 수 있다. 어떤 알고리즘은 빠르며, 어떤 알고리즘은 느리다.
    • 그러나 여기서 나타내는 시간 복잡도는 문제에 대한 얘기이다. 정렬 문에 대한 시간복잡도는 O(nlogn)O(nlogn)이라고 규명할 수 있으며, O(n2)O(n^2)라고 말하면 틀린 것이다.

Measuring Complexity

f,g:NR+f, g : \mathbb{N} → \mathbb{R}^+를 만족하는 함수ff,gg가 있다고 하자.
양의 정수 ccn0n_0이 있고, nn0,f(n)cg(n)n ≥ n_0, f(n) ≤ cg(n)이면 f(n)=O(g(n))f(n) = O(g(n))로 나타낸다.
f(n)=O(g(n))f(n) = O(g(n))로 나타냈을 때, g(n)g(n)은 적어도 f(n)f(n)보다는 커야 한다.

f1(n)f_1(n)5n3+2n2+22n+65n^3 + 2n^2 + 22n + 6 인 함수라고 해보자.
제일 높은 차수인 5n35n^3 and 을 생각해보면, f1(n)=O(n3)f_1(n) = O(n^3)이라고 할 수 있다. (5를 곱하는 건 고려하지 않는다. 임의의 양의 정수 c가 5보다 크면 성립하기 때문.)
비슷하게, f1(n)=O(n4)f_1(n) = O(n^4)으로 나타낼 수 있는데, n4n^4n3n^3보다 크기 때문이다. 하지만 실제로 쓸모는 별로 없다.
그러나, f1(n)=O(n2)f_1(n) = O(n^2)는 안된다. 왜냐하면 실제로는 이것보다 오래 걸리기 때문이다.

t(n)nt(n) ≥ n인 함수 t(n)t(n)이 있다고 하자.
multitape Turing machine이 t(n)t(n)을 수행할 때 동일한 일을 수행하는 single-tape Turing machine은 O(t2(n))O(t^2(n))만큼 걸린다.

  • multitape turing machine은 tape와 head가 여러개가 있으며 한번에 움직인다.
  • 이것을 따라하는 single-tape turing machine은 모든 tape의 내용을 한 tape에 기록한다.
  • multitape turing machine이 한번의 작업을 할 때, 최대 tape 길이만큼 작업을 할 것이다.
  • multitape turing machine이 한번 작업 할 때 한칸만 늘어나므로, t(n)t(n)만큼 작업하면 길이는 ct(n)c*t(n)만큼 더 늘어날 수 있다.
  • 그러므로 한번 작업에 걸리는 최대 시간은 t(n)t(n)이고, 이것을 t(n)t(n)번 작업하므로, O(t(n)t(n))=O(t2(n))O(t(n) * t(n)) = O(t^2(n))만큼 걸린다.

Nondeterministic Single-Tape Turing Machine

Let N\mathbb{N} be a nondeterministic Turing machine that is a decider.
The running time of N\mathbb{N} is the function f:NNf : \mathbb{N} → \mathbb{N} , where f(n)f(n) is the
maximum number of steps that N uses on any branch of its computation on any input of length n, as shown in the following figure.

t(n)t(n)은 nondeterministic single-tape Turing machine이 어떠한 일을 수행하는 함수이며, t(n)nt(n) ≥ n일때, 동일한 일을 하는 deterministic single-tape Turing machine은 2O(t(n))2^{O(t(n))}만큼 시간이 걸린다.

  • Leaf로 가는 경우를 생각해보자
  • Turing Machine에서 제일 많이 분기가 생기는 경우에 분기의 개수를 bb라고 하자.
  • Root에서 한 번 진행했을 때 Node 개수는 bb이다.
  • 그러므로 길이가 f(n)f(n)일때 Leaf 개수는 bf(n)b^{f(n)}개이다.
  • 한번 Leaf로 갈 때 f(n)f(n)이 걸리므로, 모든 작업을 수행하는 시간은 f(n)bf(n)f(n)*b^{f(n)}이다.

