
때로는 원본 데이터의 smoothed version을 관찰하는 것도 데이터의 양상을 볼 때 도움이 된다. Smoothed version이란 실제 데이터의 그래프가 아니라, 평균이나 중위수 등을 plot한 것을 말한다(smoothing methods는 평균, 중위수 말고도 많다).
이 페이지에서는 smoothing methods 중에서도 가장 간단한
1. Simple Moving Average
2. Moving Median
을 알아보도록하자.
정의는 다음과 같으며, Linear Data Smoother, Linear Filter라고도 부른다.
A simple Moving Average of span assigns wieghts to the most recent observations , and weight zero to all other observations.

간단히 말하자면, 시점 를 기준으로 최근 개의 simple average를 구하는 것이다.
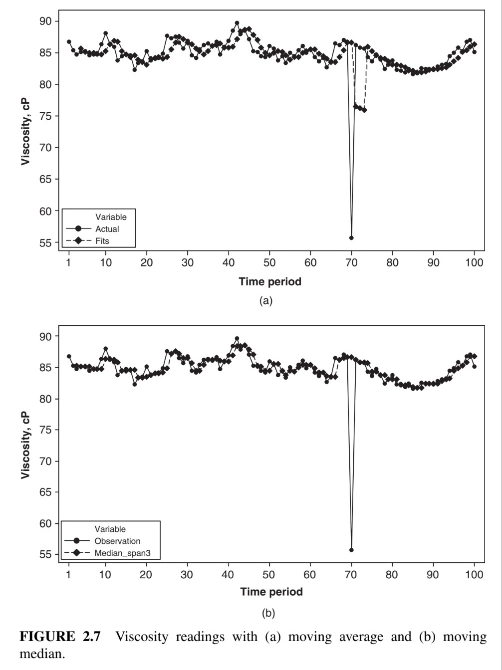
실제로 적용을 해본 plot은 아래와 같다.

의 분산을 구하면, 왜 를 사용하는지, 왜 이것이 smoother라고 불리는지 알 수 있다.

의 분산이 의 분산보다 작기때문에 variability가 작게되고 따라서 를 smoother로 쓴다.
평균은 이상치에 영향을 크게 받는다. 그에 대한 간단한 방법으로 Moving Median이 있다. Moving Median은 다른 말로 Running Median이라고도 부른다.
Moving Median 중에서도 Odd-Span Moving Median을 알아보도록하자.

아래는 moving average와 moving median을 smoothing method로 썼을 때의 plot을 비교한 사진이다.

average보단 median이 이상치에 영향을 덜 받는 것을 확인할 수 있다.
Reference: Introduction to Time Series Analysis and Forecasting 2nd by Douglas C. Montogomery
질문, 조언 환영합니당 ■