
정렬되어 있는 배열에서 특정 데이터를 찾기위해 모든 데이터를 순차적으로 확인하신 대신 탐색 범위를 절반으로 줄여가며 찾는 탐색 방법
N개의 정수 A[1], A[2], …, A[N]이 주어져 있을 때, 이 안에 X라는 정수가 존재하는지 알아내는 프로그램을 작성하시오.
M개의 줄에 답을 출력한다. 존재하면 1을, 존재하지 않으면 0을 출력한다.
1) 배열-오름차순 정렬.
2) 이분탐색 로직 구현
start, end 두 변수 필요mid = (st+ed)/2 -> 중간 지점 값을 통해 st, ed 값을 적절하게 바꾼다.import java.io.*;
import java.util.*;
public class Main {
static int[] a;
static int[] b;
static int n, m;
static int biSearch(int target) {
int st = 0;
int en = n - 1;
while (st <= en) { // 이분 탐색 종료 조건: 해당 값이 배열에 없을 경우 -> st, en이 역전됨.
int mid = (st + en) / 2;
if (a[mid] < target) st = mid + 1;
else if (a[mid] > target) en = mid - 1;
else return 1; // 찾은 경우 1 반환 후 종료
}
// st > en 일 경우 배열에 없음!
return 0;
}
public static void main(String[] args) throws IOException {
BufferedReader br = new BufferedReader(new InputStreamReader(System.in));
n = Integer.parseInt(br.readLine()); // 배열 요소 개수
// 배열 a
a = new int[n];
StringTokenizer st = new StringTokenizer(br.readLine());
for (int i = 0; i < n; i++) {
a[i] = Integer.parseInt(st.nextToken());
}
m = Integer.parseInt(br.readLine()); // 찾으려는 숫자 개수
// 배열 b
b = new int[m];
st = new StringTokenizer(br.readLine());
for (int i = 0; i < m; i++) {
b[i] = Integer.parseInt(st.nextToken());
}
// 이분탐색 로직 구현
// 배열-오름차순 정렬
Arrays.sort(a);
for (int i = 0; i < m; i++) {
int ans = biSearch(b[i]);
System.out.println(ans);
}
}
}
https://www.acmicpc.net/problem/2110
예제입력 1
| 1 | 2 | 4 | 8 | 9 | |
|---|---|---|---|---|---|
| 1 | O | O | O | O | O |
| 3 | O | O | O | ||
| 4 | O | O |
목표: 설치 가능한 공유기 개수가 C개이면서 최소 거리가 최대인 거리를 구해야 함.
→ 답: 3
이분탐색 로직 구현
low: 최소거리가 가질 수 있는 최소값(초기화: 1)
high: 최소거리가 가질 수 있는 최댓값
mid: 중간값
최소거리가 mid 일때 →설치 가능한 공유기 개수(wifi) 구하기
- 설치 가능한 공유기 개수 < 목표 개수: high = mid
- 설치 가능한 공유개 개수 ≥ 목표 개수: low = mid+1
import java.io.*;
import java.util.*;
public class Main {
static int[] home;
static int n, c;
public static void main(String[] args) throws IOException {
BufferedReader br = new BufferedReader(new InputStreamReader(System.in));
StringTokenizer st = new StringTokenizer(br.readLine());
n = Integer.parseInt(st.nextToken()); // 집
c = Integer.parseInt(st.nextToken()); // 공유기 개수
// 집의 좌표 저장
home = new int[n];
for (int i = 0; i < n; i++) {
home[i] = Integer.parseInt(br.readLine());
}
// 가장 인접한 두 공유기 사이 최대 거리
// 입력이 매우 크고, 수직선 위 집의 좌표이므로: 오름차순 정렬 필요 -> 이분탐색
// 1. 오름차순 정렬
Arrays.sort(home);
// 2. 이분탐색 범위 변수 지정
int low = 1; // 공유기 간 최소 거리의 최솟값
int high = home[n - 1] - home[0];
// 정답
int ans = 0;
while (low <= high) {
int mid = (low + high) / 2;
if (wifi(mid) < c) { // 최소거리가 mid 일때, 설치 가능한 공유기 개수 < 목표값 일때
high = mid - 1;
} else { // 아니라면, 최소거리가 가질 수 있는 최대거리 찾아낸다
low = mid + 1;
ans = mid;
}
}
System.out.println(ans);
}
// 최소거리가 mid 일때 설치 가능한 공유기 개수
private static int wifi(int dist) {
int cnt = 1; // 첫번째 집은 무조건 설치
int pre = home[0]; // 직전 위치 초기화
for (int i = 1; i < n; i++) {
int cur = home[i]; // 현재 위치
if (cur - pre >= dist) { // 직전 위치와의 거리가 최소거리보다 클때
// 공유기 설치 가능
cnt++;
pre = cur;
}
}
return cnt;
}
}
https://www.acmicpc.net/problem/1939
n개의 섬으로 이뤄진 나라.