The Class P

  • signal tape과 multitape은 다항식과 제곱함수의 차이이다.
  • determintic single-tape과 nondeterministic single-tape은 다항식과 지수함수의 차이이다.
  • 이 둘은 큰 차이가 있으며 polynomail difference와 exponential difference사이에는 많은 차이가 있다.
  • deterministic computational model은 polynomial difference하다.

P\mathbb{P}는 decidable(solvable)하며, deterministic single-tape으로 polynomial time에 풀 수 있는 language들의 집합이다.
P=kTIME(nk)P =∪_k TIME(n^k) 이며, TIME(nk)=O(t(n))TIME(n^k) = O(t(n))이다.
O(n),O(n2),O(n3),O(nlogn)...O(n), O(n^2), O(n^3), O(nlogn)...

  • P는 문제들의 집합이다. 원래 문제들의 집합은 문제를 푸는 computational model이 달라지면 달라져야 하지만, P는 바뀌지 않는다.
  • P는 무조건 deterministic signle-tape Turing machine으로 polynomial한 시간에 풀 수 있는 문제들의 집합이다.
  • P는 실제로 현대 컴퓨터에서 우리가 풀 수 있는 문제들의 집합이라 할 수 있다.

Example of P : Path Problem

  • 방향 그래프 G는 어떤 노드 s와 t를 가지고 있다.
  • s에서 t로 가는 PATH가 있는 지 확인하는 것이 Path Problem이다.
  • PATH={G,s,tGPATH = \{⟨G, s, t⟩ | G는 무방향 그래프이며 ss에서 tt로 가는 PATH가 있다.}\}
  • 가장 간단한 방법을 보자。
  • v=m|v| = m일 때, m개 Node가 순서대로 들어갈 수 있는 배열이 있다.
    • 각각에 첫번째 노드부터 마지막 노드까지 순차적으로 넣어본다.
    • 만약 t로 갈 수 있을 때, Edge가 있으면 PATH는 accept한다.
    • mmm^m
    • 그러나 이렇게 되면 실제 시간은 exponential 시간이다. O(mm)O(m^m)
  • s의 근접 노드를 표시한다.
  • 표시한 노드 중 t가 있으면, accept한다.
  • 표시한 노드 중 t가 없으면, 모든 표시한 노드의 근접 노드를 다시 표시한다.
  • 만약 모든 근접 노드가 표시한 노드이면, reject한다.
  • 노드가 m개 있으면, m*m에 끝난다.
    • 실제로는 더 빠름
  • 그러므로 O(m2)O(m^2)에 끝나므로 PATH문제는 P문제 안에 들어간다고 할 수 있다.

Example of CFL : CFL ⊆ P

  • 일단, CFL은 decidable하다.
  • CFL이 decidable한 것을 증명할 때, Chomsky normal form으로 바꾸어서 증명했다.
  • 이 때, 2n12n-1만큼 진행했을 때 ww가 나오면 accept하고, 아니면 reject한다.
  • 문제가 있는데, 2n12n-1만큼 진행했을 때 Leaf의 개수는 b2n1b^{2n-1}이다. 이러면 exponentail time이므로 P문제가 아니다. O(b2n1)O(b^{2n-1})이 되기 때문이다.
  • 여기서 전 상태를 저장하는 DP 방법을 사용하면 n3n^3인 문제로 바꿀 수 있다. 증명할 수 있지만 여백이 없어서 생략한다.
  • 그러므로 O(n3)O(n^3)인 문제이므로 모든 CFLPCFL ⊆ P이다.

The Class NP

  • 우리는 여러가지 알고리즘과 방법을 통해 여러 문제들을 polynomial time solution으로 바꿀 수 있다.
  • 그러나, 모든 문제를 polynomial time solution으로 바꿀 수 있는지는 아직 알지 못한다.
    • 이게 무슨 말이냐면, 모든 문제가 P인지를 증명 못했다는 것이다.
    • 그렇다고 P로 바꿀 수 없는 NP인 문제가 있을 수 있다는 것도 증명하지 못했다.
    • 모든 문제가 P인지, NP문제가 있는지 알 수 있는지, 없는지도 증명하지 못했다.

Hamiltonian path

  • Hamiltonian path는 방향 그래프 GG가 있고, 각 노드를 한번씩만 가는 path이다.
  • HAMPATH={G,s,tGHAMPATH = \{⟨G, s, t⟩ | G 는 방향그래프이며, ss에서 tt로 가는 Hamiltonian path이다.}\}
  • HAMPATH가 polynomial time에 풀리는지는 아무도 알지 못한다.
  • 예를 들어보자. 위에서 본 방법으로 풀 수도 있다.
  • 그러나 그 방법은 mm1m2...1=m!m * m-1 * m-2 * ... * 1 = m!이 걸린다.
  • 그러므로 exponential time이며, polynomial time에 풀리는지는 증명되지 않았다.

P vs NP

P\mathbb{P}는 deterministic single-tape Turing machine으로 polynomial time에 decidable(solvable)할 수 있는 language들의 집합이다.

NP\mathbb{NP}는 verifier가 있어서 polynomial time에 decidable(solvable)할 수 있는 language들의 집합이다.

NP\mathbb{NP}는 nondeterministic Turing machine으로 polynomial time에 decidable(solvable)할 수 있는 language들의 집합이다. 역도 같다.

Polynomial Verifiablity

  • 현재로써 HAMPATH 문제를 polynomial verifiability할 수 있는, 다시 말해 polynomial time에 푸는 정형화된 방법은 없다.
  • 그러나 어떤 예시를 주었을 때, 그 예시가 답인지 답이 아닌지를 확인하는 것은 polynomial time에 할 수 있다.
  • 이것이 verifiable이다.
  • 답의 후보가 주어졌을 때, 그 후보가 답인지 아닌지를 확인하는 것을 verifiable이라고 한다.
  • 다른 verifiable의 예시는 합성수인지 확인하는 게 있다.
  • 어떤 자연수가 있을 때, 그 자연수가 합성수인지는 polynomial time에 가능하지 않다.
  • 그러나 자연수를 구성할 거 같은 두 자연수를 주면, 합성수인지는 polynomial time에 판별할 수 있다.
    • 에를 들어, 5,183이라는 정수가 있다.
    • 합성수는 {xx=pq,\{x | x=pq, 임의의 상수 p,q>1}p,q > 1\}
    • 이게 합성수인지는 2부터 5,183까지 수를 곱해가면서 5183이 나오는지를 확인해야 한다.
    • 물론 여기서 5,183이 넘어가면, 더 큰 수를 곱해도 소용 없으므로 다음으로 넘어가도 된다.
    • 그러나 이렇게 해도 대충 O(nn)O(\sqrt{n}^{\sqrt{n}})이 된다.
    • 만약 71, 73이라는 답 후보를 준다면 어떻게 될까? 71*73 = 5,183이므로 합성수임을 쉽게 알아낼 수 있다.
    • 이처럼 특정한 답 후보를 주었을 때 그것을 가지고 Polynomail time 안에 풀 수 있으면, Polynomial verification하다.
  • 그러나 HAMPATH가 없다는 것을 밝혀내는 건 polnomial time에 불가능하다.
    • 답이 아닌 예시를 주어도, 그것이 HAMPATH가 없다는 것을 반증하지는 않는다.
    • 그러므로 HAMPATH가 없다는 것을 증명하려면, 모든 답이 아닌 경우에 대해서 해보아야 한다.
    • 이것은 모든 과정을 다 하는 것과 비슷하므로, polinomail time에 불가능하다.

language AA에 대한 알고리즘 VVA={wVA = \{w | V는 어떤 string cc에 대해서 w,c⟨w, c⟩ 를 accept한다}\}
cc라는 예시가 있으면, polynomial time 안에 ccww안에 들어가는지를 확인한다.
여기서 VV는 polynomial time verifier이며, cc는 certificate 라고 한다.