섬에 다리를 설치해 1공장에서 -> 2공장으로 차로 통행.
근데, 다리 마다 중량제한 있음에 주의.
따라서 한번의 이동에서 옮길 수 있는 중량의 최댓값?
*다리 규칙
문제에 쉽게 접근할 수 없다. 그래프 유형인가 이분탐색 아녔나..
풀이가 잘 떠오르지 않았다.
블로그 포스팅 검색을 해봤고, 다양한 풀이가 존재했다.
유니온파인드, 다익스트라, dfs+이분탐색, bfs+이분탐색 등..
그 중 가장 이해가 잘 간 풀이 방식을 바탕으로 문제를 풀었다.
문제의 핵심은 옮길 수 있는 물품들의 중량의 최댓값이다.
이 물품의 중량에 초점을 맞춰서 문제에 접근해야 한다.
문제의 입출력 1을 예시로 들어서 설명하자면,
1-2 정점: 중량제한 2
1-3 정점: 중량제한 3
2-3 정점: 중량제한 2인 다리가 있다.
공장의 위치는 1, 3번에 위치함.
따라서, 1<->3으로 갈때 다리가 무너지지 않고 갈 수 있는 중량은 다음과 같다.
1, 2, 3
여기서 최댓값은 3이므로 정답이 3이다.
이를 토대로 이분탐색을 적용하면 다음과 같다.
먼저, 입력으로 들어오는 중량 중 제일 작은 중량-> low, 제일 큰 중량 -> high로 둔다.
low, high 중간값 -> mid로 설정.
그럼 다음과 같을 것이다
low,middle high
2 3
이제, 이 mid에 대해 bfs를 돌려준다. bfs에선 한 공장 -> 다른 공장으로 갈 때 mid 값을 가진 중량으로 다리를 안 부시고 갈 수 있는 지 확인하는 용도다.
bfs 코드는 다음과 같다.
// 해당 mid 값으로 다리를 안 부시고 갈 수 있는지 체크
private static boolean bfs(int weight) {
Queue<Integer> q = new LinkedList<>(); // 큐에 정점 저장
visited = new boolean[n + 1]; // 방문 체크
q.offer(start); // 큐에 삽입
visited[start] = true; // 방문 처리
while (!q.isEmpty()) {
int cur = q.poll();
if (cur == end) return true; //
for (int[] next : graph.get(cur)) { // next: {정점, 가중치}
if (weight <= next[1] && !visited[next[0]]) {
visited[next[0]] = true;
q.offer(next[0]);
}
}
}
return false;
}
bfs의 return 값이 true라면 -> mid값을 가진 중량으로 다리 건널 수 있다는 뜻이므로 중량을 더 올려준다.(low = mid +1)
반대로 return 값이 false라면 -> mid값을 가진 중량으로 다리 건널 수 없다는 뜻이므로 중량을 더 낮춘다.(high = mid -1)
이를 코드로 나타내면 다음과 같다.