NP\mathbb{NP}는 polynomial time verifier를 가지고 있는 language이다.

  • 이에 따르면, nondeterministic Turing machine (NTM)이 HAMPATH를 polynomial time에 풀 수 있다.
  • N1={G,s,tGN_1 = \{⟨G, s, t⟩ | G 는 방향그래프이며, sstt는 노드이다.}\}
    1. p1,...pmp_1 , ... p_m까지 노드가 들어가는 배열을 만든다. m은 G의 노드 개수이다.
    2. 같은 노드가 나오면, reject한다.
    3. s=p1s=p_1이고 t=pmt=p_m이여야 한다. 아니면 reject한다.
    4. p1p_1부터 pmp_m까지 볼 때, 임의의 ii에 대해서 pip_ipi+1p_{i+1}를 잇는 edge가 모두 있으면 accept하고, 아니면 reject한다.

NTIME(t(n))={LLNTIME(t(n)) = \{ L | L 은 nondeterministic Turing machine이 O(t(n))O(t(n)) 시간 안에 풀 수 있는 language들의 set이다.}\}

Clique

  • Clique는 무방향 그래프의 subgraph이며, Clique 안에 있는 어떤 두 노드를 뽑아도 둘을 연결하는 edge가 있는 subgraph이다.
  • k-Clique는 k개의 node를 가진 그래프이다.
  • CLIQUE={G,kGCLIQUE = \{⟨G, k⟩ | G는 무방향 그래프이며 k-clique를 가지고 있다.}\}
  • 이 문제는 NP이다. NP이려면 verifier가 있거나 polynomial nondeterministic turing machine이 있으면 된다.
  • CLIQUE의 verifier를 VV라고 하자.
  • V=G,k,cV = ⟨⟨G, k⟩, c⟩에 대해서 다음과 같이 동작한다.
  1. ccGG의 k개의 노드를 가진 subgraph가 아니면, reject한다.
  2. 각각의 node를 연결하는 모든 edge가 있는지 확인한다.
  3. 있으면 accept하며, 없으면 reject한다.
  • 다른 증명 방법으론 nondeterministic turing machine으로 한다.
  • N=G,kN = ⟨G, k⟩에 대해서 다음과 같이 동작한다.
  1. Nondeterministic하게 GG에서 kk개의 노드를 가지는 subgraph cc를 선택한다.
  2. 각각의 node를 연결하는 모든 edge가 있는지 확인한다.
  3. 있으면 accept하며, 없으면 reject한다.

P vs NP 문제

  • P라는 클래스의 문제들이 있다. 이 문제들을 DTM으로 polynomial time안에 풀 수 있다.
  • NP라는 클래스의 문제들이 있다. 이 문제들을 NTM으로 polynomial time안에 풀 수 있다.
  • 그렇다면 둘의 관계는 어떻게 될까?
  1. P와 NP는 완전히 다른 문제이다.(같은 게 없음)
  2. P와 NP는 교집합이 있으나, 포함관계는 아니다.(같은 게 있으나, 포함하거나 동일하지 않음)
  3. P가 NP를 포함한다.
  4. NP가 P를 포함한다.
  5. P와 NP는 같다.
  • DTM은 자동으로 NTM이다. 그러므로 교집합이 없을 순 없다.
  • 그러므로 1,2,3번은 안되므로 4,5번 중 하나이다.
  • 만약 NP문제를 푸는 DTM이 있다면 P와 NP는 같다.
  • 그러나 이런 DTM이 있는지는 아직까지 알려지지 않았다...
  • PNPPSPACE=NPSPACEEXPTIME,PEXPTIMEP ⊆ NP ⊆ PSPACE = NPSPACE ⊆ EXPTIME, P ≠ EXPTIME

NP-Completeness

  • P와 NP의 관계는 잠시 내버려두자.
  • NP안에 있는 문제 중, 특정한 문제는 가장 어려운 문제인 것 같다.
  • 그러므로 특정한 문제를 풀면, 나머지 문제를 전부 풀 수 있을 것 같다.
  • NP문제 중에서 polynomial time 안에 풀 수 있으면, 모든 NP 문제를 풀 수 있는 문제를 NP-complete라고 한다.
  • P ≠ NP를 증명하고 싶으면, NP-Complete 문제를 통해 증명하면 된다. 왜냐하면 NP문제중 제일 어려운 문제이기 때문이다.
  • P = NP를 증명하고 싶으면, NP-Complete 문제를 통해 증명하면 된다. 왜냐하면 NP문제가 풀리면 나머지 문제 또한 모두 풀리기 때문이다.
  • 그러므로 P vs NP 문제를 풀려면 NP-Complete에 대해서 분석하면 된다.

SAT

  • 어떤 Boolean 식이 있을 때, 이 식의 값을 1로 만드는 변수들의 값을 찾아내는 문제이다.
  • 예를 들어, ϕ=(xy)(xz)ϕ = (\overset-x ∧ y) ∨ (x ∧ z)라는 식이 있다.
  • 답 중 하나로, x=0,y=1,z=0x=0, y=1, z=0이면 ϕ=1ϕ=1이 된다.
  • SAT={ϕϕSAT = \{⟨ϕ⟩ | ϕ가 1이 되도록 하는 모든 식의 값이다.}\}

    SATP이면P=NP이다.역도같다.SAT ∈ P 이면 P = NP이다. 역도 같다.

Polynomial Time Reducibility

language AA가 language BB에 대해서 reduction을 polynomial time에 한다면, 간단히 말해 polynomial time reducible 하다면, APBA ≤_P B라고 나타낸다. B가 A보다 어려운 문제라는 의미이다.
polynomial time computable function f:ΣΣf : Σ^∗ → Σ^∗이 있으면, 모든 string ww에 대해서, wAf(w)Bw ∈ A ⇐⇒ f(w) ∈ B이다.

  • 만약 AABB로 reduction하면, 아래와 같은 특징이 있다.
  • APBA ≤_P B & BPB ∈ P, APA ∈ P
  • A를 B로 polynomial time에 바꿀 수 있고, B를 polynomial time에 풀 수 있으면, A는 B보다 쉬운 문제이므로 A 또한 polynomial time에 풀 수 있다.
  • 이에 대한 반대로, A를 polynomial time에 바꿀 수 있고, A가 NP이면, B또한 NP이다.
  • 왜냐하면 B는 A보다 어렵기 때문에, 자동으로 NP가 된다.

3SAT

  • 3SAT은 SAT의 특별한 형식이다.
  • 이진 변수 x,xx, \overset-x처럼 변수와 그 변수의 반대(complement)를 literal이라고 한다.
  • clause는 ∨(or)로 묶인 하나의 단위체다.
  • conjunctive normal form으로 구성되어 있다. clause들이 and로 묶여있다.
  • 이 때 conjuctive normal form은 모든 clause들이 참이여야 하며, clause 안의 literal중 하나만 참이면 된다.
  • 3cnf-formula는 cluase가 3개의 literal로 묶인 cnf를 듯한다.
  • 여기서 중요한 건, 임의의 boolean fomular는 3cnf-formula로 바꿀 수 있다.
  • 3SAT={ϕϕ3SAT = \{⟨ϕ⟩ | ϕ 는 3cnf-formula를 만족한다.$}$

    3SAT3SAT은 polynomial time에 CLIQUECLIQUE로 reduciable하다.