while (low <= high) {
int mid = (low + high) / 2;
if (bfs(mid)) {
low = mid + 1;
} else high = mid - 1;
}
low ≤ high 인 이유는, 밑의 그림을 보고 이해할 수 있다.
low, mid high -> 초기상태
1, 2 3
low, mid, high -> bfs(2) 수행
3
mid, high low -> bfs(3) 수행
3 4
low > high 이므로 끝
다음과 같이 low, high 값이 같을 때도 이분 탐색을 해줘야 하므로 low≤high 로 둔 것이다.
import java.io.*;
import java.util.*;
public class Main {
static int n, m;
static ArrayList<ArrayList<int[]>> graph;
static boolean[] visited;
static int start, end, ans;
public static void main(String[] args) throws IOException {
BufferedReader br = new BufferedReader(new InputStreamReader(System.in));
StringTokenizer st = new StringTokenizer(br.readLine());
n = Integer.parseInt(st.nextToken());
m = Integer.parseInt(st.nextToken());
// 그래프 생성
graph = new ArrayList<>();
for (int i = 0; i <= n; i++) {
graph.add(new ArrayList<>());
}
// 중량 이분탐색용 low, high 설정
int low = Integer.MAX_VALUE;
int high = Integer.MIN_VALUE;
// 양방향 그래프
for (int i = 0; i < m; i++) {
st = new StringTokenizer(br.readLine());
int v1 = Integer.parseInt(st.nextToken());
int v2 = Integer.parseInt(st.nextToken());
int w = Integer.parseInt(st.nextToken());
graph.get(v1).add(new int[]{v2, w});
graph.get(v2).add(new int[]{v1, w});
low = Math.min(w, low);
high = Math.max(w, high);
}
// 출발, 도착 공장 입력
st = new StringTokenizer(br.readLine());
start = Integer.parseInt(st.nextToken());
end = Integer.parseInt(st.nextToken());
while (low <= high) {
int mid = (low + high) / 2;
if (bfs(mid)) {
low = mid + 1;
ans = mid;
} else high = mid - 1;
}
// 중량 최댓값
System.out.println(ans);
}
// 해당 mid 값으로 다리를 안 부시고 갈 수 있는지 체크
private static boolean bfs(int weight) {
Queue<Integer> q = new LinkedList<>(); // 큐에 정점 저장
visited = new boolean[n + 1]; // 방문 체크
q.offer(start); // 큐에 삽입
visited[start] = true; // 방문 처리
while (!q.isEmpty()) {
int cur = q.poll();
if (cur == end) return true; //
for (int[] next : graph.get(cur)) { // next: {정점, 가중치}
if (weight <= next[1] && !visited[next[0]]) {
visited[next[0]] = true;
q.offer(next[0]);
}
}
}
return false;
}
}
수직선 위 n개의 좌표 x1, x2, … xn → 좌표 압축 적용하려고 함.
xi를 좌표 압축한 결과인 x’i=xi>xj를 만족하는 서로 다른 좌표의 개수와 같아야 함.
x1, x2, …, xn에 좌표 압축을 적용한 결과인 x’1, x’2, …, x’n을 출력하기
문제만 봐선 어떤 걸 답으로 요구하는지 파악하기 쉽지 않았다.
블로그 포스팅을 살핀 결과, 원소의 순위를 출력하는 문제였다.
예제 입력 1을 보면 2, 4, -10, 4, -9에서 -10이 제일 작은 값을 가지므로 0을 출력하고, 그 다음 -9이므로 1을 출력, 그 다음 2는 2을 출력, 4는 동일한 값이 2개 이므로 2개 모두 3을 가진다.
이렇게 순위를 매긴다고 생각하고 접근하는 것이었다.
순위를 매기려면 어떻게 해야할까?
import java.io.*;
import java.util.*;
public class Main {
public static void main(String[] args) throws IOException {
BufferedReader br = new BufferedReader(new InputStreamReader(System.in));
int n = Integer.parseInt(br.readLine());
// 원소 배열
int[] arr = new int[n];
String line = br.readLine(); // 두 번째 줄 전체 읽기
StringTokenizer st = new StringTokenizer(line); // 공백 기준으로 나누기
for (int i = 0; i < n; i++) {
arr[i] = Integer.parseInt(st.nextToken());
}
//System.out.println(Arrays.toString(arr));
// 0. set 배열 만들기
Set<Integer> number = new HashSet<>();
for (int num : arr) {
number.add(num); // 배열을 set에 추가
}
// 1. 집합의 요소를 오름차순 정렬한다.
List<Integer> sortedKey = new ArrayList<>(number);
Collections.sort(sortedKey);
// 2. 등수 매기기
int rank = 0;
HashMap<Integer, Integer> rankMap = new HashMap<>();
for (int key : sortedKey) {
rankMap.put(key, rank++); // 순위 증가
}
// 4. 입력받은 원소 배열을 순회하면서 hashmap에서 value(등수) 출력
StringBuilder sb = new StringBuilder();
for (int num : arr) {
sb.append(rankMap.get(num)).append(" ");
}
System.out.println(sb.toString().trim());
}
}
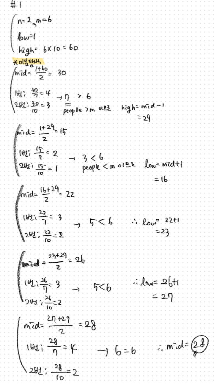
m명의 사람, n개의 입국심사대.
k번 심사대에서 심사하는데 걸리는 시간 Tk임.
한 심사대에서는 한 번에 한 사람만 심사 가능.
→ 심사를 받는데 걸리는 시간의 최솟값?
예제 입력 1 보게되면,
2 6
7
10
28
2개의 입국심사대, 6명이 모두 심사를 받는데 걸리는 시간의 최솟값을 구하려면,

28초만에 6명 모두가 심사받으며, 최소값은 28초이다.
또 예제 입력 2 보게되면,
7 10
3
8
3
6
9
2
4
8

7개의 입국심사대, 10명이 모두 심사를 받는데 걸리는 시간의 최솟값을 구하려면,
8초만에 10명 모두가 심사받으며, 최소값은 8초이다.
모두 심사를 받는 최소 시간를 구하려면, 각 심사대의 심사를 마치는 최소, 최대 사이의 중간값을 바탕으로 가능한지 판단하자. → 이분탐색 진행.
사람 수 구해 → people 라는 변수에 저장
import java.io.*;
import java.util.*;
public class Main {
public static void main(String[] args) throws IOException {
BufferedReader br = new BufferedReader(new InputStreamReader(System.in));
StringTokenizer st = new StringTokenizer(br.readLine()); // 공백 기준으로 나누기
int n = Integer.parseInt(st.nextToken()); // 심사대
int m = Integer.parseInt(st.nextToken()); // 사람
// 입국심사 시간 배열
int[] arr = new int[n];
for (int i = 0; i < n; i++) {
arr[i] = Integer.parseInt(br.readLine());
}
// 이분 탐색
Arrays.sort(arr);
long low = 1;
long high = (long) m * arr[n - 1]; // 10억 * 10억 -> int형 표현 범위(21억) 벗어나기 때문에 -> long형 사용
long ans = high; // 정답: 최소 시간 저장
while (low <= high) {
long mid = (low + high) / 2;
long people = 0; // 현재 시간(mid)동안 처리할 수 있는 사람 수
for (int time : arr) {
people += mid / time;
if (people >= m) break; // 이미 필요한 사람 수를 초과할때 더 계산할 필요 없음
}
if (people >= m) {
ans = mid; // 가능한 경우 최솟값 갱신
high = mid - 1;
} else {
low = mid + 1;
}
}
System.out.println(ans);
}
}
주의
입력값이 크므로, 자료형 오버플로우에 주의해야 한다.
이분탐색에 필요한 변수들이 long형임에 주의하자.