  • 이것을 증명하려면, 3SAT3SAT에서 accept하면 CLIQUECLIQUE에서 accept해야 하고, 반대로 reject하면 똑같이 reject해야 한다.
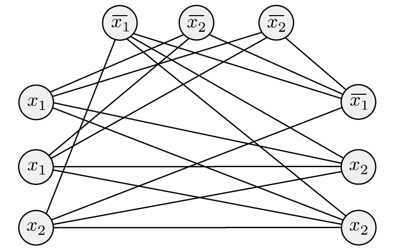
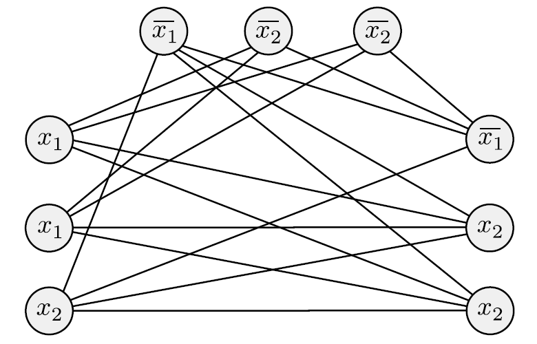
  • ϕ=(a1b1c1)(a2b2c2)(akbkck)ϕ = (a_1 ∨ b_1 ∨ c_1) ∧ (a_2 ∨ b_2 ∨ c_2) ∧ · · · ∧ (a_k ∨ b_k ∨ c_k)ϕϕ가 있다고 하자.
  • 그러면 다음과 같은 그림을 그릴 수 있다.
  • 같은 clause 사이에는 edge가 없으며, 만약 a1a_1이 있으면, a1\overset-{a_1}에는 edge가 없다.

Proof of 3SAT - CLIQUE

  • 만약 위에서 x1=1\overset-{x_1}=1, x2=1x_2=1이면, 식이 1이다. 이러면 답들을 표시한다.
  • 답들 사이에는 무조건 edge가 있어야 하는데, 모순 관계가 되도록 표시하지는 않았기 때문이다.
  • k-clique가 있으면, 답이 존재한다.

language B가 NP-complete이려면, 다음 조건을 만족해야한다.
1) B는 NP이다.
2) NP안에 있는 모든 language A는 polynomial time에 B로 reducible해야 한다.

만약 B가 NP-complete이고 BPB ∈ P이면, P=NPP = NP이다.
만약 B가 NP-complete이고 NP인 C에 대해서 BPCB ≤_P C할 수 있다면, C는 NP-complete이다.

  • 일단 NP-complete를 하나라도 알 수 있으면, 다른 NP문제에 대해서 complete한지 알아낼 수 있다.
  • 이 하나라도 알아낸 것이 바로 SAT이다.

SAT은 NP-complete이다.
1) SAT은 NP이다.
2) NP안에 있는 모든 language A는 polynomial time에 SAT으로 reducible해야 한다.

1번의 증명 : 모든 variable에 대해서, nondeterministic하게 경우들을 만들어 본다. 그 후, 각각에 대해서 polynomial time에 풀 수 있으므로(모든 경우들에 대해서 참이 되는지 확인만 하면 된다.), SAT은 NP이다.
2번의 증명

  • 임의의 NP문제는 NTM NN이 존재하며, string ww를 polynomial time에 accept한다.
  • NP에서 SAT으로 변환 과정을 거친다. NP가 accept하면, SAT또한 accept한다. NP가 reject하면, SAT또한 reject한다.
  • ϕ=ϕcellϕstartϕmoveϕacceptϕ = ϕ_{cell} ∧ ϕ_{start} ∧ ϕ_{move} ∧ ϕ_{accept}로 구성된다.
  • ϕstartϕ_{start}의 의미는, 맨 처음에 start configuration을 잘 작성해야 한다는 의미이다.
  • ϕacceptϕ_{accept}의 의미는, 마지막에

Additional NP-Complete Problems

profile
다크 모드의 노예

0개의 댓글